2014中级经济师考试《建筑专业》辅导:建设项目评价
第二节 建设项目评价
【难点】五种评价与分析区别
财务评价
从项目自身角度评价赢利能力、偿债能力等
经济费用效益分析
从资源合理配置的角度,分析项目投资的经济效率和对社会福利所做出的贡献
费用效果分析
比较项目的效果与支付的费用,判断项目费用的有效性或合理性(相当于前面讲过的价值工程)
区域经济与宏观经济影响分析
从区域经济角度或国民经济角度,分析项目对区域及至国家宏观经济的影响
项目环境评价
项目对环境的影响
2.1. 财务评价
2.1.1财务评价概述
经营性项目
赢利能力
偿债能力
账务生存能力
非经营性项目
财务生存能力
不确定性分析
盈亏平衡分析
敏感性分析
【例题?单选题】【历年真题】下列关于建设项目财务评价的说法中,正确的是( )。
A.财务评价对投入物和产出物采用现行价格
B.则务评价对投入物和产出物采用影子价格
C.财务评价需计算项目的间接效益与费用
D.财务评价也称为宏观评价
【答案】A
2.1.2财务赢利能力指标分析
2.1.2.1 财务内部收益率(IRR)
净现值等于零(NPV=0)时的折现率
反应项目的赢利能力
如果该收益能力大于等于基准收益率或设定的折现率,表明项目可接受,如小于基准收益率,则方案不可接受
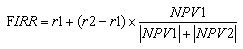
内部收益率的计算方法
内部收益率函数是减函数
r1时,净现值为NPV1>0,则FIRR一定比r1大
r2时,净现值为NPV2<0,则FIRR一定比r2小
解等式非常复杂,所以一般用插值法
r1时,净现值为NPV1>0
r2时,净现值为NPV2<0

2.1.2.2 财务净现值(FNPV)
净现值是指开发项目在投资活动有效期内的净现金流量,按预先规定的折现率或基准收益率,折算到开发项目实施开始的基准年的代数和(NPV)
(F~P)(A~P)
NPV≥0,说明方案正好达到预定的投资收益水平,或者尚有盈余,项目可以接受
NPV<0,说明方案达不到预定的收益水平,方案不可接受
2.1.2.3 投资回收期(Pt)
以项目的净收益回收项目投资所需要的时间,是考虑项目投资回收能力的主要指标
累计净现金之和为正的年数为n

2.1.2.4 总投资收益率(ROI)
指项目达到设计能力后正常年份的年息税前或运营期内年平均息税前利润(EBIT)与项目总投资(TI)的比率
总投资收益率高于同行业的收益率参考值的,项目可行

【例题?单选题】某建设项目的总投资为5600万元,年平均利润总额为1200万元,则该建设项目的投资利润率为( )
A.23.43%
B.21.43%
C.17.65%
D.18.46%
【答案】B

2.1.3 偿债能力指标及分析
2.1.3.1 利息备付率(ICR)
指在付借款偿还期内的息税前利润(EBIT)与应付利息(PI)的比值
从付息资金来源角度反映项目偿付债务利息的保障程序
利息备付率应分年计算
利息备付率高,表明利息偿付的保障程度高,大于1或满足债权人的要求时可行
ICR=EBIT/PI
2.1.3.2 偿债备付率
指借款偿还期内,用于还本付息的资金息税前利润加折旧和摊销(EBITAD-TAX)与应还本付息金额(PD)的比值
该值表示用于还本付息的资金偿还借款本息的保障程度
偿债备付率应分年计算
偿债备付率高,表明可用于还本付息的资金的保障程度高,大于1或满足债权人的要求时可行
DSCR=(EBITAD-TAX)/PD
2.1.3.3 资产负债率(LOAR)
是指各期末负债总额(TL)同资产总额(TA)的比率
资产负债率较低(在合理的范围内),表明企业经营安全、稳健,具有较强筹资能力,风险较小
LOAR=TL/TA×100%
2014中级经济师考试《建筑专业》辅导:建设项目经济评价注意问题
2014中级经济师考试《建筑专业》辅导:民用建筑项目可行性研究
2014中级经济师《建筑专业》辅导:建设项目财务评价&国民经济评价
2014中级经济师考试《建筑专业》辅导:建设项目可行性研究
最新资讯
- 2020年初中级经济师《经济基础》章节考点汇总2019-11-15
- 2019年初中级经济师《工商管理》考点汇总2019-10-17
- 2019年初中级经济师《金融经济》考点汇总2019-10-15
- 2019年初中级经济师《建筑经济》考点汇总2019-10-15
- 2019年初中级经济师《财政税收专业》考点汇总(10月12日更新)2019-10-12
- 2019年初中级经济师《经济基础》考点汇总2019-10-10
- 2019年经济师考试这12个公式必备!2019-09-10
- 2019年全国经济师考试教材正式出版!2019-07-09
- 2019年经济师考试备考必背公式集合汇总2019-04-25
- 2019年经济师考试备考必背公式集合三2019-04-25