2013年经济师考试《中级商业》预习:市场预测的方法
查看汇总:2013年经济师考试《中级商业》预习汇总
第四章 商品流通企业预测与决策
4.1市场预测
二、市场预测的方法
(一)定性预测法:
定性预测是指预测未来发展的大致趋势或方向,主要靠人们的主观判断。 包括:德尔菲法、类推法、用户调查法。
1. 德尔菲法 又称为老师意见法和老师调查法。兰德公司1946年创建,后来因为成功的预测了朝鲜战争的美军的失败而声名鹊起。德尔菲是以匿名的方式,轮番征询老师意见,最终得出预测结果的一种经验意见综合法。
德尔菲法预测步骤:(1)准备阶段。拟定意见征询表和选定征询对象。老师的选择注意以下几点:第一,自愿性。只有充分考虑老师的自愿性,才能避免老师意见回收率低的问题。保证老师充分发挥积极性、创造性和聪明才智。第二,广泛性。要求老师有广泛的来源。第三,人数适度。人数过少,缺乏代表性,信息量不足;人数过多,组织工作困难,成本增加。一般以15-50人为宜。(2)轮番征询阶段(具体见教材)(3)作出预测结论阶段。常见的统计处理方法有:中位数和上下四分位数法、算术平均统计处理法、主观概率统计处理法等。
2. 类推法:包括相关类推法和对比类推法。
(1)相关类推法:是利用已知的相关商品的数据和资料,推断预测商品未来需求趋势的一种方法。商品之间的相关关系大体包括:①时间上的先行、后行关系;②可替代商品的关系;③互补性关系。
(2)对比类推法:根据同类商品在不同时期、不同地区的需求情况,加以对比分析,来推断其未来的发展趋势。
3. 用户调查法:又称购买者意向调查法。就是定期直接向用户了解下一时期购买的意向,通过综合分析,推断出用户购买意向的变动趋势。
(二)定量预测法:
1. 时间序列预测法:上期销售量法、算术平均法、移动平均数法。
时间序列分析法是把预测商品的一组实际销售量统计数据按照时间顺序排列,通过统计分析或建立数学模型进行外推的定量预测方法。这类方法以连贯性原理为依据,以假设事物过去和现在的发展变化趋势会照样延续到未来为前提条件,直接从时间序列从统计数据中找出事物发展的规律性,并据此外推预测目标的未来发展趋势。
(1)上期销售量法:直接以上期实际销售量作为下一期销售量的预测值。把上一期的实际销售量作为下一期销售量的预测值。公式:Ft=Dt-1
式中:Ft――第t期的预测销售量;
Dt-1――第t-1期的实际销售量,即上期实际销售量。
这种方法是时间序列分析法的一种极端情况,只考虑最近一个时期的实际数据,忽略其他时期实际数据的影响。它的特征是反映需求变化最快,稳定性低。这种方法适用于实际需求变化幅度不大的情况。
(2)算术平均法: 以时间序列中各个时期的实际销售量的算术平均值作为下一期的预测销售量。公式:

【例1】谋商品流通企业某种商品1―12周期的实际销售量如表4―1所示。用算术平均法预测第13周期的销售量。
表4―1
|
周期 |
1 |
2 |
3 |
4 |
5 |
6 |
7 |
8 |
9 |
10 |
11 |
12 |
|
实际销售量D |
500 |
508 |
480 |
600 |
600 |
660 |
590 |
700 |
680 |
740 |
790 |
760 |
第13周期的预测销售量为:
F 13=(500+508+480+600+600+660+590+700+680+740+790+760)÷12
这种方法是时间序列分析法的另一种极端情况,它考虑了时间序列的全部数据,但把它们都平均了。这种方法的特征是反映需求变化最慢,稳定性强,灵敏性小。算术平均数法适合稳定形态的预测,如用于趋势形态和季节性形态则误差较大。
这种方法是时间序列分析法的另一种极端情况,它考虑了时间序列的全部数据,但把它们都平均了。这种方法的特征是反映需求变化最慢,稳定性强,灵敏性小。算术平均数法适合稳定形态的预测,如用于趋势形态和季节性形态则误差较大。
(3)移动平均数法:包括一次移动平均数法和二次移动平均数法。
1)一次移动平均数法:即用过去m个周期实际销售量的算术平均值作为下期销售量的预测值。这种方法只选取了时间序列中最靠近预测期的一组数据,选取的数据个数(m)固定不变,而随着预测期向前移动,每组数据的观察期也向前移动。公式:

