2014年经济师考试《中级房地产》章节辅导:时间价值及等值计算
第二节 资金的时间价值及等值计算
考点一:名义利率和实际利率的换算公式
名义利率是指在一年内多次计息时的年利率j实际
利率是指在名义利率包含的单位时间内,按周期利
率复利计息所形成的总利率。把年名义利率转换为
年实际利率的计算公式为:

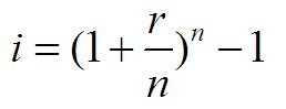
上式中,i为实际利率,r为名义利率,n为一年中的计息期数。
(1)当n=1时,i=r,即实际利率等于名义利率。如计息期为年时,年名义利率等同于实际利率。
(2)当n>1时,i>r,且n越大,即一年中计算复利的次数越多,则实际利率相对于年名义利率就越高。
(3)当n

∞时,即一年中使计息期无限多,也就是使计息周期的时间无限小,就可以得出连续复利的一次性支付计算公式:

考点二:资金等效值及其计算
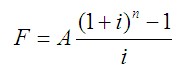
1.等额分付终值公式

容易推导出:

上式为等额分付终值公式, 称为等额分付终值系数,记为( F/A,i,n)。
应用分析
[例6-2] 某房地产开发企业获得银行一笔为期3年的分期支付的贷款,每期支付额为1 000万元,支付期为每年年初,年贷款利率为7%,到期后一次性还本付息。问3年后该房地产
开发企业偿还银行的本息一共是多少?
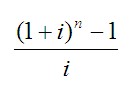
2.等额分付偿债基金公式
在年利率为i的情况下,欲将第n年年末的资金F换算为与之等值的n年中每年年末的等额资金,这就是等额分付偿债基金的计算问题。显然,等额分付偿债基金的计算是等额分付终值计
算的逆运算,于是得到计算公式:

上式中,

称为等额分付偿债基金系数, 记为(A/F,i,n)。
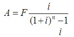
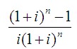
3.等额分付现值公式

(6-15)
上式为等额分付现值公式,
称为等额分付现值系数,记为(P/A,i,n)。
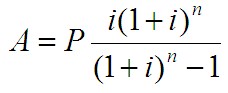
4.等额分付资本回收公式
对于初始投资为P,年利率为i时,在n年内每年年末以等额资金A回收,当A为多少时,所有的回收额等值于初始投资P。这是等额分付资本回收的计算问题,它是等额分付现值公式的逆运算,即已知现值,求与之相等值的等额年值,可由式( 6-15)得出:
(6-16)
最新资讯
- 2020年初中级经济师《经济基础》章节考点汇总2019-11-15
- 2019年初中级经济师《工商管理》考点汇总2019-10-17
- 2019年初中级经济师《金融经济》考点汇总2019-10-15
- 2019年初中级经济师《建筑经济》考点汇总2019-10-15
- 2019年初中级经济师《财政税收专业》考点汇总(10月12日更新)2019-10-12
- 2019年初中级经济师《经济基础》考点汇总2019-10-10
- 2019年经济师考试这12个公式必备!2019-09-10
- 2019年全国经济师考试教材正式出版!2019-07-09
- 2019年经济师考试备考必背公式集合汇总2019-04-25
- 2019年经济师考试备考必背公式集合三2019-04-25