2013年经济师《中级经济基础》预习:消费、储蓄和投资(3)
更新时间:2012-11-12 13:47:37
来源:|0
浏览
收藏
摘要 2013年经济师备考已拉开序幕,请考生关注环球网校经济师考试复习资料,安排好复习内容,祝您考试成功!
第一部分 经济学
第六章 国民收入核算和简单的宏观经济模型
三.消费、储蓄和投资
(三)投资函数
投资时形成固定资产的活动,一般不包括金融投资在内。
决定投资的因素有很多,主要因素有实际利率、预期收益率和投资风险等。预期的通过或膨胀率和折旧也在一定程度上影响投资。
凯恩斯认为,实际利率越低,投资量越大。因此,投资是利率的减函数。
投资函数:I=I(r)=e-dr
e表示自主投资,-dr表示引致投资。
(四)投资乘数
投资乘数=国民收入增量/投资增量
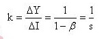
投资乘数的公式:
s为边际储蓄倾向。上式表明投资乘数k为边际储蓄倾向s的倒数。
例题:
1.某国的边际消费倾向为0.6,则其投资乘数k为( )。
A.1.67 B.2.5 C.4 D.5
『正确答案』B
2.(2009年)假定边际消费倾向β是0.75,则投资乘数k应为( )。
A.1 B.2 C.3 D.4
『正确答案』D。投资乘数k=1/(1-β)=1/(1-0.75)=4。
编辑推荐
最新资讯
- 2020年初中级经济师《经济基础》章节考点汇总2019-11-15
- 2019年初中级经济师《工商管理》考点汇总2019-10-17
- 2019年初中级经济师《金融经济》考点汇总2019-10-15
- 2019年初中级经济师《建筑经济》考点汇总2019-10-15
- 2019年初中级经济师《财政税收专业》考点汇总(10月12日更新)2019-10-12
- 2019年初中级经济师《经济基础》考点汇总2019-10-10
- 2019年经济师考试这12个公式必备!2019-09-10
- 2019年全国经济师考试教材正式出版!2019-07-09
- 2019年经济师考试备考必背公式集合汇总2019-04-25
- 2019年经济师考试备考必背公式集合三2019-04-25