2013年经济师考试《中级商业》预习:净现值法
查看汇总:2013年经济师考试《中级商业》预习汇总
第十二章 商品流通企业财务管理
12.2 商品流通企业投资管理
对于创造价值而言,投资管理是三项管理中最重要的管理。筹资的目的是投资,投资决定了筹资的规模和时间。投资决定了购置的资产类别,不同的生产经营活动需要不同的资产,因此投资决定了日常经营活动的特点和方式。
一、项目投资分析与评价
对项目投资评价时使用的基本方法是折现现金流量法,包括净现值法、现值指数法和内含报酬率法三种。此外还包括一些辅助方法,包括投资回收期法和会计收益率法。
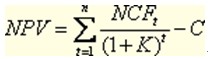
(一)净现值法(NPV,net present value):
1.所谓净现值法,是指通过比较各个投资项目净现值指标的大小来选择最优项目韵方法。在此法下,净现值最大的项目为优。
2.计算公式:

式中 NPV――净现值;
NCFt――第t年现金净流量;
C――初始投资;
n――项目期限;
k――资本成本。
当NPV大于零时,这个方案带来了正的现金流,可以采用;当NPV小于零时,则不能采用。如果有多个正的方案可以选择的话,当然选择最大的一个。
【例题?教材例题】设预定的折现率为10%,有三项投资方案,其有关数据如表所示。计算各方案的净现值并选择比较满意的方案。
|
年份 |
A方案初始投资:20 000 |
B方案初始投资:9 000 |
C方案初始投资:12 000 | |||
|
|
净收益 |
现金净流量 |
净收益 |
现金净流量 |
净收益 |
现金净流量 |
|
1 |
1 800 |
11 800 |
-1 800 |
1 200 |
600 |
4 600 |
|
2 |
3 240 |
13 240 |
3 000 |
6 000 |
600 |
4 600 |
|
3 |
|
|
3 000 |
6 000 |
600 |
4 600 |
|
合计 |
5 040 |
25 040 |
4 200 |
13 200 |
1 800 |
13 800 |
『正确答案』

A、B两项方案投资的净现值为正数,说明该方案的报酬率超过10%。如果企业的资金成本率或要求的投资报酬率是10%,这两个方案是有利的,因而是可以接受的。C方案净现值为负数,说明该方案的报酬率达不到10%,因而应予放弃。A方案和B方案相比,A方案更好些。
3.净现值的优点
(1)净现值的计算考虑了货币的时间价值。
(2)净现值能明确反映出一项投资使企业增值(或减值)的数额大小。
4.净现值法的缺点
(1)不能真正反映投资项目的获利能力大小。净现值的计算主要依赖于资本成本数值的大小,而资本成本的大小主要由企业筹资成本决定。这就是说,一个投资项目的获利能力大小并不能由净现值指标直接反映出来,一个获利能力很强的投资项目可能由于企业筹资成本较高而使得该项目的净现值较低。
(2)不能反映投资的相对效益。净现值法从投资净所得的角度评价投资项目的优劣,因它是一个绝对值指标,所以未能反映投资的相对效益状况。
最新资讯
- 2020年初中级经济师《经济基础》章节考点汇总2019-11-15
- 2019年初中级经济师《工商管理》考点汇总2019-10-17
- 2019年初中级经济师《金融经济》考点汇总2019-10-15
- 2019年初中级经济师《建筑经济》考点汇总2019-10-15
- 2019年初中级经济师《财政税收专业》考点汇总(10月12日更新)2019-10-12
- 2019年初中级经济师《经济基础》考点汇总2019-10-10
- 2019年经济师考试这12个公式必备!2019-09-10
- 2019年全国经济师考试教材正式出版!2019-07-09
- 2019年经济师考试备考必背公式集合汇总2019-04-25
- 2019年经济师考试备考必背公式集合三2019-04-25