2014经济师《中级金融》临考冲刺试卷2(单选)
热点专题:2014经济师备考冲刺大全|经济师1V1直播
2014经济师《中级金融》临考冲刺试卷,供考生参考学习。
一、单项选择题(共44题,每题1分,每题的备选项中,只有一个最符合题意)
1 货币政策的制定者和执行者是( )。
A.中央政府
B.商业银行
C.财政部
D.中央银行
参考答案:D
参考解析
【解析】本题考查中央银行的性质。中央银行是国家金融政策的制定和实施机构,它代理国库,代表国家管理金融业,调控宏观金融。
2 资本利润率是指( )。
A.净利润与资产平均余额之比
B.净利润与所有者权益平均余额之比
C.资产与负债之比
D.核心资本与风险加权资产之比
参考答案:B
参考解析
【解析】本题考查资本利润率的概念。资本利润率是指净利润与所有者权益平均余额之比。
3 2004年11月,中国人民银行在调整境内小额外币存款利率的同时,决定放开( )小额外币存款利率。
A.1年期以上
B.2年期以上
C.3年期以上
D.5年期以上
参考答案:A
参考解析
【解析】本题考查我国存贷款利率市场化的相关知识。2004年11月,中国人民银行在调整境内小额外币存款利率的同时,决定放开1年期以上小额外币存款利率。
4 缺口管理属于管理( )。
A.信用风险
B.汇率风险
C.利率风险
D.操作风险
参考答案:C
参考解析
【解析】缺口管理是利率风险管理的方法之一。
5如果某证券的β值为1.5,若市场投资组合的风险溢价水平为10%,则该证券的风险溢价水平为( )。
A.5%
B.15%
C.50%
D.85%
参考答案:B
6 ( )有权在某一确定的时间或确定的时间之内,以确定的价格购买相关资产。
A.看涨期权的买方
B.看跌期权的买方
C.远期合约买方
D.远期合约卖方
参考答案:A
参考解析
【解析】本题考查看涨期权的相关内容。看涨期权的买方有权在某一确定的时间或确定的时间之内,以确定的价格购买相关资产。
7 一般来说,流动性差的债权工具的特点是( )。
A.风险相对较大、利率相对较高
B.风险相对较大、利率相对较低
C.风险相对较小、利率相对较高
D.风险相对较小、利率相对较低
参考答案:A
参考解析
【解析】本题考查债权工具的特点。流动性与风险性成反比,流动性越差,风险性越大;流动性与收益性成反比,流动性越差,所要求的收益回报会越高,所以利率相对较高。
8 清算是终结解散银行法律关系、消灭解散银行( )的程序。
A.经营资格
B.法人资格
C.存款资格
D.贷款资格
参考答案:B
参考解析
【解析】本题考查清算的概念。清算是终结解散银行法律关系、消灭解散银行法人资格的程序。
9 以人民币为面值、以外币为认购和交易币种、在上海和深圳证券交易所上市交易的普通股票为( )。
A.F股
B.H股
C.B股
D.A股
参考答案:C
参考解析
【解析】本题考查B股的概念。B股股票是以人民币为面值、以外币为认购和交易币种、在上海和深圳证券交易所上市交易的普通股票。
10 凯恩斯认为,如果人们预期利率下降,其理性行为应是( )。
A.多买债券、多存货币
B.少存货币、多买债券
C.卖出债券、多存货币
D.少买债券、少存货币
参考答案:B
参考解析
【解析】本题考查凯恩斯货币需求函数的相关内容。凯恩斯认为,如果预期利率下跌,则人们愿意少存货币多买债券;反之,预期利率上升,则人们愿意卖出债券,多存货币。
11 中国人民银行作为政府的银行,其重要的职能是( )。
A.对政府贷款
B.再贷款
C.经理国库
D.再贴现
参考答案:C
参考解析
【解析】本题考查中国人民银行的性质。中国人民银行作为政府的银行,代表政府管理全国的金融机构和金融活动,经理国库。
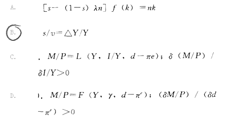
12哈罗德一多马的经济增长模型为( )。

参考答案:B
参考解析
