2015经济师考试《中级经济基础》预习:数据特征的测度
热点专题:2015年经济师考试辅导招生简章
二十四、数据特征的测度
1、 统计数据特征的测度,主要从三个方面进行:
①分布的集中趋势,反映各数据向其中心值靠扰或聚集的程度;
②分布的离散程度,反映各数据远离中心值的趋势;
③分布的偏态和峰度,反映数据分布的形状。
2、集中趋势的测度
集中趋势,是指一组数据向某一中心值靠拢的倾向,测度集中趋势也就是寻找数据一般水平的代表值或中心值。集中趋势的测度,主要包括:
①位置平均数,指按数据的大小顺序或出现频数的多和,确定的集中趋势的代表值。主要有:众数、中位数等;
②数值平均数,根据全部数据计算出来的平均数。主要有:算术平均数、几何平均数等。
位置平均数
1)众数 一组数据中出现频数最多的那个数值,用M0表示。
用众数反映集中趋势,不仅适用于品质数据,也适用于数值型数据。众数是一个位置代表值,不受极端值的影响,抗干扰性强。
2)中位数 把一组数据按从小到大的顺序进行排列,位置居中的数值叫做中位数,用
表示。
根据未分组数据计算中位数时:①对数据进行排序;②确定中位数的位置,其公式为:中位数位置=
;③确定中位数的具体数值。
当n为奇数时:
当n为偶数时:
中位数主要用于顺序数据,也适用于数值型数据,但不适用于分类数据。中位数也是一个位置代表值,不受极端值的影响,抗干扰性强。
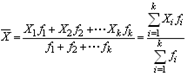
3)算术平均数
全部数据的算术平均,又称均值,用
表示。算术平均数是集中趋势最主要的测度值。它主要适用于数值型数据,但不适用于品质数据。
简单算术平均数:
加权算术平均数:主要用于处理经分组整理的数据。
计算时先计算组中值,之后再计算加权算术平均数。
计算和运用算术平均数须注意:1)算术平均数同时受到两个因素的影响:各组数值的大小;各组分布频数的多少;2)算术平均数易受极端值的影响。
4)几何平均数
n个观察值连乘积的n次方根就是几何平均数。简单的几何平均数的计算公式:
= 
熟悉几何平均数的主要用途:1)对比率、指数等进行平均;2)计算平均发展速度。
集中趋势的测度总结
| 类型 | 具体指标 | 与极端值的关系 | 与数据类型的关系 |
| 位置平均数 | 众数 | 不受极端值影响 | 既适用于品质数据,也适用于数值型数据 |
| 中位数 | 不受极端值影响 | 不适用于分类数据 | |
| 数值平均数 | 算术平均数 | 受极端值影响 | 适用于数值型数据,但不适用于品质数据 |
| 几何平均数 | 受极端值影响 | 适用于观察值之间存在连乘积关系的数值型数据 |
3、离散程度的测度
离散程度,是指数据之间的差异程度或频数分布的分散程度。离散程度的测度,主要包括极差、方差和标准差、离散系数等。
①极差,极差是最简单的变异指标,是总体或分布中最大的标志值与最小的标志值之差,又称全距,用R表示。

极差反映的是变量分布的变异范围或离散幅度,在总体中任何两个单位的标志值之差都不可能超过极差。极差仅仅取决于两个极端值的水平,不能反映其间的变量分布情况,同时易受极端值的影响。
②标准差和方差
标准差,总体所有单位标志值与其平均数离差之平方的平均数的平方根,用
表示。
1) (用于未整理的原始数据)
2) (用于分组的数据)
方差,就是标准差的平方,用
来表示。
1) (用于未整理的原始数据)
2) (用于分组的数据)
标准差与方差是应用最广泛的统计离散程度的测度方法。
③离散系数
极差、标准差和方差等都是反映数据分散程度的绝对值。为消除变量值水平高低和计量单位不同对离散程度测定值的影响,需要计算离散系数。
离散系数,也称标准差系数,它是一组数据的标准差与其相应的算术平均数之比,是测度数据离散程度的相对指标,用
表示,其计算公式为:
(掌握)
离散系数主要是用于比较不同组别数据的离散程度。离散系数大的说明数据的离散程度也就大,离散系数小的说明数据的离散程度也就小。
集中程度和离散程度的测度
类型 | 具体指标 | 与极端值的关系 | 与数据类型的关系 | |
| 集中程度 | 位置平均数 | 众数 | 不受极端值影响 | 既适用于品质数据,也适用于数值型数据 |
| 中位数 | 不适用于分类数据 | |||
| 数值平均数 | 算术平均数 | 受极端值影响 | 适用于数值型数据,但不适用于品质数据 | |
| 几何平均数 | 适用于观察值之间存在连乘积关系的数值型数据 | |||
| 离散程度 | 绝对值 | 极差 | 适用于数值型数据 | |
| 标准差 | ||||
| 方差 | ||||
| 相对值 | 离散系数 |
环球网校友情提示:如果您在此过程中遇到任何疑问,请登录环球网校经济师频道&论坛,或加经济师考试QQ群:129666620,我们随时与广大考生朋友们一起交流!【Ctrl键+D】手动收藏此页面

最新资讯
- 2020年初中级经济师《经济基础》章节考点汇总2019-11-15
- 2019年初中级经济师《工商管理》考点汇总2019-10-17
- 2019年初中级经济师《金融经济》考点汇总2019-10-15
- 2019年初中级经济师《建筑经济》考点汇总2019-10-15
- 2019年初中级经济师《财政税收专业》考点汇总(10月12日更新)2019-10-12
- 2019年初中级经济师《经济基础》考点汇总2019-10-10
- 2019年经济师考试这12个公式必备!2019-09-10
- 2019年全国经济师考试教材正式出版!2019-07-09
- 2019年经济师考试备考必背公式集合汇总2019-04-25
- 2019年经济师考试备考必背公式集合三2019-04-25