2013年经济师《中级经济基础》预习:指数体系
查看汇总:2013年《中级经济基础》资料汇总
第四部分 统 计
第二十四章 统计指数
三、指数体系
(一)总量指数与指数体系
总量指数:由两个不同时期的总量对比形成的相对数。
综合总量指数的一般形式可以写为:
为分析总量指数变动中各因素的影响方向和程度,可以对总量指数进行分解,得到各个因素指数。我们把由总量指数及其若干个因素指数构成的数量关系式称为指数体系。
(二)指数体系的分析与应用
利用指数体系既可以对现象发展的相对变化程度及各因素的影响程度进行分析,也可以对现象发展变化的绝对数量及各因素的影响数额进行分析。
在实际分析中,比较常用的是基期权数加权的数量指数和报告期权数加权的质量指数形成的指数体系。该指数体系可表示为:

即:总量变动=质量变动的影响额+数量变动的影响额
三者之间的数量关系为:销售额指数=价格指数×销售量指数
从绝对变动水平来看:
三者之间的数量关系为:销售额变动=价格变动的影响额+销售量变动的影响额
例题:
1.指数体系的作用是( )。
A.为选择指数计算方法提供依据 B.为选择指数基期提供依据 C.为编制时间序列提供参考
D.对现象发展的相对变化程度及各因素的影响程度进行分析
E.对现象发展变化的绝对数量及各因素的影响数额进行分析
『正确答案』DE
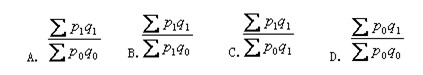
2.(2006年) 在利用指数体系分析价格(用p表示)和销售量(用q表示)变动对销售额的影响时,销售量指数的计算公式是( )。

『正确答案』D
3.某工厂报告期与基期比较,某产品产量增加6%,单位产品成本下降6%,那么,生产费用是( )。
A.增加 B.减少 C.不增不减 D.无法确定
『正确答案』B。生产费用指数=成本指数×产量指数=94%×106%=99.64%。
查看汇总:2013年《中级经济基础》资料汇总
4.某单位职工人数增加2%,工资总额增加4%,则平均工资( )。
A.增加2% B.减少2% C.增加1.96% D.减少1.96%
『正确答案』C。工资总额指数=职工人数指数×平均工资指数,平均工资指数=工资总额指数/职工人数指数=104%÷102%=101.96%。
5.某超市商品销售额增长10%,平均销售价格增长7%,则商品销售量( )。
A.增加3% B.增加2.8% C.增力17.7% D.下降2.73%
『正确答案』B。销售量指数=销售额指数/价格指数=110%÷107%=102.80%。
6.以2002年为基期,某商店的某类商品2003年的销售额指数为l35.44%,价格指数为108.06%,销售量指数为l25.34%,2003年与2002年相比,则( )。
A.该类商品的销售额提高了35.44% B.由于零售价格变动使销售额提高了8.O6%
C.由于销售量变动使销售额提高了25.34% D.由于销售量变动使销售额提高了125.34%
E.零售价格与销售量变动对销售额没有影响
『正确答案』ABC
7.(2009年)2008年与2007年相比,某单位职工人数增加10%,工资总额增加21%,则该单位职工平均工资增加( )。
A.10% B.11% C.12% D.21%
『正确答案』A 工资总额指数=职工人数指数×平均工资指数
(1+21%)=(1+10%)×平均工资指数
平均工资指数=121%/110%=110%,职工平均工资增加率=110%-1=10%。
8.(2009年)某超市2007年总销售额为100万元,2008年总销售额为121万元,2008年的商品销售均价比2007年上涨10%,则2008年与2007年相比( )。
A.商品销售量指数为110% B.商品销售额指数为121%
C.由于价格上涨使得总销售额增加了10万元 D.由于销售量上升使得总销售额增加了11万元
E.销售量增加10%
『正确答案』ABE

最新资讯
- 2020年初中级经济师《经济基础》章节考点汇总2019-11-15
- 2019年初中级经济师《工商管理》考点汇总2019-10-17
- 2019年初中级经济师《金融经济》考点汇总2019-10-15
- 2019年初中级经济师《建筑经济》考点汇总2019-10-15
- 2019年初中级经济师《财政税收专业》考点汇总(10月12日更新)2019-10-12
- 2019年初中级经济师《经济基础》考点汇总2019-10-10
- 2019年经济师考试这12个公式必备!2019-09-10
- 2019年全国经济师考试教材正式出版!2019-07-09
- 2019年经济师考试备考必背公式集合汇总2019-04-25
- 2019年经济师考试备考必背公式集合三2019-04-25