2008年11月二级物流师考试真题及参考答案
一、判断题:(每题0.5分,共25分)正确的涂A,错误的涂B
1.物流是流通的物质基础,没有物流,亦就没有流通。A4
2.在物流系统中,“物”不改变本身的形状、尺寸和性质,只有时间或空间位置的状态变化。 A4
3.一个企业的物流状况不能完全反映其管理水平的高低。 B12
4.企业物流系统的垂直结构是根据物流活动发生的先后次序划分的。 B10
5.企业的第三利润是通过企业物流合理化来取得的。A11
6.运输的起点是“装”的作业,其终点是“卸”的作业,因此装卸搬运活动在物流中占有重要地位,它本身也具有明确的价值。 B48
7.供应商战略是站在采购方的立场考虑与供应商的关系程度及其发展程度的战略。B8
8.对于进货难度小以及风险小的进货任务,企业首选是第三方物流公司的进货方式。 B24
9.总成本最低的原则是进货管理中贯穿始终的原则。 B24
10.“纵向一体化”的主要缺点是企业难以形成突出的核心优势,采用这种模式会增大企业的行业风险。 A220
11.供应链上各企业之间不存在竞争关系,只存在合作联盟关系。B224
12.供应链管理主要涉及供应、物流、需求三个领域。 B225
13.供应链管理是强调核心企业与世界上最杰出的企业建立战略合作关系,这样不仅可提高本企业的竞争能力,而且使供应链上的其他企业都能受益。A221
14.根据货物周转率来安排货位时,周转率越大的货物应离出入口越远;反之越近。B40
15.ABC分析法是一种定量库存控制方法,得到了广泛的使用。b65(是分类管理办法)
16.经济订购批量是指,库存总成本最小时的订购量,简称订货量。 b69
17.库存风险成本是根据商品的价值和类型来确定的,商品的价值越高,当丢失或损坏时,其风险成本就越高。 B70
18.双堆法或三堆法是定量库存控制方法的简化形式,这两种方法简便易行,无须经常盘点。它们比较适合于价值低、备运时间短、供应充足的商品。A73
19.单价便宜、品种数量多、但需求预测较困难的商品适宜使用定期订货法来进行库存控制。B73
20.物流系统模式是由输入、输出、处理和反馈等四部分组成。B40
21.物流系统设计必须具备P、Q、R、S、T 这几方面的基本资料。B41
22.集装单元化原则,既属于装卸搬运作业合理化原则,也属于仓储合理化原则。A161
23.物品的活性是指,从物品的静止状态转变为装卸状态的难易程度。A50
24.当对建筑工程、出口等可确定需求量的货物进行库存控制时,宜采用定期库存控制方法。 A75
25.配送信息管理系统应该包括仓储管理系统、车辆调度系统、配货系统和财务会计系统。 B109
26.从信息特征方面来考察保管型仓库与配送中心的区别,主要在于:前者货物的状况与信息是一致的,而后者是不一致的。 B92
27.物流配送中心是在20世纪70年代石油危机之前,为挖掘物流过程的经济潜力,对物流过程进行了细分,而出现的物流设施。 b93
28.集装单元化技术是物流系统中的一项先进技术,它适合于小批量、短距离货物的输送。 B161
29.配送是以供应者送货到户式的服务性供应,是一种“门到门”的服务形式,属于“终端运输”。 B57
30.来自企业内生产、财务等部门的信息属于物流系统内信息。 B63
31.传统仓库是以物资保管为主要功能,而配送中心除保管外,还具有分拣、流通加工、检验等功能。A92
32.快件运输的货物处理中心是属于非商业货物配送中心。A95
33.对于综合型配送中心来说,应具有储存、分拣和流通加工等功能。A96
34. 配送中心模式是指配送中心这一经济实体的各个基本要素的标准运作形式。这种模式主要是通过人们的主观愿望设计出来的。 B97
35.从属性、即时性、移动性和分散性、可替代性以及需求波动性是物流客户服务的基本特点。 B78
36.物流服务的服务对象大多数是固定客户,这样就能较深入地了解客户的物流需求。 B78
37.物流服务为能适应不断变化的市场竞争环境,企业常需要借助产品生命周期理论来建模。B87
