2014经济师《中级经济基础》讲义:第1章
热点专题:2014经济师报名入口|新教材解析|经济师如何选专业|[每月免费课堂]
套餐推荐:"私人订制"学习方案|全程一对一|零基础VIP保过|初中级保过|超值特惠
2014经济师《中级经济基础》讲义汇总,供备考2014中级经济师考试的考生学习。
第一章 市场需求、供给与均衡价格
第一部分 经济学基础
一、市场需求
(一)需求的含义(掌握)
需求是在一定时间内和一定价格条件下,消费者对某种商品或服务愿意而且能够购买的数量。需求的构成要素有两个:一是购买欲望;二是支付能力。
市场需求是消费者需求的总和。
【例题?单选题】(2011年)在构成商品需求的基本要素中,除消费者的购买欲望外,还应包括( )。
A.消费者的潜在收入
B.消费者的支付能力
C.产品的市场价格
D.产品的生产成本
『正确答案』B
『答案解析』需求的构成要素有两个:(1)购买欲望;(2)支付能力。
(二)决定需求的基本因素(掌握)
| 影响需求变动的因素 | 对需求的影响 |
| (1)消费者的偏好 | 支配着消费者在使用价值相同或接近的替代品之间的消费选择。 |
| (2)消费者的个人收入 | 消费者收入一般指一个社会的人均收入 一般情况下,消费者收入变动将引起需求同方向变动 |
| (3)产品价格 | 一般而言,产品自身价格和需求的变动呈反方向变化 |
| (4)替代品的价格 | 所谓替代品是指使用价值相近,可以互相替代来满足人们同一需要的商品。 商品的需求与替代品的价格呈同方向变化。 |
| (5)互补品的价格 | 所谓互补品是指使用价值上必须互相补充才能满足人们某种需要的商品。 商品的需求与互补品的价格呈反方向变化。 |
| (6)预期 | 如房价 |
| (7)其他因素 |
影响需求最关键的因素是该商品本身的价格。
【例题1?多选题】(2010年)影响需求变动的主要因素有( )。
A.消费者偏好
B.互补品价格
C.消费者的收入
D.预期 E.生产成本
『正确答案』ABCD
『答案解析』影响需求变动的主要因素有消费者偏好、消费者的个人收入、产品价格、替代品价格、互补品价格、预期和其他因素等。
【例题2?单选题】影响需求的因素很多,其中最关键的因素是( )。
A.商品品种
B.国家政策
C.商品本身的价格
D.消费者偏好
『正确答案』C
『答案解析』影响需求最关键的因素是该商品本身的价格。
【例题3?单选题】消费者收入一般是指社会的人均收入,一般来说,消费者收入变动与需求的变动( )。
A.呈同方向变化
B.呈反方向变化
C.不相关
D.完全等价
『正确答案』A
『答案解析』消费者收入变动与需求的变动呈同方向变化。
【例题4?单选题】(2009年)某月内,甲商品的替代品和互补品的价格同时上升,引起的甲商品的需求变动量分别为50单位和80单位,则在这类商品价格变动的共同作用下,该月甲商品的需求量变动情况是( )。
A.增加30单位
B.减少30单位
C.增加130单位
D.减少130单位
『正确答案』B
『答案解析』某商品的需求量与其替代品价格变化同方向,与其互补品价格变化相反。替代品价格上升,导致本商品需求量上升50个单位,互补品价格上升导致本商品需求量下降80个单位,总共影响是甲商品需求量下降30个单位。
(三)需求函数、需求规律和需求曲线(掌握)
需求函数:表示一种商品的需求量与影响该需求量的各种因素之间的相互关系,在假定价格之外的其他各种因素不变情况下,需求函数表明某商品的消费者随价格变化愿意购买的数量。
Qd=Qd(p)
需求规律:一般情况下,需求与价格的变动成反方向变化。特殊商品不符合需求规律,如钻石、某些生活必需品。
需求曲线:把需求和价格之间的关系用曲线表示出来,这条曲线被称为需求曲线。需求曲线从左上方向右下方倾斜。
需求的变动分为两种类型:
(1)需求数量的变动
①本身价格变动引起的
②需求曲线上点的变动
(2)需求的变动
①商品本身价格以外的其他因素变化引起的需求的变化
②整条需求曲线的位移
【例题?单选题】需求的变动是多种因素共同作用的结果,下列属于需求数量的变动的是( )。
A.其他因素不变,商品本身价格变动引起的需求数量变动
B.其他因素不变,替代品价格变动引起的某商品需求数量变动
C.其他因素不变,互补品价格变动引起的某商品需求数量变动
D.其他因素不变,消费者收入变动引起的某商品需求数量变动
『正确答案』A
『答案解析』其他三项都属于需求的变动,而不是需求数量的变动。
2014年经济师刘艳霞独家主讲 环球网校2013押题命中90%
环球网校友情提示:如果您在此过程中遇到任何疑问,请登录环球网校经济师频道&论坛,或加经济师考试QQ群:129666620,我们随时与广大考生朋友们一起交流!

