2012年审计专业相关知识 辅导:二部分三章重点(4)
更新时间:2012-03-15 09:57:31
来源:|0
浏览
收藏
二、股票投资决策$lesson$
(一)股票投资的风险
股票投资所承担的这些风险分为可分散风险和不可分散风险,其详细介绍参见第一章的相关内容。
根据证券组合风险报酬的理论,股票投资只能对其中的不可分散风险要求风险报酬,根据股票不可分散风险程度大小,投资者可以确定出该股票的必要报酬率。
(二)股票投资的估值
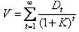
1.股票估值的基本公式
长期持有的股票价值来自于其每期发放的现金股利,股票估值的基本公式为:

式中:V――股票价值
Dt――每年的现金股利,它取决于股票发行公司每年的收益和股利发放率
K――股票投资的必要报酬率
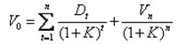
2.有限期持有股票的价值计算公式
除非作为控股目的的股票投资,作为一般证券买卖的股票投资通常不会被无限期持有,因此,股票投资期间的现金流量表现为持有期股票的现金股利收入和持有期结束时出售股票的金额。这种有限期持有的股票估值公式为:

式中:Vn――预期出售股票的金额
n――持有的期间数
其他符号含义与前面相同。
3.零增长公司股票价值的计算公式
V=D/K
4.固定增长公司股票估值的计算公式
2012年审计师网络辅导招生简章 转自环球网校edu24ol.com
最新资讯
- 2020年初中级审计师考试大纲汇总(4月30日更新)2020-04-30
- 2019年审计师教材变化汇总(6.27更新完毕)2019-06-27
- 审计师行业动态:邢台市审计局按需施教加强审计干部培训2019-04-24
- 2019年审计师考试四个阶段通关攻略2019-02-28
- 2018年审计师《企业财务管理》精选笔记财管目标和职能2018-01-24
- 2018年审计师《企业财务管理》精选笔记财管含义和内容2018-01-24
- 2018年审计师《企业财务管理》精选笔记利润管理2018-01-24
- 2018年审计师《企业财务管理》精选笔记非股份制企业利润分配2018-01-24
- 2018年审计师《企业财务管理》精选笔记股份制企业利润分配2018-01-24
- 2018年审计师《企业财务管理》精选笔记利润及其分配管理2018-01-24