38.物流企业所发生的各项成本和费用之和,构成了它的物流成本。 A98
39.集商流、物流、信息流和资金流四流合一的配送中心模式是属于基于销售的配送中心模式。b99
40.物流与信息流相结合的最突出形式就是条码技术在物流中的应用。a
41.共同配送的主体只能是货主,第三方物流公司是不可以采用共同配送方式的。B131
42.零售商与批发商之间的物流共同配送,以及批发商与厂商之间的物流共同配送都属于横向共同配送的范畴。 B133
43.在国际货运中,按运费的支付时间来划分,通常有到付运费和预付运费两种。A284
44.作业成本法的理论基础是:产品消耗作业,作业消耗资源并导致成本的发生。因此这种成本核算是以作业为单位来计算的。 A117
45.作业决定着资源的耗用量,这种关系称为作业动因。B117
46.先进的物流技术和先进的物流信息是提高物流能力、推动现代物流迅速发展的两个车轮,二者缺一不可。B129
47.配送中心要素管理主要涉及到配送中心的商品储存量的管理问题。 B108
48.物流中心在供应链上的地位不同,其业务内容也不同。若它处于制造商的上游,物流中心信息系统主要是根据生产节拍,实现JIT配送服务。A326
49.船舶单向航次时间称为班期。它是根据航线里程、船舶航速、港口装卸率和装卸货物的数量等因素决定的。 B258
50.从我国交通运输结构情况来看,铁路运输所占比重上升较快,这与我国经济发展和产业结构的变化有紧密的关系。B145
二、单选题:(每题0.5分,共25分)每题只有一个正确答案
51.企业要清楚辨别本企业的核心业务,然后就狠抓核心资源,以提高核心竞争力。这是( d )的管理思想。 224
A.JIT
B.OPT
C.“纵向一体化”
D.“横向一体化”
52.供应链管理关心的并不仅仅是物料实体在供应链中的流动,而是注重供应链总的物流成本与( c )之间的关系。 224
A.物流效益水平
B.企业利润水平
C.用户服务水平
D.企业效率
53.物流系统设计要素中“R”是表示( c )。 41
A.所研究的商品种类
B.商品的数量
C.商品的流向
D.物流成本
54.从生产与消费两方面来看,产品生产与消费的节奏是不相同的。这就需要通过( b )来协调。 47
A.流通加工
B.仓储
C.运输
D.配送
55.对库存时间较长的货物来说,如何放置、放置在何处等问题应由( c )决定的。 38
A.储存策略
B.仓储计划
C.货位管理
D.货位编码
56.某百货公司的仓库进了一批香皂、饼干、药品、洗衣粉等货品,对这些货品进行储存时,宜采取( a )方式。 39
A.分类储存
B.定位储存
C.随机储存
D.分类随机储存
57.要对库存进行有效的管理和控制,首先要对存货进行处理,采用( d )可以达到分清主次、抓住关键。 67
A.ABC分析法
B.JIT管理法
C.CVA管理法
D.ABC分析法和CVA管理法相结合
58.定量库存控制是指库存量下降到( c )时,按固定的订购数量进行订购的方式。 67
A.订购点
B.订购批量
C.安全库存量
D.最低库存量
59.定期库存控制方法的关键在于确定( d )。 75
A.最大库存量
B.订购周期
C.订购点
D.订购周期和最大库存量
60.食品、水果、蔬菜、鲜花、肉类、活鱼等在进行配送时适合采用( a )。
A.日配
B.准时制配送
C.定量配送
D.共同配送
61.对物流系统进行系统分析,是为了把握物流系统行为的( d ),进而可以对物流系统的设计、改善和优化做出正确的决策。 67
A.相互作用
B.内在联系
C.固有的系统特征
D.内在规律性
62.为满足来自不同渠道的各种服务需求,在多渠道的物流服务条件下,配送产品的流量一般都较小,同时还需提供一些特殊的物流服务,随之提高了物流费用,这种激烈竞争状况增加了物流服务的复杂性。这是属于产品生命周期的( c )物流服务的特点。 88
A.导入阶段
B.成长阶段
C.成熟阶段