热点专题:2014经济师报名入口|新教材解析|经济师如何选专业|[每月免费课堂]
套餐推荐:"私人订制"学习方案|全程一对一|零基础VIP保过|初中级保过|超值特惠
二、市场供给
(一)供给的含义和影响供给的因素(掌握)
供给是指某一时间内和一定的价格水平下,生产者愿意并可能为市场提供商品或服务的数量。供给是供给欲望和供给能力的统一。
市场供给是所有生产者供给的总和。
供给函数:表示各种影响因素与供给量之间的函数关系。在假定价格之外的其他各种因素不变情况下,只考虑某种商品的供给量和该商品价格之间的关系的供给函数为:
Qs=Qs(p)
| 影响供给的因素 | 对供给的影响 |
| (1)产品价格 | 在其他条件不变的情况下,某种产品自身的价格和其供给的变动呈正方向变化。 |
| (2)生产成本 | 在其他条件不变的情况下,某种产品自身的成本和其供给的变动呈反方向变化。 |
| (3)生产技术 | 生产技术的进步或革新,将增加产品供给。 |
| (4)预期 | 生产者对未来的预期直接影响到生产计划的制定,从而影响到商品的供给数量。 |
| (5)相关产品的价格 | |
| (6)其它因素 |
【例题1?单选题】在其他条件不变的情况下,成本降低,供给将( )。
A.增加
B.减少
C.不变
D.不受任何影响
『正确答案』A
『答案解析』其他条件不变的情况下,成本降低,供给将增加。
【例题2?多选题】影响供给的因素主要包括( )。
A.产品价格
B.生产成本
C.生产技术
D.生产要素价格 E.消费者的个人收入
『正确答案』ABCD
『答案解析』影响供给的因素主要包括产品价格、生产成本、生产技术、预期、相关产品的价格和其他因素等。
(二)供给规律和供给曲线(掌握)
供给规律:一般情况下,供给量与价格之间呈正向关系变化。
供给曲线:用横轴表示供给量,纵轴表示价格,将供给量和价格之间的关系用曲线表示出来。供给曲线从左下方向右上方倾斜。
供给的变动是多种因素共同作用的结果:
(1)供给数量的变动
①商品本身价格变动引起的
②供给曲线上点的变动
(2)供给的变动
①商品本身价格以外的其他因素变化引起的
②整条供给曲线的位移
【例题1?单选题】在其他条件不变的情况下,产品价格降低,供给将( )。
A.增加
B.减少
C.不变
D.不受任何影响
『正确答案』B
『答案解析』在其他条件不变的情况下,产品价格降低,供给将减少。
【例题2?单选题】供给曲线是一条( )的曲线。
A.从左上方向右下方倾斜
B.从左下方向右上方倾斜
C.水平
D.垂直
『正确答案』B
『答案解析』供给曲线是一条从左下方向右上方倾斜的曲线。
2014年经济师刘艳霞独家主讲 环球网校2013押题命中90%
环球网校友情提示:如果您在此过程中遇到任何疑问,请登录环球网校经济师频道&论坛,或加经济师考试QQ群:129666620,我们随时与广大考生朋友们一起交流!

