2015年经济师考试《中级建筑》第一章精编讲义
热点专题:2015年经济师考试辅导招生简章
中级建筑精编讲义
第一章 资金的时间价值与投资方案选择
【本章考情分析】
| 年 份 | 单选题 | 多选题 | 案例题 | 合计(分) |
| 2009年 | 5题5分 | 2题4分 | 3题6分 | 10题15分 |
| 2010年 | 5题5分 | 2题4分 | 4题8分 | 11题17分 |
| 2011年 | 5题5分 | 2题4分 | 4题8分 | 11题17分 |
| 2012年 | 5题5分 | 1题2分 | 2题4分 | 8题11分 |
| 2013年 | 5题5分 | 2题4分 | 5题10分 | 11题19分 |
【本章教材结构】

第一节 资金的时间价值
知识点一、资金时间价值的含义
1、资金时间价值的含义
资金在不同的时间上具有不同的价值,由于时间因素形成的价值差额即为资金的时间价值。
2、 资金具有时间价值的原因
①通货膨胀、货币贬值
②承担风险
③货币增值
知识点二、资金时间价值的计算
(一)单利和复利
利息是资金时间价值的具体体现,有单利和复利两种。
1、单利
利息和时间成线性关系,只计取本金的利息,本金所产生的利息不再计算利息。本利和=本金+利息额 I=P?n?i
2、复利
复利指每期末不支付利息,而将该期利息转为下期的本金,即不但本金产生利息,而且利息也产生利息。
复利公式:I=P(1+i )n-P
复本利和(F):F=P(1+i )n (1―2)
1. 本金与利率均相同时,按复利计算的利息要比按单利计算的利息高,这是由于利息部分也产生利息的原因。
2. 单利没有完全地反映出资金运动的规律性,不符合资金时间价值的本质,因而通常采用复利计算。
3. 复利计算公式是研究经济效果,评价投资方案优劣的重要工具。
(二)资金时间价值的复利计算公式
1、现金流量图(重要的辅助计算工具)

l 一条向右的带箭头的线代表时间轴。
l 上面的点代表时间点,起点为0,依次为123…n。
l 向上的箭头表示现金流入,向下的箭头代表现金流出,流入流出具有相对性。
箭头的长短与资金量值成正比
只有将发生在各个点的资金量换算到同一时点,才能比较大小和相加减
2、资金时间价值计算的基本公式
【数字记忆】
l 三个值P(现值);F(将来值);A(年值)

l 两个因素 :利率(i);计息期(n)
l 六种换算(对应资金时间价值六公式)
现值换算为将来值 P→F
将来值换算为现值 F→P
年值换算为将来值 A→F
将来值换算为年值 F→A
年值换算为现值 A→P
现值换算为年值 P→A
(1)现值换算为将来值 P→F
公式:F=P?(1+i) n=P?(F/P,i,n) (1―3)
形象记忆: (存款)一次存款,到期本利合计多少
系数名称:一次支付复本利和因数(F/P,i,n)
(F/P,i,n)= (1+i)n
(2)将来值换算为现值 F→P
公式: (1―4)
形象记忆: (存款)已知到期本利合计数,求最初本金。
系数名称:一次支付现值因数(P/F,i,n)

【注意】(P/F,i,n)与(F/P,i,n)互为倒数
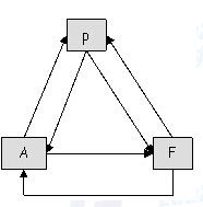
(3)年值换算为将来值A→F
(1―5)
形象记忆:(存款)等额零存整取
系数名称:等额支付将来值(终值)因数(F/A,i,n)
(4)将来值换算为年值 F→A
(1―6)
形象记忆:(存款、孩子教育基金)已知最后要取出一笔钱,每年应等额存入多少钱。孩子小时定期等额存入教育基金,想到孩子一定年龄(上大学时)一次性取出一定钱数,问每月或每年应存入多少钱。
系数名称:等额支付偿债基金因数(A/F,i,n)
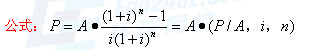
(5)年值换算为现值 A→P
(1―7)
形象记忆:(设施维护基金)某设施以后每年的维护费用一定,为保障以后每年都能得到这等额的维护费用,问最初一次性需存入多少钱作为维护基金。
系数名称:等额支付现值因数(P/A,i, n)
特别说明:此文系环球网校经济师频道原创内容,未经许可不得转载或抄袭,谢谢合作!
环球网校友情提示:如果您在此过程中遇到任何疑问,请登录环球网校经济师频道&论坛,或加经济师考试QQ群:129666620,我们随时与广大考生朋友们一起交流!

