2013中级经济师《保险实务》精讲:风险(2)
第一章 风险与保险
第一节 风险
1.概率:可以度量风险事件发生或造成损失的可能性。
2.期望值:对未来风险事故所造成损失的推测通常以风险损失的期望值表示。
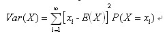
3.方差:每一次损失与期望值之差的平方的平均数。比如1.2.3.4.5 这五个数的平均数(期望值)是3,方差就是 1/5[(1-3)²+(2-3)²+(3-3)²+(4-3)²+(5-3)²]=2
请对应公式:期望值:
方差:
4.标准差:方差的平方根。平均而言,每个观测值大约偏离期望值σ个单位。
5.离散系数:标准差与期望值的比值。 
6.偏度:描述某个变量取值分布对称性的统计量。
sk=0,分布对称;sk<0,负偏差数值大,为负偏或者左偏,长尾拖在左边;sk>0,正偏差数值大,为正偏或者右偏,长尾拖在右边;
SK绝对值越大,则损失分布形态偏移程度越大。
7.协方差:衡量两个风险之间的相关关系。
协方差表示的是两个变量总体的误差,这与只表示一个变量误差的方差不同。
如果两个变量的变化趋势一致,也就是说如果其中一个大于自身的期望值,另外一个也大于自身的期望值,那么两个变量之间的协方差就是正值。
如果两个变量的变化趋势相反,即其中一个大于自身的期望值,另外一个却小于自身的期望值,那么两个变量之间的协方差就是负值。
如果X与Y是统计独立的,那么二者之间的协方差就是0。反过来并不成立。即如果X与Y的协方差为0,二者并不一定是统计独立的。
协方差为0的两个随机变量称为是不相关的。
8.相关系数:关系数用希腊字母ρ表示,ρ值的范围在-1和+1之间。 ρ>0为正相关,ρ<0为负相关。ρ=0表示不相关;ρ 的绝对值越大,相关程度越高。
下面看教材的案例:
|
损失 |
蓝猫概率 |
黑猫概率 |
|
20万元 |
0.4% |
1% |
|
10万元 |
0.9% |
1% |
|
5万元 |
0.7% |
2% |
|
0万元 |
98% |
96% |
蓝猫的损失期望值:

黑猫的损失的期望值是:

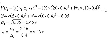
蓝猫的损失的方差、标准差和离散系数:

黑猫的方差、标准差和离散系数

期望值相同,方差和标准差越大表示风险越大;期望值不同,不具有比较性;
黑猫风险大于蓝猫风险,期望值不同,可以用离散系数表示,系数越大表示风险越大。

最新资讯
- 2020年初中级经济师《经济基础》章节考点汇总2019-11-15
- 2019年初中级经济师《工商管理》考点汇总2019-10-17
- 2019年初中级经济师《金融经济》考点汇总2019-10-15
- 2019年初中级经济师《建筑经济》考点汇总2019-10-15
- 2019年初中级经济师《财政税收专业》考点汇总(10月12日更新)2019-10-12
- 2019年初中级经济师《经济基础》考点汇总2019-10-10
- 2019年经济师考试这12个公式必备!2019-09-10
- 2019年全国经济师考试教材正式出版!2019-07-09
- 2019年经济师考试备考必背公式集合汇总2019-04-25
- 2019年经济师考试备考必背公式集合三2019-04-25