2013年经济师考试《中级金融》辅导笔记:“利率与金融资产定价(4)”
第三节 收益率
一、名义收益率
名义收益率又称票面收益率,是债券票面上的固定利率,即票面收益与债券面额之比率。

【例1?单选题】债券的票面收益与面额的比率是( )。
A.当期收益率
B.名义收益率
C.到期收益率
D.实际收益率
【正确答案】B
【答案解析】本题考查名义收益率的概念。名义收益率又称票面收益率,是债券票面上的固定利率,即票面收益与债券面额之比率。
【例2?单选题】如果某债券面值为100元,本期获得的利息(票面收益)为8元,当前市场交易价格为80元,则该债券的名义收益率为( )。
A.4%
B.5%
C.8%
D.10%
【正确答案】C
【答案解析】本题考查名义收益率的计算。名义收益率=票面收益/面值=8/100=8%。
二、到期收益率
到期收益率:指到期时信用工具的票面收益及其资本损益与买入价格的比率。其计算公式为:

其中,r为到期收益率,C为票面收益(年利息),Mn为债券的偿还价格,P0为债券的买入价格,T为买入债券到期的时间。
到期收益率是衡量利率的确切指标。
(一)零息债券的到期收益率
1.零息债券:折价出售,到期按面值兑现。
2.零息债券的到期收益率的计算(掌握)
(1)零息债券每年复利一次的计算

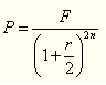
式中,P为债券价格,F为债券票面价值,r为到期收益率,n为期限。
例:一年期零息债券,票面额100元,若购买价格为90元,则到期收益率为:
【正确答案】
(2)零息债券每半年复利一次的计算
例:某公司折价发行债券面值为100元,期限10年,若价格为30元,则到期收益率为:
【正确答案】
(二)附息债券的到期收益率
附息债券的到期收益率的计算(掌握)
1.按年复利
如果按年复利计算,附息债券到期收益率的公式为:
式中,P为债券价格,C为债券的年付息额,F为面值,r为到期收益率,n为期限.
2.半年复利
例:某公司以12%的利率发行5年期的付息债券,半年一付息,发行价格为93元,面值为100元,则到期收益率为:
【正确答案】
r=14%
(三)永久债券的到期收益率
永久债券的到期收益率计算(掌握)
如果按复利计算,永久债券的到期收益率的公式为:
总结:从以上介绍可见,债券的市场价格越高,到期收益率越低;反过来债券的到期收益率越高,则其市场价格就越低。由此我们可以得出一个结论:债券的市场价格与到期收益率反向变化。
当市场利率上升时,到期收益率低于市场利率的债券将会被抛售,从而引起债券价格的下降,直到其到期收益率等于市场利率。由此可见,债券的价格随市场利率的上升而下降。
三、实际收益率
实际收益率是剔除通货膨胀因素后的收益率。

例:名义利率为8%,通货膨胀率为5%,则:
四、本期收益率
1.本期收益率,也称当期收益率,即信用工具票面收益与其市场价格的比率。
2.本期收益率的计算
式中,r为本期收益率,C为票面收益(年利息),P为市场价格。
【例4?单选题】假设购买债券花费100元,今年得到的利息支付为10元,则该债券的本期收益率为( )。
A.10%
B.9%
C.11%
D.4%
【正确答案】A
【答案解析】本期收益率=年利息/市场价格=10/100=10%。
2013年经济师考试《中级金融》辅导笔记:“利率与金融资产定价(5)”
2013年经济师考试《中级金融》辅导笔记:“利率与金融资产定价(3)”
2013年经济师考试《中级金融》辅导笔记:“利率与金融资产定价(2)”
2013年经济师考试《中级金融》辅导笔记:“利率与金融资产定价(1)”
2013经济师《中级金融实务》精讲笔记:前言
最新资讯
- 2020年初中级经济师《经济基础》章节考点汇总2019-11-15
- 2019年初中级经济师《工商管理》考点汇总2019-10-17
- 2019年初中级经济师《金融经济》考点汇总2019-10-15
- 2019年初中级经济师《建筑经济》考点汇总2019-10-15
- 2019年初中级经济师《财政税收专业》考点汇总(10月12日更新)2019-10-12
- 2019年初中级经济师《经济基础》考点汇总2019-10-10
- 2019年经济师考试这12个公式必备!2019-09-10
- 2019年全国经济师考试教材正式出版!2019-07-09
- 2019年经济师考试备考必背公式集合汇总2019-04-25
- 2019年经济师考试备考必背公式集合三2019-04-25