2013年经济师考试《中级商业》预习:配送合理化
查看汇总:2013年经济师考试《中级商业》预习汇总
第六章 物流管理
6.2 物流标准化及物流信息技术
六、配送合理化
(一)配送的概念和作用
1.概念:配送是指在经济合理区域范围内,根据客户要求,对物品进行拣选、加工、包装、分割、组配等作业,并按时送达指定地点的物流活动。
2.配送的作用
(1)从供方的角度看,主要有:物流成本得以控制;实现库存集约化;提高顾客服务水平促进销售;有利于把握市场信息;有利于实现商物分离。
(2)从需方的角度看,主要有:降低进货成本;改善库存水平,使零库存成为可能;减少采购、验收和入库费用;减少交易次数、降低物流整体成本;提供流通加工服务、促进销售;促进信息沟通。
(二)配送服务的种类
1.配送商品种类及数量不同的配送
(1)单(少)品种大批量配送。适用于企业需要量较大的商品,如A类商品。
(2)多品种、少批量配送。适用于企业的B、C类商品的运输。
(3)配套成套配送。适用于配套成套服务需要,与多品种、少批量配送效果基本相同。
2.配送时间及数量不同的配送
(1)定时配送
(2)定量配送
(3)定时定量配送
(4)定时、定路线配送
(5)即时配送
3.组织者不同的配送
(1)自营配送
(2)外包配送
(3)共同配送
(三)配送合理化的措施
1.合理规划配送中心
2.开展共同配送
(1)共同配送的优点:①从货主的角度看,共同配送能在提高物流效率(减少运费,减少物流人力成本)的同时,利于少量、多频度、小单位配送业务的推广。②从汽车运输业者的角度看,实行共同配送可以提高企业资金利用率、促进输送单位大型化和信息网络化的发展,也是车辆融通以及装载效率提高成为可能,而且通过共同配送扩大了多频度、小单位配送这样的顾客服务的范围,提高了企业的客户服务水平。③从社会的角度看,共同配送排除了交错运输,减少了在途车辆,可以有效缓和交通以及防治环境污染等。
(2)共同配送的组织形式
1)同产业间的横向共同配送
2)异产业间的横向共同配送
3)纵向共同配送
3.科学制定配送计划
配送七要素:商品、客户、车辆、人员、路线、地点和时间。
4.优化配送路线
(1)确定配送线路规划的目标。
(2)配送路线选择的制约条件:满足所有收货人对商品品种、规格和数量的要求;满足收货人对商品送达时间范围的要求;在允许通行的时间段内进行配送;各配送路线的商品量不得超过车辆容积和载重量的限制;在配送中心现有运力允许的范围内配送。
5.提高配送车辆车载率
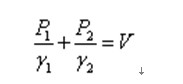
采用轻重商品配装法,充分利用车辆的容积和载重量,是降低配送成本的重要手段之一。
同一车内轻重商品的配装量可通过以下公式计算:
P1+P2=P

式中 P――车辆标记载重量(吨);
P1――重体商品装载量(吨);
P2――轻体商品装载量(吨);
V ――车辆全部有效容积(立方米);
γ1――重体商品比重(吨/立方米);
γ2――轻体商品比重(吨/立方米)。
最新资讯
- 2020年初中级经济师《经济基础》章节考点汇总2019-11-15
- 2019年初中级经济师《工商管理》考点汇总2019-10-17
- 2019年初中级经济师《金融经济》考点汇总2019-10-15
- 2019年初中级经济师《建筑经济》考点汇总2019-10-15
- 2019年初中级经济师《财政税收专业》考点汇总(10月12日更新)2019-10-12
- 2019年初中级经济师《经济基础》考点汇总2019-10-10
- 2019年经济师考试这12个公式必备!2019-09-10
- 2019年全国经济师考试教材正式出版!2019-07-09
- 2019年经济师考试备考必背公式集合汇总2019-04-25
- 2019年经济师考试备考必背公式集合三2019-04-25