D.衰退阶段
63.当仓库确切知道各货品的进出库时间时,不同的货品则可采取( c )的方式。 40
A.随机储存
B.分类储存
C.共同储存
D.定位储存
64.在物流方案中( a )环节占据着至关重要的地位,它既是物流过程的重要组成部分,又是产生成本的重要环节,同时也是制约我国物流发展的一个大瓶颈。 87
A.配送
B.运输
C.仓储
D.流通加工
65.商业货物配送中心和非商业货物配送中心是按(d )来进行分类的。95
A.配送服务对象
B.经营主体
C.社会化程度
D.配送货物的性质
66.由专业物流公司根据用户的要求进行货物的分类、配货、装车,并定时将货物送到生产厂的生产流水线上。这种配送方式属于( a )模式。 99
A.基于供应的配送中心
B.基于销售的配送中心
C.基于资源集成的配送中心
D.基于生产的配送中心
67.EDI技术在物流中的( c )得到了广泛的应用,制造者可通过应用EDI,能在同一天向其所有零售地发送货物。127
A.运输环节
B.入库环节
C.发运环节
D.储存环节
68.某公司要将货物从N个仓库运往到M个商店,要求所耗费的运费最小。要解决这个问题,可利用( b )。127
A.EDI技术
B.GIS技术
C.GPS技术
D.ERP系统
69.各种运输方式的合理分工和协调发展是综合运输体系的( d )。
A.基本条件
B.前提
C.基础
D.核心问题
70. 国际多式联运是一种以实现货物整体运输的最优化效益为目标的联运组织形式,它通常是以( c )为运输单元的。 145
A.成箱货物
B.件杂货
C.集装箱
D.散装货物
71.在国际多式联运中陆桥运输起着非常重要的作用,它是( a )国际多式联运的主要形式。 148
A.远东―欧洲
B.远东―中南美
C.远东―非洲
D.远东―澳洲
72.距离是影响运输成本的主要因素,距离与运输成本的关系应是( b )。152
A.递增关系
B.递减关系
C.相关关系
D.正比关系
73.运用“节约法”优化配送路线时,首先必须做出如下假设:配送给各用户的坐标及需求量均为已知;配送中心要有足够的运输能力和( c )167
A.配送的货物是不同用户的
B.配送的货物是同一个货主的
C.配送的是同一种货物
D.配送的是二种以上的货物
74.将型号比较陈旧的但还能使用的电脑运到山区,给山区上学的学生使用,这种货物运输需求是由( d )而形成的货流。171
A.因自然资源条件不同
B.因经济发展和社会分工的加深
C.因生产力布局上的要求
D.为实现商品的社会效用
75.家具、大型电器、大型乐器等商品适合于(a )的配送方式。95
A.面向最终消费者的配送中心
B.面向制造企业的配送中心
C.面向零售商的配送中心
D.零售商为主导型配送中心
76.根据物流信息在物流活动中的作用不同,物流信息一般可分为( b )类。63
A.三类
B.五类
C.七类
D.九类
77.由于用户在同一时间提出的订货品种不完全相同,订货数量也不等,同时提供商品的时间也不一致,这就要求配送中心有能力将专门供货系统提供的商品进行汇集,然后再根据用户的要求进行分拣和分送。这一功能主要是依靠( b )实现的。125
A.自动识别技术
B.电子票签拣货技术
C.EDI技术
D.地理信息系统
78.在装卸煤炭、石油、小汽车等不同种类的货物时,对装卸质量和工艺要求是不同的,这反映了运输需求的( a )特性。 172
A.异质性
B.派生性
C.不平衡性
D.不规律性
79.像航空运输这种只有少数运输企业控制整个运输市场的供给和销售的运输市场,称作为( d)。 173
A.完全垄断市场
B.完全竞争市场
C.垄断竞争市场
D.寡头垄断市场
80.企业生产物流系统设计的核心内容是物料、方法和( b )。211
A.生产布局
B.物流移动的距离和路线
C.工位器具
D.搬运设备
81.MRP的输入数据主要有三种,其中库存记录文件是由( b )组成。231
A.二个数据段
B.三个数据段
C.四个数据段
