审计师《审计专业相关知识》考点:投资风险报酬
一、投资风险与报酬的关系
(一)投资风险的含义
投资风险是指投资的未来实际报酬偏离预期报酬的可能性。
(二)投资风险报酬的概念
投资风险报酬是指投资者因承受风险而获得的额外投资报酬,也称投资风险补偿。
(三)投资风险与报酬的基本关系
投资风险越高,投资者要求的投资风险报酬率就越高,从而投资报酬率也就越高。
投资报酬率=无风险投资报酬率+投资风险报酬率
二、单项投资风险报酬率的衡量
单项投资是指只对一项证券、资产或项目所进行的投资。
单项投资的风险及其报酬率的衡量,主要运用概率的方法。
(一)确定概率及其分布
(二)计算期望报酬率
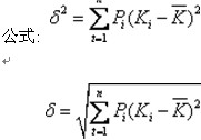
(三)计算方差、标准离差和标准离差率

结论:在期望值相同时,标准离差越大,风险越大。
标准离差率(V)=标准离差/期望值
期望值不同时,标准离差率越大,风险越大。
(四)确定风险报酬(价值)系数、计算风险报酬率
风险报酬率=风险报酬系数×标准离差率
(五)投资报酬率
投资报酬率=无风险报酬率+风险报酬率
结论:风险越大,风险报酬率也越高,投资人要求的必要报酬率也越高。
投资的总报酬率可表示为:
K=RF+RR=RF+b?V
三、投资组合风险报酬率的衡量
(一)投资组合风险类型的分析
投资组合的总风险分为可分散风险和不可分散风险两种类型。
1.可分散风险和相关系数
可分散风险――指某些因素引起证券市场上特定证券报酬波动的可能性。其通过投资组合能分散风险。
相关系数――反映投资组合中不同证券之间风险相关程度的指标。
相关系数可以用协方差来计算。
协方差的计算公式:

投资组合中各证券之间的风险相关程度可以用相关系数这个指标来反映,相关系数的取值范围为大于等于-1,小于等于1。
相关系数等于1时各证券正相关,则不能抵消风险,相关系数等于-1时各证券负相关,当等额投资时可分散风险可以抵消,相关系数越小,风险分散效果越好。
2.不可分散风险和贝塔系数
不可分散风险是指某些因素引起证券市场上所有证券报酬波动的可能性。其通过投资组合不能分散风险。
不可分散风险通常用贝塔系数来测定。
证券市场贝塔系数大于1----风险程度高于证券市场;
证券市场贝塔系数小于1----风险程度低于证券市场;
证券市场贝塔系数等于1----风险程度=证券市场;
注:整个市场的贝塔系数等于1
(二)投资组合风险报酬率的计算
风险报酬率=βp(Rm-Rf)为风险报酬率
βP=∑βi×Wi
βp为贝塔系数
Rm为证券市场的平均报酬率
(三)投资组合的必要报酬率的计算
投资组合风险必要报酬率=无风险报酬率+风险报酬率
投资组合的必要报酬率KP=RF+βP(RM-RF)
2012年审计师网络辅导招生简章 2011年全国审计师考验交流中心
现报审计师全科辅导可享六折优惠 2010-2011年审计师考试大纲汇总
2012年审计师考试报名时间汇总 审计师考试在线题库免费测试
最新资讯
- 2020年初中级审计师考试大纲汇总(4月30日更新)2020-04-30
- 2019年审计师教材变化汇总(6.27更新完毕)2019-06-27
- 审计师行业动态:邢台市审计局按需施教加强审计干部培训2019-04-24
- 2019年审计师考试四个阶段通关攻略2019-02-28
- 2018年审计师《企业财务管理》精选笔记财管目标和职能2018-01-24
- 2018年审计师《企业财务管理》精选笔记财管含义和内容2018-01-24
- 2018年审计师《企业财务管理》精选笔记利润管理2018-01-24
- 2018年审计师《企业财务管理》精选笔记非股份制企业利润分配2018-01-24
- 2018年审计师《企业财务管理》精选笔记股份制企业利润分配2018-01-24
- 2018年审计师《企业财务管理》精选笔记利润及其分配管理2018-01-24

