2013年招标师《招标采购案例分析》高分冲刺试卷(31)
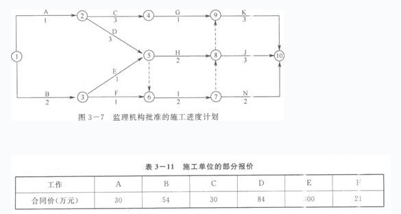
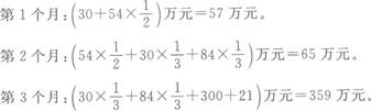
某工程项目,建设单位与施工单位按照《建设工程施工合同(示范文本)》签订了施工合同。合同工期为9个月,合同总价为840万元。项目监理机构批准的施工进度计划如图3―7所示(时间单位:月),各项工作均按照最早时间安排且匀速施工,施工单位的部分报价见表3―11。施工合同中约定:预付款为合同总价的20%,当工程款支付达到合同价的50%时开始扣预付款,3个月内平均扣回;质量保修金为合同价的5%,从第1个月开始,按每月进度款的10%扣留,扣完为止。

问 题
1.该施工进度计划中有几条关键线路?请指出。
2.开工后前3个月施工单位应获得的工程款是多少?
3.工程预付款是多少?预付款从何时开始扣回?开工3个月后,总监理工程师每个月签证的工程款是多少?
某工程,业主在招标文件中规定:工期T(周)不得超过80周,也不应短于60周。
解析:
1.该施工进度计划中的关键线路有4条:
A→D→H→J(或①→②→⑤→⑧→⑩);
A→D→H→K(或①→②→⑤→⑧→⑨→⑩);
A→D→I→J(或①→②→⑤→⑥→⑦→⑧→⑩);
A→D→I→K(或①→②→⑤→⑥→⑦→⑧→⑨→⑩)。
2.开工后前3个施工单位每月应获得的工程款为:

3.(1)工程预付款为:840万元×20%=168万元。
(2)前3个月施工单位累计应获得的工程款:
(57+65+359)万元=481万元>420万元=840万元×50%因此,预付款应从第3个月开始扣回。
(3)开工后前3个月总监理工程师签证的工程款为:
第1个月:(57-57×10%)万元=51.3万元(或57万元×90%=51.3万元)。第2个月:(65-65×10%)万元=58.5万元(或65万元× 90%=58.5万元)。前2个月扣留保修金:(57+65)万元×10%=12.2万元。
应扣保修金总额:840万元× 5%=42.0万元。
由于359万元×10%=35.9万元>29.8万元=(42.0-12.2)万元。
第3个月应签证的工程款:[359-(42.0-12.2)-168/3]万元=273 2万元。
编辑推荐:
最新资讯
- 招标师专业实务培训资料:世行工程和货物采购2018-11-21
- 招标师考试《合同管理》试题答案2018-11-19
- 2018年招标师考试《专业实务》练习题及答案2018-11-09
- 2018年招标师考试《合同管理》精选试题2018-11-09
- 2018年招标师考试《合同管理》精选试题2018-11-09
- 2018招标师考试《招标采购项目管理》同步练习题2018-11-08
- 2018年招标师考试《合同管理》精选试题2018-11-08
- 2018年招标师考试《专业实务》重点试题2018-11-08
- 2018年招标师考试《法律法规》冲刺试题(9)2018-11-05
- 2018年招标师考试《合同管理》精选试题(15)2018-11-05