D.五个数据段
82.精益物流系统改变了传统的设备布置方式,采用了( c )布置方式。 241
A.L型
B.二字型
C.U型
D.双排型
83.生产企业物流系统可以看作是将原材料转化为产品的系统,在这个系统中生产产品所需的全部资源,如厂房、机器、工人等都属于( a )。247
A.制造资源
B.物流资源
C.人力资源
D.生产资源
84.在OPT的物流原则中提出使各个工序都与瓶颈工序同步,以求生产周期最短、在制品最少。这就是所谓的( b )。 247
A.生产能力的平衡
B.物流的平衡
C.供销的平衡
D.产销的平衡
85.西伯利亚大陆桥是目前世界上最长的一条陆桥运输线,它在沟通( b )与促进国际贸易中起着重要的作用。 148
A.远东与北美
B.亚欧大陆
C.中东与南非
D.远东与欧洲
86.( a)打破了MRPⅡ只局限在传统制造业的格局,并把它的触角伸向各行各业。237
A.ERP
B.MRP
C.MRS
D.DRP
87.精益物流系统认为( b)不仅是一种浪费,还会掩盖企业中的潜在问题,因此一定要积极地去解决这些问题。242
A.包装
B.存储
C.运输
D.配送
88.( d )是国际海上货物运输中最重要的单证之一。267
A.海上运输合同
B.到货通知
C.交货记录
D.提单
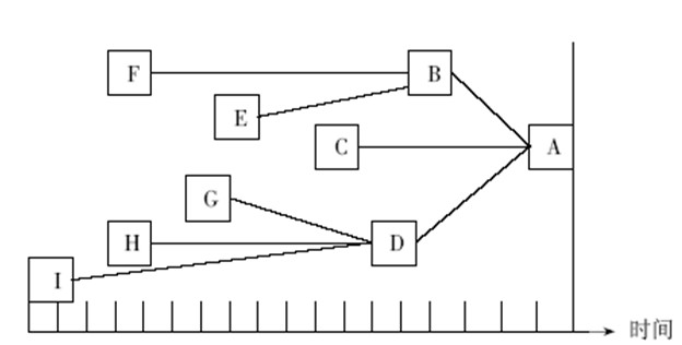
89.产品结构越复杂,零部件的装配组合层次就越多,一般用树形结构来表示产品的结构以及与时间的关系。下图表示某产品的结构与时间的关系,它表示只有当( d )后,A产品才能完成。 230

A.F、E、B完成
B.I、H、G、D完成
C.E、C、G、D完成
D.B、C、D完成
90.MRPⅡ是在闭环MRP系统的基础上出现的,它是为了克服闭环MRP只解决企业生产管理方面的问题,而忽视了与生产密切相关的( c )问题。235
A.经营管理
B.安全管理
C.财务管理
D.人才管理
91.根据《国际海事委员会海运单统一规则》规定:“如信用证无特殊规定,银行将拒收运输单据签发日期后超过( b )才提交的单据。在任何情况下,交单不得晚于信用证到期日。” 272
A.16天
B.21天
C.25天
D.30天
92.在国际贸易中,按照国际金融市场和银行业务的惯例,出口商(卖方)向银行结汇(议付货款)所提交的提单,必须是( a )。268
A.已装船提单
B.收货代运提单
C.指示提单
D.记名提单
93.物流信息系统是物流中心的( c ),一个物流信息系统构建是物流中心能否发挥作用的关键。 325
A.基础
B.前提条件
C.灵魂
D.核心
94.物流标准化是指以( a )为对象,围绕运输、储存、装卸、包装以及物流信息处理等制订、发布和实施有关技术和工作方面的标准。 195
A.物流系统
B.物流活动
C.供应链
D.物流企业
95.企业的部门负责人在制订中期决策时所需要的信息,如单位产品的制造成本、库存费用、市场商情等都是属于( c)信息。63
A.知识管理
B.操作管理
C.战术管理
D.战略管理
96.为迎接2008年奥运会,北京将各种标语牌、路牌等都用统一了书写格式,以便外国游人识别。这就要求信息设计要做到( a )。
A.规范化
B.统一化
C.可读化
D.实用化
97.随着国际贸易和海上运输的发展,提单的种类也越来越多。如按( d )划分,可分为全式提单和简式提单。 270
A.对货物的外表状况是否有不良批注
B.不同的运输方式
C.签发提单的时间
D.提单内容的繁简
98.物流标准化和一般标准化系统不同,它涉及面更广泛,因此物流标准化要求体现( c ),这是标准化的主要目的之一,也是标准化生命力如何的决定因素。 196
A.科学性
B.民主性
C.经济性
D.国际性
99.在运用最优生产技术(OPT)的原理时,按照OPT的观点,在特定的系统中,瓶颈资源的数目一般小于( b )。 247
A.3个
B.5个
C.7个
D.9个
100.

