2012经济师《中级工商管理》预测押题密卷4(10)
【连题】 某企业进行人力资源需求与供给预测。经过调查研究与分析,确认该企业的销售额(万元)和所需销售人员数(人)成正相关关系,并根据过去10年的统计资料建立了一元线性回归预测模型Y=a+bx,x代表销售额,y代表销售人员数,回归系数a=18,b=0.03。同时,该企业预计2011年销售额将达到1 000万元,2012年销售额将达到1500万元。通过统计研究发现,销售额每增加500万元,需增加管理人员、销售人员和客服人员共40人,新增人员中,管理人员、销售人员和客服人员的比例是1:7:2。根据人力资源需求与供给情况,该企业制定了总体规划和员工招聘计划。
根据以上资料,回答下列89~92题:
第89题 根据一元回归分析法计算,该企业201 1年需要销售人员( )人。
A.20
B.30
C.48
D.64
【正确答案】:C
【试题解析】:2011年销售额为1000万元,根据一元回归分析法可得2011年需要销售人员数量为18+0.03x1000=48。
第90题 根据转换比率分析法计算,该企业2012年需要增加客服人员( )人。
A.8
B.12
C.24
D.32
【正确答案】:A
【试题解析】:新增人员40人,按照三类人员的比例,可知新增客服人员占新增人员的20%,所以新增客服人员为40×20%=8。
第91题 该企业进行人力资源供给预测时还可以采用的方法有( )。
A.网络计划图法
B.人员核查法
C.管理人员接续计划法
D.马尔可夫模型法
【正确答案】:B,C,D
【试题解析】:人力资源供给预测方法主要有人员核查法、管理人员接续计划法、马尔可夫模型法。
第92题 该企业制定员工招聘计划时主要应考虑( )。
A.招聘人员的数量
B.招聘人员的类型
C.员工知识技能的改善
D.优化人员结构
【正确答案】:A,B,D
【试题解析】:员工招聘计划的目标是招聘数量、类型、层次、优化人员结构等,因此选ABD。
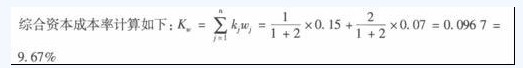
第93题 根据初步筹资安排,3亿元筹资的综合资本成本率为( )。
A.7.55%
B.8.63%
C.9.67%
D.11.00%
【正确答案】:C
【试题解析】:

第94题 资本成本理论及杠杆理论综合起来研究的日的是( )。
A.优化资本结构
B.获取营业杠杆利益
C.规避经营风险
D.降低代理成本
【正确答案】:A
【试题解析】:资本成本是选择筹资方式、进行资本结构决策和选择追加筹资方案的依据,而杠杆利益是影响资本结构建立的一个重要因素,综合资本成本理论和杠杆理论,都是为优化资本结构服务的。
第95题 如果公司提高银行贷款在筹资总额中的比重,则( )。
A.公司综合资本成本率会降低
B.公司综合资本成本率会提高
C.公司资产负债率会提高
D.公司资产负债率会降低
【正确答案】:A,C
【试题解析】:借款的成本一般低于股权的融资成本,因此提高银行借款比率会降低综合资本成本率,但债务的增加会导致公司资产负债率的提高。
【连题】 某上市公司2010年的营业额为8亿元,息税前利润为2.2亿元,公司的资产总额为24亿元,负债总额为16 亿元,债务年利息额为1.1亿元。公司计划2011年对外筹资3亿元投资一个新项目,筹资安排初步确定为发行股票筹资1亿元,从银行贷款2亿元。经过估算,发行股票的资本成本率为15%,银行贷款的资本成本率为7%。
根据以上资料,回答下列问题:
97.该公司2010年的财务杠杆系数为( )。
A.1.0
B.1.3
C.1.5
D.2.0
【正确答案】:D
【试题解析】:财务杠杆系数测算公式

【连题】 某公司十年来一直只生产电视机显像管,产品质量较高,经营状况良好。2006年该公司与某电视机生产企业联合,开始生产电视机成品,拟生产三种不同型号的电视机产品,有四个备选方案,每个方案的投资额、经营期限、市场状态和收益值如下表所示,畅销、一般、滞销的概率分别为0.3、0.5、0.2。

根据以上资料,回答下列97~100题:
第97题 该公司与某电视机生产企业联合前实施的是( )。
A.差异化战略
B.一体化战略
C.集中战略
D.稳定战略
【正确答案】:C,D
【试题解析】:集中战略又称专一化战略,是指企业把其经营活动集中于某一特定的购买者群、产品线的某一部分或某一地区市场上的战略;稳定战略是指受经营环境和内部资源条件的限制,企业基本保持目前的资源分配和经营业绩水平的战略。按照这种战略,企业目前的经营方向、业务领域、市场规模、竞争地位及生产规模大致不变。 该企业在联合前十年来一直只生产电视显像管,属于集中、稳定战略。
第98题 目前该公司实施的是( )。
A.前向一体化战略
B.后向一体化战略
C.集中战略
D.差异化战略
【正确答案】:A
【试题解析】:前向一体化战略是指通过资产纽带或契约方式,企业与输出端企业联合形成一个统一的经济组织。电视机企业是显像管企业的输出端企业,因此该战略属于前向一体化。
第99题 方案1的期望收益值为( )万元。
A.248
B.255
C.260
D.648
【正确答案】:A
【试题解析】:方案1期望收益=(400×0.3+200×0.5-20×0.2)×3-400=248万元
第100题 该公司可以取得的最大期望经济效益的决策方案是( )。
A.方案1
B.方案2
C.方案3
D.方案4
【正确答案】:C
【试题解析】:方案1、2、3、4的期望收益分别为248万元、468万元、570万元、518万元,所以选方案3。
最新资讯
- 2020年初中级经济师每日一练(10月23日)2020-10-23
- 2020年初中级经济师每日一练(10月22日)2020-10-22
- 2020年初中级经济师每日一练(10月20日)2020-10-20
- 2020年初中级经济师每日一练(10月19日)2020-10-19
- 2020年初中级经济师每日一练(10月16日)2020-10-16
- 2020年初中级经济师每日一练(10月9日)2020-10-09
- 2020年初中级经济师每日一练(10月8日)2020-10-08
- 2020年初中级经济师每日一练(10月7日)2020-10-07
- 2020年初中级经济师每日一练(9月29日)2020-09-29
- 2020年初中级经济师每日一练(9月27日)2020-09-27