2013年经济师考试《中级金融》辅导笔记:“利率与金融资产定价(1)”
第二章 利率与金融资产定价
第一节 利率的计算
一、利率概述
(一)利率的涵义
1.利率是利息率的简称,指借贷期间所形成的利息额与本金的比率,是借贷资本的价格。
2.利率的种类
分类角度 | 分类类别 | |
利率的决定方式 | 固定利率 | |
浮动利率 | ||
利率的真实水平 | 名义利率 | |
实际利率 | ||
借贷主体 | 中央银行利率(再贴现利率、再贷款利率) | |
商业银行利率(存款利率、贷款利率、贴现率) | ||
非银行利率(债券利率、企业利率、金融利率) | ||
计算利率的期限单位 | 年利率 | 年利率=月利率×12=日利率×360 |
月利率 | ||
日利率 | ||
二、单利与复利
利息的计算分单利与复利
(一)单利:是不论借款期限的长短,仅按本金计算利息,上期本金所产生的利息不记入下期计算利息,即利息不重复计算利息的计息方法。其本利和是:
S=P(1+r?n)
其中,S为本利和,P为本金,r为利率,n为存期;我国银行存款的利息是按单利计算。
I=P?r?n 利息额与本金、利率、时间呈线性关系
例:P=100,r=6%(年利率),n=1、2、3(年)……
则:I1=100?6%?1
I2=100?6%?2=12
I3=100?6%?3=18……
【例1?单选题】投资者用100万元进行为期5年的投资,年利率为5%,一年计息一次,按单利计算,则5年末投资者可得到的本息和为( )万元。
A.110
B.120
C.125
D.135
【正确答案】C
【答案解析】本题考查单利计算本息和。100×(1+5%×5)=125万元。
(二)复利:也称利滚利,就是将上期利息并入本金并一并计算利息的一种方法。
1.一年付息一次(一年复利一次)
其本利和是:
S=P(1+r)n
其中,S为本利和,P表示本金,r表示利率,n表示时间。
I=S-P=P(1+r)n-P=P[(1+r)n-1]
例:P=100,r=6%(年利率),n=1、2、3(年)……
I1=S1-P1=100(1+6%)-100=6
I2=S2-P2=100(1+6%)2-100=12.36>12
I3=S3-P3=100(1+6%)3-100=19.10>18……
I为利息额。利息额与利率、时间呈非线性关系(只与本金呈线性关系)
期值:在未来某一时点上的本利和,也称为“终值”。其计算式就是复利本利和的计算式。
单利终值:S=P(1+r?n)
复利终值:S=P(1+r)n
2.一年付息多次(一年复利多次)
例:假设100元的存款以6%的年利率每半年支付一次利息,也就是说6个月的收益是6%的一半,即3%。
6个月末的终值为:FV=100×(1+0.06/2)=103
年末的期值为:100×(1+0.06/2)×(1+0.06/2)=100×(1+0.06/2)2=106.09
说明:第二期比第一期的终值多0.09元,是因为对第一期的3元的利息也计息的结果。如果一年中复利计算的次数增加的话,年末终值会越来越大。
例:上例如果一季计息一次,则年末终值为:100×(1+0.06/4)4=106.14
如果一个月计息一次,则年末终值为:100×(1+0.06/12)12=106.17
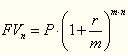
设:本金为P,年利率为r,每年的计息次数为m,则一年末的本息和为:
n年末的本息和为:
【例2?单选题】某人在银行存入10万元,期限2年,年利率为6%,每半年支付一次利息,如果按复利计算,2年后的本利和是( )万元。
A.11.20
B.11.26
C.10.26
D.10.23
【正确答案】B
【答案解析】本题考查年末期值计算公式FVn=P(1+r/m)nm。年利率是6%,每半年支付一次利息,那么2年的本利和就是10×(1+6%/2)4=11.26万元。