上面图表示的是( b )的运作模式。 328
A.配送中心信息系统配送作业
B.产品分销配送中心信息系统
C.分销物流中心信息系统
D.配送中心信息系统补货作业
三、多选题:(每题1.5分,共30分)每题至少有二个或二个以上的正确答案
101.社会物流成本又可称为宏观物流成本。基于社会物流成本的概念,它可分为( bcd )。97
A.物流企业物流成本
B.运输成本
C.存货持有成本
D.物流行政管理成本
E.货主企业物流成本
102.物流成本与服务水平的效益背反和物流功能之间的效益背反统称为( abc )。102
A.物流成本交替损益规律
B.物流成本效益背反规律
C.物流成本二律背反规律
D.物流成本悖反规律
E.物流成本交替规律
103.为了达到仓储管理的目标,仓储系统主要由( bce )等要素构成。33
A.货场与货架
B.人员与设备
C.货品
D.专用线
E.储存空间
104.为了保证仓储绩效评价真正发挥作用,在制订仓储绩效考核指标时应遵循( cde )的原则。 47
A.可靠性与公正性
B.简易性
C.可行性与可比性
D.协调性与稳定性
E.科学性
105.库存持有成本中的变动成本主要包括:( bcde )。70
A.仓储作业成本
B.资金占用成本
C.库存服务成本
D.存储空间成本
E.库存风险成本
106.由于外部的原因造成货物的中断供应,称之外部短缺。若发生外部短缺会导致发生( abc )的情况,此时会给企业造成很大的损失,应尽量避免。76
A.失销
B.失去客户
C.延期交货
D.赔偿损失
E.罚款
107.若以物流成本的形成阶段作为物流成本的控制对象,就要从( bcde )的不同阶段上,寻求物流技术的改善和物流管理水平的提高,来控制和降低各阶段的物流成本。
A.仓储物流
B.供应物流
C.生产物流
D.销售物流
E.废弃及回收物流
108.仓库要对储存作业进行评价时,一般可使用( ace )等指标来进行考核。49
A.库存周转率
B.设备利用率
C.设施空间利用率
D.人均作业能力
E.呆废货品率
109.海尔物流配送中心是属于( ce )。
A.批发商主导型配送中心
B.零售商主导型配送中心
C.厂商主导型配送中心
D.公共配送中心
E.个别企业配送中心
110.JIT供应方式具有很多好处,主要有( bcd )等方面。
A.配送时间准时
B.零库存
C.最大节约
D.零废品
E.配送数量准确
111.综合运输体系是在五种运输方式的基础上组建起来的,它大致由( ade )组成。145
A.具有一定技术装备的综合运输网及其结合部系统
B.综合运输指挥系统
C.综合运输信息系统
D.综合运输组织、管理和协调系统
E.综合运输生产系统
112.通常运输需求应包括:( abe )等要素。170
A.运输需求量与流向
B.运输需求结构
C.运输服务对象
D.运输设备
E.运输价格与流程
113.ERP与MRPⅡ的主要区别概括为( bcde )等方面。239
A.在资金管理方面的差别
B.在资源管理范围方面的差别
C.在生产方式管理方面的差别
D.在管理功能方面的差别
E.在事务处理控制方面的差别
114.在企业生产运作和物流管理中,根据功能和应用对象的不同,看板管理可分为( ad )。 243
A.生产看板
B.加工看板
C.信号看板
D.取货看板
E.供应看板
115.按配送中心的功能分类,可分为( cde )等。 96
A.共同型配送中心
B.批发型配送中心
C.通过型配送中心
D.集中库存型配送中心
E.流通加工型配送中心
116.基于JIT的精益物流对于生产现场要不断进行( abcde )等活动。240
A.整理
B.整顿
C.清洁
D.清扫
E.素养
117.集装箱提单业务主要应包括:( bcde )等内容。279