热点专题:2015年经济师考试辅导招生简章
(6)现值换算为年值 P→A
(1―8)
形象记忆:(按揭)住房按揭贷款,已知贷款额,求月供或年供
系数名称:资本回收因数(A/ P,i,n)
※ 特殊情况:永续年值(n→ ),此时:
P=A/I (1-9)
A=P*I (1-10)
【说明】
① 如果年值一直持续到永远,是相同时间间隔的无限期等额收付款项时,年值A与现值P之间的计算可以简化为上式(1―9)、(1―10)。
② 当投资的效果持续几十年以上时就可以认为n→∞,从而应用式(1―9)、(1―10)简化计算。
③ 当求港湾、道路以及寿命长的建筑物、构筑物等的投资年值或净收益的现值时,可用此简化算法,给问题求解带来极大方便。
【注意】
① 首先分清三个值,知道已知什么求什么
② 关于因数
形如:(F/P,i,n)
F/P:表示经济活动的内涵,斜杠右边的表示已知的值,斜杠左边的表示要求的值。
③ 六转化中:
P→F与F→P的因数互为倒数,
A→F与F→A的因数互为倒数。
A→P与P→A的因数互为倒数。
3.资金时间价值换算的基本公式的假定条件
① 实施方案的初期投资发生在方案的寿命期初
② 方案实施中发生的经常性收益和费用假定发生在期末
③本期的期末为下期的期初
④ 现值P是当前期间开始时发生的
⑤ 终值F是当前往后的第N期期末发生的
⑥ 当问题包括P和A时,系列的第一个A是在P发生一个期间后的期末发生的;当问题包括F和A时,系列的最后一个A与F同时发生
4.常见题型分析
l 在三个值之间进行直接的换算(初级-直接套公式)
l 条件不符合公式的假定条件,需进行一定的变换(中级-套用多个公式换算)
l 综合题,主要是案例分析题,结合运用各知识,需要对题目有一个非常透彻的理解(高级)
5.解题方法
第一步,审题。复杂题必须画出现金流量图帮助理解。
第二步,确定换算关系。审题后确定其经济活动的内涵是哪两个值之间的换算,写出关系式,如A=P(A/P,i,n)。
第三步,审查条件。题中的条件与公式换算的假定条件是否一致,如不一致,则需调整换算关系式
第四步,检查一致性。注意i与n的内涵是否一致。
第五步,计算。将已知数据代入关系式中计算
第二节 单一投资方案的评价
知识点一、数额法(指标:净现值、净年值、净将来值)
(一)基准收益率
就是企业或者部门所确定的投资项目应达到的收益率标准,一般为一个最低的可以接受的收益率。是投资决策的重要参数,基准收益率一般大于贷款利率。
(二)净现值、净年值、净将来值
净现值(NPV或PW)是投资方案在执行过程中和生产服务年限内各年的净现金流量(现金流入减现金流出的差额)按基准收益率或设定的收益率换算成现值的总和。其实质是(F→P)或(A→P)。
净年值(AW)又称为年值,是将投资方案换算成均匀的等额年值执行过程中和生产服务年限内各年的净现金流量按基准收益率或设定的收益率换算成均匀的等额年值。实质是(P→A)或(F→A)。
净将来值(FW)通常称为将来值,是将投资方案换算成均匀的等额年值执行过程中和生产服务年限内各年的净现金流量按基准收益率或设定的收益率换算成未来某一时点(通常为生产或服务年限末)的将来值的总和。实质是(P→F)或(A→F)。
(三)数额法的使用
实质:是采用净现值、净年值、净将来值作为评价指标,根据基准收益率或设定的收益率,将投资方案的资金换算到同时点进行计算,并按其值与0进行大小比较,来判断方案是可以接受,还是不可以接受的方法。
评价标准:
① PW≥0,说明方案正好达到预定的投资收益水平,或者尚有盈余,项目可以接受。
② PW<0,说明方案达不到预定的收益水平,方案不可接受。
【说明】
① 统一方案,净现值、净年值、净将来值这三个指标,正负相同,结论相同;哪个方便即可应用哪个,三个指标之间可以相互换算。
② 计算时必须事先给出基准收益率或设定的收益率来折现。
二、比率法
比率法采用相对数比率(内部收益率)作为评价指标,对单一方案进行评价。
(一)内部收益率的概念
就是使投资方案各年现金流量的净现值(净将来值、净年值)等于零时的利率。即:各年现金流入量的总现值(将来值、年值)与各年现金流出量的总现值(将来值、年值)相等的折现率(PW=0或FW=0、AW=0时的折现率)
【说明】
净现值、净将来值、净年值有一个为零,其他两个指标也为零,所以无论采用哪一种形式定义的内部收益率,其结果都是一样的。
特别说明:此文系环球网校经济师频道原创内容,未经许可不得转载或抄袭,谢谢合作!
环球网校友情提示:如果您在此过程中遇到任何疑问,请登录环球网校经济师频道&论坛,或加经济师考试QQ群:129666620,我们随时与广大考生朋友们一起交流!

