2013年经济师考试《中级商业》预习:储存合理化
更新时间:2013-01-22 08:40:43
来源:|0
浏览
收藏
摘要 2013年经济师备考已拉开序幕,请考生关注环球网校经济师考试复习资料,安排好复习内容,祝您考试成功!
查看汇总:2013年经济师考试《中级商业》预习汇总
第六章 物流管理
6.2 物流标准化及物流信息技术
三、储存合理化
(一)储存的概念和作用
1.概念
2.作用
储存与运输是物流系统中的两大支柱。
储存的作用具体表现为:调节供应和需求;提高运输效率,降低运输成本;进行商品整合;支持企业的销售服务。。
(二)储存合理化的条件
1.遵循仓库网络规划的原则
(1)一致性
(2)服务性
(3)经济性
2.仓库数量的确定
仓库数量的多少主要受物流成本、顾客服务的需要、运输服务水平、中转供货的比例、单个仓库的规模、计算机网络的运用等因素的影响。
(1)物流成本。一般而言,随着仓库数量的增加,运输成本和失销成本会减少,而存货成本和仓储成本将增加。
首先,由于仓库数量的增加,企业可以进行大批量运输,所以运输成本会下降。
其次,由于仓库数量增加时,总的存储空间也会相应地扩大,因此仓储成本会上升。
再次,当仓库数量增加时,总存货量就会增加,相应的存货成本就会增加。
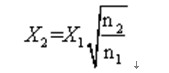
最后,库存的平方根定律解释了如果减少仓库的数量,货主的安全库存就会在总体上大幅度减少。这个定律揭示了未来仓库数量产生的总库存等于未来仓库数量与现有仓库数量二者商的平方根与现有总库存的乘积。计算公式为:

式中: n1――现有仓库的数量;
n2――未来仓库设施的数量;
X1――现有仓库中的总库存量;
X2――未来仓库中的总库存量。
(2)客户服务的需要。
(3)运输服务的水平。
(4)中转供货的比例。
(5)计算机网络的应用。
(6)单个仓库的规模。
编辑推荐
最新资讯
- 2020年初中级经济师《经济基础》章节考点汇总2019-11-15
- 2019年初中级经济师《工商管理》考点汇总2019-10-17
- 2019年初中级经济师《金融经济》考点汇总2019-10-15
- 2019年初中级经济师《建筑经济》考点汇总2019-10-15
- 2019年初中级经济师《财政税收专业》考点汇总(10月12日更新)2019-10-12
- 2019年初中级经济师《经济基础》考点汇总2019-10-10
- 2019年经济师考试这12个公式必备!2019-09-10
- 2019年全国经济师考试教材正式出版!2019-07-09
- 2019年经济师考试备考必背公式集合汇总2019-04-25
- 2019年经济师考试备考必背公式集合三2019-04-25