A.提单的审核
B.提单的签发
C.提单的更正与补发
D.提单的背书转让
E.凭保函签发清洁提单
118.由于记名提单不能背书转让,因此在实践中使用较少,一般仅在运输( acd )时采用。 269
A.贵重物品
B.药品
C.展品
D.援外物品
E.食品
119.班轮运费通常是由( de )所构成。 288
A.直航附加费
B.港口附加费
C.转船附加费
D.基本运费
E.附加运费
120.区域性物流信息平台是物流的载体,它包括( ace )因素的复杂网络体系。340
A.基础设施类
B.各类货物
C.设备类
D.各种辅助设施
E.标准类
(第二部分)
一、简答题:(每题2 分,共12分)
1.根据管理层次划分,物流信息可分为哪几种? 63
2.电子商务下的配送技术包括哪些内容?127
3.运输成本是由哪些内容构成的? 151
4.编制运输计划应遵循哪些基本原则? 158
5.MRPⅡ系统具有哪些特点? 236
6.ERP与MRP/MRPⅡ之间存在着哪些联系? 237
二、计算题:(每题8分,共16分)
1.某公司年度计划销售目标为9万元,预计年度周转率为15次,实际上由于市场需求量上升,一季度实现销售额每月平均8000元,预计4月份销售额为8650元,则该公司4月期初的库存额应调整为多少?
[注:请写出计算公式和计算步骤,只写答案无分] 64
2.某航线二端点港年货物发运量不同,一端点港年货物发运量为36万吨,另一端点港年货物发运量为42万吨,船舶的额定载重量为1.5万吨,船舶载重利用率平均为0.9,船舶往返航次时间是108天,请问此航线需配置同类型的船舶数是多少?该航线发船间隔应为多少? 259
[注:请写出计算公式与计算步骤,只写答案无分]
三、论述题:(每题8分,共32分)
1.论述物流系统分析的特点。 69
2.论述一种完整意义上的配送中心模式――基于资源集成配送
中心模式的特点。100
3.集装箱提单正面条款有哪几部分组成?它们具体说明什么问题? 272
4.论述自动化仓储系统的发展趋势。 160
四、案例分析:(共20分)
废旧电池回收物流
废旧电池经过长期机械磨损和腐蚀,使其内部的重金属和酸碱等泄漏出来,进入土壤或水源,就会通过各种途径进入人的食物链,危害人类的健康。我国电池产量约占全世界电池产量的1/2强,近年我国电池出口贸易快速增长,它已成为全球关注的重点行业。
欧盟在2006年5月通过一项指令,要求从2008年开始,强制回收废旧电池,回收费用由生产厂家负担。
欧盟该指令要求:从2009年开始,所有在欧盟境内销售的电池都必须标明具体使用寿命;2012年之前,欧盟境内1/4的废电池必须被回收;到2016年时,这一比例应达到45%。这项指令目前已获欧盟理事会与欧盟议会批准,即将成为欧盟法律。
我国作为世界电池制造和出口大国,欧盟的该项法令对我国电池制造业的回收问题提出了严峻考验。
请为我国的旧电池回收找出问题症结所在,并提出可行性解决方案。
最新资讯
- 2016年11月物流师真题及答案2016-11-22
- 2012年5月二级物流师真题及参考答案2015-11-20
- 2011年11月三级物流师考试真题及参考答案2015-11-20
- 江苏省2016年下半年物流师试题2015-11-19
- 2014年上半年三级物流师考试技能真题2014-06-17
- 2014年上半年三级物流师考试理论真题2014-06-17
- 2014年上半年二级物流师考试理论真题2014-06-17
- 2014年5月物流师三级专业技能真题2014-05-23
- 环球网校2014年5月物流师三级理论知识真题2014-05-23
- 环球网校2014年5月物流师二级理论知识真题2014-05-23