(三)连续复利

表2-1 不同时间连续复利的期值
分类角度 | 分类类别 | |
利率的决定方式 | 固定利率 | |
浮动利率 | ||
利率的真实水平 | 名义利率 | |
实际利率 | ||
借贷主体 | 中央银行利率(再贴现利率、再贷款利率) | |
商业银行利率(存款利率、贷款利率、贴现率) | ||
非银行利率(债券利率、企业利率、金融利率) | ||
计算利率的期限单位 | 年利率 | 年利率=月利率×12=日利率×360 |
月利率 | ||
日利率 | ||
期值变化规律:
(1)每年计息次数越多,终值越大
(2)随计息间隔的缩短(计息次数的增加),终值以递减速度增加,最后等于连续复利的终值。
三、现值
现值,也称在用价值,是现在和将来的一笔支付或支付流在今天的价值。
如果把未来某一时点上一定金额的货币看作是现在一定金额的本利和,那么现值就是按现行利率计算出的要取得这样金额的本利和在眼下所必须具有的本金数。这个逆算出来的本金称“现值”,也称“贴现值”。
现值的计算
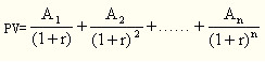
(一)系列现金流的现值
假如我们有一系列的现金流,第一年末是100,第二年未是200,第三年末是200,第四年末是300,若折现率为8%,这一系列现金流的现值可以通过每笔资金现值的加总得到。
第一年末收入的100元的现值:100/(1+8%)=92.59
第二年末收入的200元的现值:200/(1+8%)2=171.47
第三年末收入的200元的现值:200/(1+8%)3=158.77
第四年末收入的300元的现值:300/(1+8%)4=220.51
总现值:643.34
所以,一系列的现金流的现值公式:
Ai表示第i年末的现金流量(Ai相当于FVi),i=1,2,3…,n。
(二)连续复利下的现值
1.一年支付m次利息
假如一年之内支付利息的次数为m次,则利息率为r/m,则此时的现值公式为:

即(2-5)式的逆运算。式中An表示第n年末的现金流量(相当于
),m为年计息次数,r是贴现率。
例:如果三年后可收到100元,贴现率为8%,且一季计息一次,则现在值多少钱?
【正确答案】
2.连续计息的情形(连续复利)
如果式中m趋于∞,则(1+r/m)nm趋于ern,因此,如果连续复利,那么现值的计算公式为:
即(2-6)式的逆运算
例:如果三年后可收到100元,贴现率为8%,连续复利,则现在值多少钱?
【正确答案】
现值变化规律:
(1)每年计息次数越多,现值越小;而每年计息次数越多,终值越大。
(2)随计息间隔的缩短(计息次数的增加),现值以递减速度减小,最后等于连续复利的现值。
2013年经济师考试《中级金融》辅导笔记:“金融市场与金融工具(4)”
2013年经济师考试《中级金融》辅导笔记:“金融市场与金融工具(3)”
2013年经济师考试《中级金融》辅导笔记:“金融市场与金融工具(2)”
2013年经济师考试《中级金融》辅导笔记:“金融市场与金融工具(1)”
2013经济师《中级金融实务》精讲笔记:前言
最新资讯
- 2020年初中级经济师《经济基础》章节考点汇总2019-11-15
- 2019年初中级经济师《工商管理》考点汇总2019-10-17
- 2019年初中级经济师《金融经济》考点汇总2019-10-15
- 2019年初中级经济师《建筑经济》考点汇总2019-10-15
- 2019年初中级经济师《财政税收专业》考点汇总(10月12日更新)2019-10-12
- 2019年初中级经济师《经济基础》考点汇总2019-10-10
- 2019年经济师考试这12个公式必备!2019-09-10
- 2019年全国经济师考试教材正式出版!2019-07-09
- 2019年经济师考试备考必背公式集合汇总2019-04-25
- 2019年经济师考试备考必背公式集合三2019-04-25