2014经济师考试《中级工商》章节辅导:第一节 人力资源规划
热点专题:2014年经济师考试报名|经济师考试如何选专业
课程推荐:2014经济师全程一对一|初中级保过|超值特惠
第七章 人力资源规划与薪酬管理
第一节 人力资源规划
一、人力资源规划的含义与内容
(一)人力资源规划的含义
指企业根据发展战略、目标、任务的要求,科学的预测与分析企业在不断的环境中人力资源的需求和供给状况,并据此制定必要的人力资源政策和措施,以确保企业的人力资源与企业的发展战略、目标和在数量、质量、结构等方面保持动态平衡的过程。包括四个方面的含义:
1、人力资源规划谋求企业人力资源与企业发展战略、目标和任务保持动态平衡,既要以企业发展战略为依据,又要为他们服务。
2、企业所处的环境是不断变化的,寻求人力资源需求与供给的动态平衡是人力资源规划的基点。
3、需要相应的人力资源政策和措施相配合,以确保人力资源规划的实施与实现
4、要保障企业组织和员工都得到长期的利益,更多的是保障企业组织的利益得到实现。
(二)人力资源规划的内容
1、分类:
按照规划时间的长短,可以分为:短期规划(1年或1年以内)、中期规划(1~5年)、长期规划(5年或5年以上)
按照规划的性质,可以分为:总体规划和具体计划
2、人力资源规划内容一览表
| 计划类别 | 目标 | 策略 | 步骤 | 预算(构成) |
| 总体规划 | 企业绩效、员工数量、结构及素质、员工个人发展等 | 扩大、收缩、稳定,加大培训力度,加强员工职业生涯规划工作 | 第一年度:… 第二年度:… | 总预算:XXX万元 |
| 员工招聘计划 | 招聘数量、类型、层次、优化人员结构等 | 招聘标准、招聘渠道、招聘方式的选择等 | 拟定招聘标准、广告吸引、面试、选拔、录用 | 招聘费用 选拔费用 |
| 员工使用计划 | 部门编制、员工结构优化、绩效改善、合理配置、职务轮换等 | 任职资格、职务轮换范围及时间等 | 略 | 按职位、绩效等预结的员工报酬 |
| 管理人员接续及升迁计划 | 后备人员数量保持,提高人力结构及绩效目标 | 竞争上岗,择优录用,提升比例,选拔标准 | 略 | 职位变动引起的员工报酬变动 |
| 员工培训计划 | 员工知识技能改善,培训数量及类别,提高绩效,改善工作作风和企业文化等 | 培训时间和方式的选择,培训效果的跟踪调查 | 略 | 培训投入,脱产培训损失 |
| 劳动关系计划 | 降低非期望离职率、改善劳动关系、减少投诉和争议等 | 参与管理,加强沟通,依法管理 | 略 | 法律诉讼费 |
| 退休解聘计划 | 降低人工成本,维护企业规范,改善人力资源结构等 | 退休政策,解聘程序 | 略 | 安置费,退休费 |
二、人力资源规划的制定程序
(一)收集信息,分析企业经营战略对人力资源的要求
1、企业内部信息:企业发展战略、经营计划、人力资源状况(员工构成数量、员工使用情况、教育培训情况、离职率和流动性等)
2、企业外部信息:宏观经济形势、行业经济形势、技术发展趋势、产品竞争状况、劳动力市场供求状况、人口和社会发展趋势及政府管制等
(二)进行人力资源需求与供给预测
1、内部供给预测:根据现有人力资源及其未来变动情况,确定未来所能提供的人员数量和质量
2、外部供给预测:确定未来可能的各类人员供给状况
(三)制定人力资源总体规划和各项具体计划
1、人力资源数量规划
2、人力资源素质规划
3、人力资源结构规划
(四)人力资源规划实施与效果评价
在实施过程中,要加强监督、检查和控制
三、人力资源需求与供给预测
(一)人力资源需求预测
指企业的战略目标和工作任务为出发点,综合考虑各种因素的影响,而对企业未来某个时期人力资源需求的数量、质量和结构进行估计的活动。
1、影响因素