热点专题:2015年经济师考试辅导招生简章
(二)内部收益率的求法
计算方法-插值法
则内部收益率的计算公式为
(三)内部收益率与方案评价
1、判定标准
① 内部收益率大于或等于基准收益率或设定的收益率,表明方案可接受。
② 内部收益率小于基准收益率或设定的收益率,则方案不可接受。
【说明】
① 只要内部收益率大于基准收益率,净现值就一定大于0,反之亦然。
② 对于单一的投资方案,数额法与比率法的结论是一致的。
三、期间法
期间法的评价指标是:投资回收期
投资回收期:是指以项目的净收益抵偿初始投资所需要的时间,用于衡量投资项目初始投资回收速度。
(一)投资回收期的求解
用不等式确定范围,或利用复利系数表查出大约的年份
用公式计算出约等于数字
(二) 投资回收期的运用
判定标准:
① 投资回收期越短越好
② 投资回收期小于方案的寿命期限可接受
③ 投资回收期比国家或企业规定的最大允许回收期短,可接受
第三节 投资方案的类型与评价指标
知识点一、投资方案的类型(三种)
(一)独立方案:指方案间互不干扰,在选择方案时可以任意组合,直到资源得到充分运用为止。
(二)互斥方案:若干方案中选择其中任何一个,其它方案就必然被排斥。
(三)混合方案:若干个互相独立的方案中,每个独立方案又存在若干个互斥方案。
知识点二、不同类型投资方案的选择
(一)独立方案选择
1、独立方案的评价指标
以效率作为指标,效率=效益/制约资源的数量,主要指内部收益率
制约资源,可以是资金,也可以是时间、空间、重量、面积等。
只能用相对指标(盈利能力指标),不能用绝对指标(如净现值)来作为独立方案的评价指标。
2、独立方案的选择方法(三种情况)
有资金成本约束的项目选择方法
①计算各方案的效率(投资利润率或是内部收益率)。
②按效率从大至小的顺序排列各方案。
③将用于投资的资金成本,按由小至大的顺序排列。
④将上述两图合并为独立方案选择图。
⑤效率线与资金成本线交点左边的方案即为最后选择方案。
3、内部收益率指标的适用范围
①各投资方案净收益类型不同的情况.
②有多个内部收益率的情况。
(二)互斥方案选择(分两种情况)
(1)寿命期相同
①净值法(净现值、净年值、净将来值法)
②差额法(差额的净现值、差额的净年值、差额的净将来值法)多投资是否多收益”。收益增加额现值/年值/将来值―投入增加额/年值/将来值;大于0 就好。
③追加投资收益率法。追加收益率与基准收益率的比较,大于时最好。
(2)寿命期不同
①最小公倍数法
2、净年值法
【本章总结】
1、第一节资金的时间价值(是本章计算题的基础,需熟练掌握):
(1)掌握资金时间价值产生的原因
(2)掌握单利、复利的计算,尤其六个资金时间价值的复利计算公式,一定要熟练掌握。(三个值,两种因素,六种转换)
(3)掌握资金时间价值公式的六个假设条件,注意分析现金流的大小、方向、尤其作用点。看能否直接应用六公式,不能直接应用,需要先换算再应用。
(4)要注意给定的转换因数能否直接应用,是否要求倒数。
(5)注意利率与计息期是否一致。
2、单一投资方案的评价:
(1)掌握净现值、净年值、净将来值的求法(实际为第一节内容)
(2)掌握插值法求内部收益率。
(3)熟练掌握单一投资方案的评价方法:数额法、比率法、期间法三种。
(4)熟练掌握单一投资方案的评价指标:净现值、净年值、净将来值(对应数额法);内部收益率(对应比率法);以及投资回收期(期间法,一般不独立使用)
(5)了解投资回收期的估算方法。
3、投资方案的类型与选择(实质是多方案的评价与选择)
(1)掌握投资方案的类型有三种:独立方案、互斥方案、混合方案
(2)掌握独立方案的评价指标:只能用相对数:比率(内部收益率)来评价。
(3)掌握寿命期相同的互斥方案的评价指标:①净现值、净年值、净将来值;②差额的净现值、差额的净将来值、差额的净年值(对应于差额法);③追加投资收益率
(4)掌握寿命期不同的互斥方案的评价方法与指标:①年值法(净年值);②最小公倍数法
(5)计算部分没有新内容,都是前两节的知识。
特别说明:此文系环球网校经济师频道原创内容,未经许可不得转载或抄袭,谢谢合作!
环球网校友情提示:如果您在此过程中遇到任何疑问,请登录环球网校经济师频道&论坛,或加经济师考试QQ群:129666620,我们随时与广大考生朋友们一起交流!

最新资讯
- 2020年初中级经济师《经济基础》章节考点汇总2019-11-15
- 2019年初中级经济师《工商管理》考点汇总2019-10-17
- 2019年初中级经济师《金融经济》考点汇总2019-10-15
- 2019年初中级经济师《建筑经济》考点汇总2019-10-15
- 2019年初中级经济师《财政税收专业》考点汇总(10月12日更新)2019-10-12
- 2019年初中级经济师《经济基础》考点汇总2019-10-10
- 2019年经济师考试这12个公式必备!2019-09-10
- 2019年全国经济师考试教材正式出版!2019-07-09
- 2019年经济师考试备考必背公式集合汇总2019-04-25
- 2019年经济师考试备考必背公式集合三2019-04-25