式中:Ft――第t期的预测销售量;
Dt-i――第t-i期的实际销售量;
m――移动平均所取实际销售量的期数,简称为移动期数。
【例2】某商品流通企业某种商品1―12周期的实际销售量如表4―2所示。如取m=3,则移动平均数法的各周期预测值F如表4―2所示。用一次移动平均书法求第13周期的销售量预测值。
|
周期 |
1 |
2 |
3 |
4 |
5 |
6 |
7 |
8 |
9 |
10 |
11 |
12 |
|
实际值D |
501 |
510 |
480 |
600 |
600 |
660 |
591 |
699 |
681 |
741 |
789 |
759 |
|
预测值F |
―― |
―― |
―― |
497 |
530 |
560 |
620 |
617 |
650 |
657 |
707 |
737 |
由于移动期数m为3,故从第4周期起才开始运算:

一次移动平均法是介于上期销售量法和算术平均法之间的一种方法。
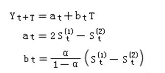
2)二次移动平均数法
二次移动平均数法是利用预测目标时间序列的一次移动平均值和二次移动平均值的滞后偏差演变规律建立起线性方程进行预测的方法。二次移动平均值是以一次移动平均值作为时间序列,再计算第二次的移动平均值,移动期数不变。二次移动平均数法的线性方程式为:

【例3】某商品流通企业某种商品1―12周期的实际销售量如表4―3所示。如取α=0.8,则指数平滑法的各周期预测值如表4―3所示。此表中的预测值均四舍五入为整数。
表4―3
|
周期 |
1 |
2 |
3 |
4 |
5 |
6 |
7 |
8 |
9 |
10 |
11 |
12 |
|
实际值D |
500 |
510 |
480 |
600 |
600 |
660 |
590 |
700 |
680 |
740 |
790 |
760 |
|
预测值F |
500 |
500 |
508 |
486 |
577 |
595 |
647 |
601 |
680 |
680 |
728 |
778 |
假设第1期的预测值为500,然后代入公式,依次运算:
F 2=0.8×500+(1-0.8)×500=500(千克)
F 3=0.8×510+(1-0.8)×500=508(千克)
F 4=0.8×480+(1-0.8)×508=486(千克)
其余类推。如预测第13期的销售量,则
F 13=0.8×760+(1-0.8)×778=764(千克)
指数平滑法考虑了时间序列的全部数据,但对接近的数据给予较大的权数,对早期的数据给予递减的权数。平滑系数α越大,越接近1,对近期数据加的权数越大,反映需求变化的灵敏度越高;反之,α越小,对需求变化反映的灵敏度就越差。和移动平均数法m值的选取方法一样,指数平滑法α值的选取,可由预测者经验判断误差,也可用试验方法,先选用若干个α值对时间序列做实验,并比较不同α之的预测误差,选取误差较小单的α值用于预测。

(4)指数平滑法
1)一次指数平滑法:以预测目标的上期实际销售量和上期预测销售量为基数,分别给
两者以不同的权数,计算出指数平滑值,作为下期的预测值。计算公式为:


2. 回归分析法:一元回归、多元回归
回归分析研究的是变量与变量之间的关系,涉及多个统计量。变量与变量之间的关系有两种类型:一种是确定型的关系,另一种是非确定型的相关关系。如果只有一个自变量,就称一元回归分析,如果涉及两个或更多的自变量,就称二元回归分析、多元回归分析。一般考试都会直接给出回归系数,所以大家只要记住:y=a + bx这个公式就可以了。记住常数项是a。式中:y为因变量,即预测值;x为自变量,即引起因变量变化的某影响因素;a、b为回归系数。在应用一元线性回归分析法进行销售量或销售额预测时,收集的历史统计数据要尽可能多一些,一般要在20个以上。数据个数太少,预测的正确性差。
最新资讯
- 2020年初中级经济师《经济基础》章节考点汇总2019-11-15
- 2019年初中级经济师《工商管理》考点汇总2019-10-17
- 2019年初中级经济师《金融经济》考点汇总2019-10-15
- 2019年初中级经济师《建筑经济》考点汇总2019-10-15
- 2019年初中级经济师《财政税收专业》考点汇总(10月12日更新)2019-10-12
- 2019年初中级经济师《经济基础》考点汇总2019-10-10
- 2019年经济师考试这12个公式必备!2019-09-10
- 2019年全国经济师考试教材正式出版!2019-07-09
- 2019年经济师考试备考必背公式集合汇总2019-04-25
- 2019年经济师考试备考必背公式集合三2019-04-25