①企业未来某个时期的生产经营任务及其对人力资源的需求
②预期的员工流动率及其由此引起的职位空缺规模
③企业生产技术水平的提高和组织管理方式的变革对人力资源需求的影响
④企业提高产品或服务质量或进入新市场的决策对人力资源需求的影响
⑤企业的财务资源对人力资源需求的约束
2、预测方法
①管理人员判断法
由企业的各级管理人员,根据自己工作经验和对企业未来业务量增减情况的直觉考虑,自下而上的确定未来所需人员的方法。
②德尔菲法
德尔菲法是由有经验的老师依赖自己的知识、经验和分析判断能力,对企业的人力资源需求进行直觉判断与预测。
具体步骤:
首先,选择20人左右熟悉人力资源问题的老师组成一个预测小组,并为他们提供相关的背景资料
其次,提出一系列有关人力资源预测的具体问题,以匿名问卷的形式请老师们以以书面形式回答
再次,进行第一轮预测,将各位老师的预测意见集中归纳,反馈给各位老师,请他们修改并提出修改意见。如此进行三、四次的重复
最后,汇总老师的意见,经过数据处理,得出最终结果
③转换比率分析法
根据历史数据,把企业未来的业务活动量转化为人力资源需求的预测方法。
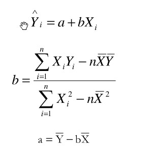
④一元回归分析法
根据数学中的回归原理对企业的人力资源需求进行预测。企业人力资源的需求水平通常总是和某个或某几个因素具有高度确定的关系,这样就用数理统计的方法定量的把这种关系表示出来,从而得到一个回归方程,并用此方程预测人力资源需求量。
一元线性回归方程:y=a+bx
其中,x是自变量,y是因变量,即要预测的变量,a,b为回归系数。

(二)人力资源供给预测
1、人员核查法
通过对现有企业内部人力资源数量、质量、结构和在各职位上的分布状况进行核查,确切掌握人力资源拥有量及其利用潜力,在此基础上评价当前不同种类员工的供应情况,确定晋升和岗位轮换的人选,确定员工特定的培训和发展项目的需求,帮助员工确定职业开发计划与职业设计。
2、管理人员接续计划法
这种方法主要是对某一职务可能的人员流入量和流出量进行估计。主要适用于对管理人员和工程技术人员的供给预测。其模型如图:
3、马尔可夫模型法
用来预测具有时间间隔的时间点上,各类人员分布状况的方法。该方法的思路是,找出企业过去在某两个职位或岗位之间的人事变动的规律,以此推测未来企业中这些职务或岗位的人员状况。
4、影响人力资源外部供给的因素
①本地区的人口总量与人力资源供给率
②本地区的人力资源的总体构成
③宏观经济形势和失业率预期
④本地区劳动力市场供给的供求状况
⑤行业劳动力市场供求状况
⑥职业市场状况
2014年初/中级保过套餐 注册送2014年经济师预习班 成绩查询
2014年经济师刘艳霞独家主讲 《中级经济基础》历年考题解析汇总
环球网校友情提示:如果您在此过程中遇到任何疑问,请登录环球网校经济师频道&论坛,或加经济师考试QQ群:301183612,我们随时与广大考生朋友们一起交流!

最新资讯
- 2020年初中级经济师《经济基础》章节考点汇总2019-11-15
- 2019年初中级经济师《工商管理》考点汇总2019-10-17
- 2019年初中级经济师《金融经济》考点汇总2019-10-15
- 2019年初中级经济师《建筑经济》考点汇总2019-10-15
- 2019年初中级经济师《财政税收专业》考点汇总(10月12日更新)2019-10-12
- 2019年初中级经济师《经济基础》考点汇总2019-10-10
- 2019年经济师考试这12个公式必备!2019-09-10
- 2019年全国经济师考试教材正式出版!2019-07-09
- 2019年经济师考试备考必背公式集合汇总2019-04-25
- 2019年经济师考试备考必背公式集合三2019-04-25