【解析】s/v=△Y/Y是哈罗德一多马模型的基本公式。
13 ( )反映银行实际拥有的资本水平,是银行资本金的静态反映,而不是应该拥有的资本水平。
A.账面资本
B.监管资本
C.经济资本
D.实际资本
参考答案:A
参考解析
【解析】本题考查对账面资本的理解。
14 目前,中央银行资本结构的主要形式是( )。
A.全部资本为国家所有的资本结构
B.国家和民间股份混合所有的资本结构
C.资本为多国共有的资本结构
D.全部资本非国家所有的资本结构
参考答案:A
参考解析
【解析】本题考查中央银行资本结构的主要形式。全部资本为国家所有的资本结构形式成为中央银行资本结构的主要形式。
15 治理通货紧缩,凯恩斯主义认为刺激经济的有效手段是实行( )。
A.国际收支逆差政策
B.增加收入政策
C.赤字财政政策
D.收入指数化政策
参考答案:C
参考解析
【解析】本题考查凯恩斯主义治理通货紧缩的措施。凯恩斯主义的经济政策是刺激经济增长的扩张性财政货币政策,对付因通货紧缩带来的经济萧条、失业增加十分有效。
16 狭义的金融危机是指( )。
A.系统性金融危机
B.货币危机
C.外债危机
D.股市危机
参考答案:A
参考解析
【解析】本题考查金融危机的概念。狭义的金融危机是系统性金融危机。
17 如果商业银行在外汇交易中以美元兑换客户的欧元,而客户未履行将欧元划到银行指定账户的义务,这种可能性就是商业银行承担的( )。
A.狭义的信用风险
B.广义的信用风险
C.操作风险
D.市场风险
参考答案:B
参考解析
【解析】本题间接考查广义信用风险的概念。广义信用风险是指交易对方所有背信弃义、违反约定的风险。例如,不仅在金融机构经营的信贷业务中,而且在金融机构经营的担保、承兑、信用证、外汇交易中等,都广泛地存在着交易对方到期不履行自己承诺义务的情况。
18 信托是随着商品经济的发展而出现的一种财产管理制度,其本质是( )。
A.项目融资
B.吸收存款,融通资金
C.规避风险,发放贷款
D.受人之托,代人理财
参考答案:D
参考解析
品经济的发展而出现的一种财产管理制度,其本质是“受人之托,代人理财”。
19 ( )是指客户委托买人证券时,投资银行以自有或外部融入的资金为客户垫付部分资金以完成交易,以后由客户归还并支付相应的利息。
A.融券
B.融资
C.卖空
D.交割
参考答案:B
参考解析
【解析】本题考查融资的概念。
20 国有重点金融机构监事会与国有重点金融机构的关系是( )。
A.上级与下级的关系
B.监督与被监督的关系
C.指导与被指导的关系
D.领导与被领导的关系
参考答案:B
参考解析
【解析】本题考查国有重点金融机构监事会与国有重点金融机构的关系。国有重点金融机构监事会与国有重点金融机构是监督与被监督的关系。
21 在市场经济制度下,衡量货币是否均衡的主要标志是( )。
A.货币流通速度与物价指数
B.汇价变化率
C.货币流通速度变化率
D.物价变动率
参考答案:D
参考解析
【解析】在市场经济制度下,物价变动率是衡量货币是否均衡的主要标志。
22 如果市场价格已充分反映出所有过去历史的证券价格信息,则该市场属于( )。
A.强式有效市场
B.半强式有效市场
C.弱式有效市场
D.半弱式有效市场
参考答案:C
参考解析
【解析】本题考查弱式有效市场的概念。弱式有效市场假说认为在弱势有效的情况下,市场价格已充分反映出所有过去历史的证券价格信息,包括股票的成交价、成交量等。
免费预定:经济师报名考试小秘书短信提醒>> 零基础学员如何通关2014年经济师
15分钟搞懂2014经济师考试考啥 中级各专业历年真题及解析汇总 答疑精选汇总
初中级辅导讲义 章节习题下载 环球网校2013押题命中90%
环球网校友情提示:如果您在此过程中遇到任何疑问,请登录环球网校经济师频道&论坛,或加经济师考试QQ群:129666620,我们随时与广大考生朋友们一起交流!

