2014年经济师《中级房地产》章节辅导:投资项目不确定性分析
第六节 房地产投资项目不确定性分析
考点一:不确定性分析包括的内容
不确定性分析包括:
1、盈亏平衡分析
2、敏感性分析
3、风险分析。
考点二:盈亏平衡分析的公式计算及评价原则

盈亏平衡的评价原则:
盈亏平衡点的值不论是用产量表示,还是用生产能力利用率表示;不论是用产品单价表示,还是用销售额表示,都是越低越好。
考点二:敏感性分析的计算步骤和基本原理
[例6-7] 某人拟花300万元购买一商业店铺出租。购买后持有10年,第10年末将其转让。通过市场调研得知,购买该店铺后第2年可租出,每年初一次性收取年租金,
年租金收入为80万元,年经营成本为20万元,第10年末转让的净收入为380万元。若投资者要求的目标收益率为10%,试对该投资方案进行经济评价和敏感性分析。
应用分析
[解] 1.对该投资方案进行经济评价
根据题意绘制该投资方案的现金流量图如图6-11所示

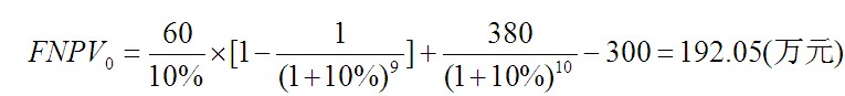
根据图6-1 1,计算该投资方案的财务净现值如下:

因为FNPV0(10%)=192.05(万元)>0,所以该投资方案是可行的。
2.对投资方案进行敏感性分析
(1)选取评价指标。选取财务净现值为该投资方案的评价指标。
(2)选取不确定因素并设定其变动幅度。根据该投资方案的特点,选取投资额、年租金收入和年经营成本三个不确定因素,并令它们在初始值的基础上按±10%和±20%的幅度变化。
(3)逐一计算各不确定因素变化导致的财务净现值变化,并将结果列成敏感性分析表(见表6-11)。
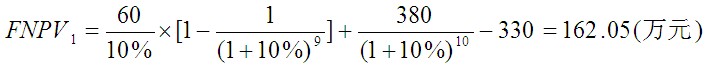
当投资额增加10%时,投资额为300×(1+10%) =330
(万元),相应的财务净现值为:

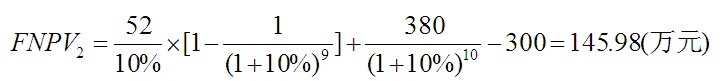
当年租金收入减少10%时,年租金收入为
80 ×(1-10%)=72(万元),
年净收益为72-20=52(万元),
相应的财务净现值为:

其他不确定因素变化的计算参照上述计算过程,将计算结果汇总于表6-11。
表6-11 单因素变化导致的财务净现值变化 单位:万元
(4)计算财务净现值对各不确定因素的敏感度系数。
对投资额的敏感度系数:
对年租金收入的敏感度系数:
对年经营成本的敏感度系数:
由上可知,财务净现值对年租金收入最敏感,其次是投资额,最后是年经营成本。年租金收入每下降1%,财务净现值下降2.4%。
(5)临界点分析。临界点分析可通过敏感性分析图进行,如图6-12所示,临界点的年租金收入下降幅度为41. 7%,投资额增加幅度为64.0%。
临界点的近似值可从表6-11中计算出。要使原方案的财务净现值为零,实际上就是使原方案财务净现值下降幅度为100%。因为年租金收入下降1%,财务净现值下降2.4%,所以当年租金收入下降
[(100÷2.4)/100] ×100%=41.67%时,财务净现值为零。同样可得,当投资额增加
[(100÷1.56)/100] ×100%=64.10%时,财务净现值为零,年经营成本增加[(100÷0.6)/100] ×100%=166.67%时,财务净现值为零。
考点三:房地产投资项目风险分析测度
(期望值、标准差、变异系数的计算)
[例6-9] 有方案I、方案Ⅱ两个投资方案,其年平均利润可能值及其发生概率见表6-14。请进行风险决策分析。
表6-14 方案I和方案Ⅱ的年平均利润可能值及其发生概率 单位:万元
[解] ①求出两个投资方案的利润期望值
因为E1 >E2,似乎应选方案I,但进一步分析其利润的标准差,会发现选择方案I并非上策。
②计算两个方案利润的标准差
显然, σ1比σ2大得多,即方案I的风险比方案II大得多,而两个方案的利润期望值又很接近,因此应选择方案II。
需要特别注意的是:用标准差来测度和比较两个以上投资方案的风险大小,要求这些方案的评价指标期望值相同或相近,当它们的评价指标期望值不相同也不相近时,要用变异系数来测度和比较风险的大小。
③变异系数。变异系数也称为投资风险度,等于标准差与期望值之比。用标准差来测度投资项目的风险时,可能会出现一个投资成本较高,预期现金流量较大的方案,通常比投资成本较小的投资方案有更大的标准差,但它的风险并不比投资方案小的风险大,用变异系数来测定相对风险的大小可以弥补标准差的不足。因此,标准差是用来测度比较“绝对风险”的,变异系数是用来测度比较“相对风险”的。
变异系数的计算公式为:
上式中,v为变异系数。
变异系数越大,方案的风险也越大;反之,方案的风险越小。
房地产投资风险评价
(考试中容易出单选和多选题)
(1)投资项目的财务内部收益率大于等于基准收益率的累计概率值越大,风险越小;标准差越小,风险越小;变异系数越小,风险越小。
(2)投资项目的财务净现值大于等于零的累计概率值越大,风险越小;标准差越小,风险越小;变异系数越小,风险越小。
最新资讯
- 2020年初中级经济师《经济基础》章节考点汇总2019-11-15
- 2019年初中级经济师《工商管理》考点汇总2019-10-17
- 2019年初中级经济师《金融经济》考点汇总2019-10-15
- 2019年初中级经济师《建筑经济》考点汇总2019-10-15
- 2019年初中级经济师《财政税收专业》考点汇总(10月12日更新)2019-10-12
- 2019年初中级经济师《经济基础》考点汇总2019-10-10
- 2019年经济师考试这12个公式必备!2019-09-10
- 2019年全国经济师考试教材正式出版!2019-07-09
- 2019年经济师考试备考必背公式集合汇总2019-04-25
- 2019年经济师考试备考必背公式集合三2019-04-25