热点专题:2014经济师备考冲刺大全|经济师1V1直播
23 下列首次公开发行股票的定价方式中,承销商有较大的定价和分配销售新股主动权的是( )。
A.簿记方式
B.竞价方式
C.混合方式
D.固定价格方式
参考答案:A
参考解析
【解析】簿记方式下,承销商有较大的定价和分配销售新股主动权。
24 以下不属于商业银行中间业务内容的是( )。
A.代客买卖资金产品
B.支付结算业务
C.收取服务费
D.再贴现
参考答案:D
参考解析
【解析】本题考查中间业务的内容。中间业务包括:收取服务费或代客买卖差价的理财业务、咨询顾问、基金和债券的代理买卖、代客买卖资金产品、代理收费、托管、支付结算等业务。
25 在我国,最具有代表性的商业银行中间业务创新是( )。
A.信托存款
B.质押贷款
C.回购协议
D.信用卡业务
参考答案:D
参考解析
【解析】本题考查我国商业银行中间业务创新。自改革开放以来,我国金融机构的业务创新与工具的恢复和创新是并行的,从中间业务看,最具代表性的是信用卡业务。
26 2005年7月21日,人民币汇率形成机制改革启动,开始实行( )。
A.双重官方汇率制度
B.官方汇率和调剂市场汇率并存的汇率制度
C.以市场供求为基础、单一的、有管理的浮动汇率制度
D.以市场供求为基础、参考~篮子货币进行调节、有管理的浮动汇率制度
参考答案:D
参考解析
【解析】本题考查我国的人民币汇率制度。2005年7月21日,人民币汇率形成机制改革启动,开始实行以市场供求为基础、参考一篮子货币进行调节、有管理的浮动汇率制度。
27 我国建立存款准备金的初衷是( )。
A.作为货币政策工具
B.降低商业银行经营风险
C.加快市场化改革进程
D.作为中央银行信贷收支的手段
参考答案:D
参考解析
【解析】本题考查我国建立存款准备金的初衷。我国建立存款准备金制度的初衷是作为平衡中央银行信贷收支的手段,央行通过提高存款准备金率来集中一部分信贷资金,再以贷款方式分配给各商业银行。
28 国际上通行的金融监管评级制度,即骆驼评级制度CAME1S,其中字母E代表的是( )。
A.流动性
B.收益水平
C.经营管理水平
D.市场敏感性
参考答案:B
参考解析
【解析】本题考查骆驼评级制度的内涵。CAME1:即英文骆驼,此处是Capita1(资本)、Asset(资产质量)、Management(管理)、Earning(收益)、1iquidity(流动性)的简称。S即Sensitivity,指市场敏感性。
29 中国人民银行负责国家的金融稳定,防范和化解( )。
A.银行风险
B.信用风险
C.非系统性风险
D.系统性风险
参考答案:D
参考解析
【解析】中国人民银行的职责之一就是:防范和化解系统性金融风险,维护国家金融稳定。本题要求考生正确理解和记忆中国人民银行的职责。
30 金融自由化与金融监管的关系是( )。
A.金融自由化就不应再有金融监管
B.金融自由化与金融监管完全没有矛盾
C.要加强金融监管,就不能有金融自由化
D.金融自由化并不否认金融监管
参考答案:D
参考解析
【解析】本题考查金融自由化与金融监管的关系。金融自由化并不否认金融监管,即使是赞同金融自由化的人,也主张政府的适当干预是必要的。
31 在特定时期,我国政府为解决银行业不良资产,由政府出资专门收购和集中处置银行业不良资产的机构是( )。
A.银监会
B.保监会
C.金融租赁公司
D.金融资产管理公司
参考答案:D
参考解析
【解析】本题考查金融资产管理公司的概念。
32 狭义的外汇管理主要表现为( )。
A.对外汇可得性和价格的限制
B.对外汇可得性和数量的限制
C.对外汇流动性和数量的限制
D.对外汇流动性和价格的限制
参考答案:A
参考解析
【解析】狭义的外汇管理主要表现为对外汇可得性和价格的限制。
33 在货币供给过程中,( )的作用最重要。
A.中央银行
B.存款机构
C.储户
D.信用社
参考答案:A
参考解析
【解析】本题考查货币供给过程。在货币供给过程中,中央银行的作用最重要。
34 在国际储备管理中,力求降低软币的比重,提高硬币的比重,是着眼于( )。
A.国际储备总量的适度
B.国际储备资产结构的优化
C.外汇储备资产结构的优化
D.外汇储备货币结构的优化
参考答案:D
参考解析
【解析】本题考查外汇储备货币结构的优化。为了追求安全性,需要将外汇储备的货币结构与未来外汇支出的货币结构相匹配,从而在未来的外汇支出中,将不同储备货币之间的兑换降低到最低程度;为了追求盈利性,需要尽量提高储备货币中硬币的比重,降低储备货币中软币的比重。
35 用来衡量外债总量是否适度的债务率指标等于( )。
A.当年未清偿外债余额÷当年国民生产总值X1000.4
B.当年未清偿外债余额÷当年货物服务出口总额×100%
C.当年外债还本付息总额÷当年货物服务出口总额×100%
D.当年外债还本付息总额÷当年国民生产总值×100%
参考答案:B
参考解析
【解析】本题考查债务率的公式。债务率=当年未清偿外债余额÷当年货物服务出口总额×100%。
36 总供给和总需求共同作用情况下的通货膨胀称为( )。
A.综合性通货膨胀
B.供求混合推进型通货膨胀
C.结构性通货膨胀
D.成本推进型通货膨胀
参考答案:B
参考解析
【解析】本题考查供求混合推进型通货膨胀的概念。总供给和总需求共同作用情况下的通货膨胀称为供求混合推进型通货膨胀。
37 物价总水平上涨的年平均率在2位数以上,且发展速度很快,这种通货膨胀类型是( )。
A.爬行式通货膨胀
B.温和式通货膨胀
C.奔腾式通货膨胀
D.恶性通货膨胀
参考答案:C
参考解析
【解析】本题考查奔腾式通货膨胀的含义。物价总水平上涨的年平均率在2位数以上,且发展速度很快,这种通货膨胀类型是奔腾式通货膨胀。
38 金融市场最基本的功能是( )。
A.资源配置职能
B.财富功能
C.交易功能
D.资金积聚功能
参考答案:D
参考解析
【解析】本题考查金融市场的功能。金融市场最基本的功能就是将众多分散的小额资金汇聚为能供社会再生产使用的大额资金的集合.也就是资金积聚功能。
39 需求拉上的通货膨胀可以通俗地表述为( )。
A.太多的货币追求太多的商品
B.太多的货币追求太少的商品
C.太少的货币追求太多的商品
D.太少的货币追求太少的商品
参考答案:B
参考解析
【解析】本题考查对需求拉上型通货膨胀的理解。需求拉上的通货膨胀可以通俗地表述为是“太多的货币追求太少的商品”。
40 政府发行公债后,其“挤出效应”使民间部门的投资( )。
A.规模扩大
B.规模减小
C.效益提高
D.效益降低
参考答案:B
参考解析
【解析】本题考查紧缩性财政政策中的发行公债措施。政府发行公债后,可以利用“挤出效应”减少民间部门的投资和消费,抑制社会总需求。
41 商业银行市场营销的中心是( )。
A.金融产品
B.价格
C.渠道
D.客户
参考答案:D
参考解析
【解析】本题考查商业银行市场营销的含义。商业银行市场营销的中心是客户。
42 ( )是指所有投资者申报价格和数量,主承销商对所有有效申购按价格从高到低进行累计,累计申购量达到新股发行量的价位就是有效价位。
A.固定价格方式
B.竞价方式
C.混合方式
D.簿记方式
参考答案:B
参考解析
【解析】本题考查竞价方式的定义。竞价方式也称拍卖方式,是指所有投资者申报价格和数量,主承销商对所有有效申购按价格从高到低进行累计,累计申购量达到新股发行量的价位就是有效价位。
43 银行特许权价值是指( )。
A.掌握审批权所特有的价值
B.经过特殊批准而获得的价值
C.由实施金融约束为银行创造的平均租金
D.由实施金融约束为银行创造的收入
参考答案:C
参考解析
【解析】本题考查银行特许权价值的概念。银行特许权价值是指由实施金融约束为银行创造的平均租金。
44 某债券面值100元,每年按5元付息,10年后到期还本,当年市场利率为4%,则其名义收益率是( )。
A.2%
B.4%
C.5%
D.6%
参考答案:C
参考解析
【解析】本题考查名义收益率的计算公式。名义收益率=票面收益÷票面金额=5÷100=5%。
免费预定:经济师报名考试小秘书短信提醒>> 零基础学员如何通关2014年经济师
15分钟搞懂2014经济师考试考啥 中级各专业历年真题及解析汇总 答疑精选汇总
初中级辅导讲义 章节习题下载 环球网校2013押题命中90%
环球网校友情提示:如果您在此过程中遇到任何疑问,请登录环球网校经济师频道&论坛,或加经济师考试QQ群:129666620,我们随时与广大考生朋友们一起交流!

最新资讯
- 2020年初中级经济师每日一练(10月23日)2020-10-23
- 2020年初中级经济师每日一练(10月22日)2020-10-22
- 2020年初中级经济师每日一练(10月20日)2020-10-20
- 2020年初中级经济师每日一练(10月19日)2020-10-19
- 2020年初中级经济师每日一练(10月16日)2020-10-16
- 2020年初中级经济师每日一练(10月9日)2020-10-09
- 2020年初中级经济师每日一练(10月8日)2020-10-08
- 2020年初中级经济师每日一练(10月7日)2020-10-07
- 2020年初中级经济师每日一练(9月29日)2020-09-29
- 2020年初中级经济师每日一练(9月27日)2020-09-27