热点专题:2014经济师报名入口|新教材解析|经济师如何选专业|[每月免费课堂]
套餐推荐:"私人订制"学习方案|全程一对一|零基础VIP保过|初中级保过|超值特惠
三、均衡价格
(一)均衡价格的形成和变动
考试内容:掌握均衡数量和均衡价格的含义
均衡价格是供给量和需求量相等时的价格,与均衡价格相对应的相等的供求数量称为均衡数量。

【例题?单选题】(2011年)市场供给力量与需求力量相互抵消时所达到的价格水平称为( )。
A.平均价格
B.理论价格
C.平准价格
D.均衡价格
『正确答案』D
『答案解析』本题考查均衡价格的形成。均衡价格就是市场供给力量和需求力量相互抵消时所达到的价格水平。
(二)均衡价格模型的应用――最高限价与保护价格措施(掌握)
| 最高限价 | 保护价格 | |
| 定义 | 由政府为某种产品规定一个具体的价格,市场交易只能在这一价格之下进行 | 也叫支持价格或最低限价,就是由政府规定一个具体的价格,市场交易只能在这一价格之上进行。 |
| 目标 | 保护消费者利益或降低某些生产者的生产成本 | 保护生产者利益或支持某一产业的发展。 |
| 措施类型 | 属于政府对价格的干预措施 | |
| 实施的情形 | 当某些商品价格上涨幅度过大,有可能影响居民的基本生活需要或影响生产的正常进行时 | 当某些产品价格下降幅度过大,生产者收入过少,有可能影响生产的正常进行时 |
| 与均衡价格的关系 | 最高限价低于均衡价格 | 保护价格高于均衡价格 |
| 产生的影响 | 实施最高限价,往往出现供不应求现象,造成短缺 | 往往出现供过于求现象 |
| 保障措施 | 必须有强有力的行政措施或分配措施 | 需建立政府的收购和储备系统 |
| 注意事项 | 只宜短期、在局部地区实行,不应长期化 | 只宜在粮食等少数农产品上实行 |
【例题1?单选题】(2007、2008年)在我国,实行最高限价属于政府对市场价格的( )。
A.平衡措施
B.引导措施
C.紧急措施
D.干预措施
『正确答案』D
『答案解析』实行最高限价属于政府对市场价格的干预措施。
【例题2?多选题】下列关于最高限价的说法,正确的是( )。
A.其目标是保护消费者利益或降低某些生产者的生产成本
B.属于政府对价格的干预措施
C.最高限价低于均衡价格
D.最高限价高于均衡价格
E.其目标是保护生产者利益或支持某一产业的发展
『正确答案』ABC
『答案解析』本题考查最高限价,最高限价低于均衡价格;最高限价的目标是保护消费者利益或降低某些生产者的生产成本,所以DE错误。
【例题3?多选题】(2010年)在一般情况下,政府对农产品实施保护价格可能产生的结果有( )。
A.供给短缺
B.生产者变相涨价
C.市场过剩
D.生产者收入下降
E.生产增长
『正确答案』CE
『答案解析』由于保护价格高于均衡价格,会刺激生产、限制消费,导致市场过剩。如果没有政府的收购,就会出现变相降价或黑市交易等问题,并可能导致市场价格的下降。
【例题4?多选题】(2008年)下列关于保护价格的说法中,正确的有( )。
A.总是高于均衡价格
B.总是低于均衡价格
C.导致市场过剩,需要政府收购
D.导致市场短缺,需要实行配给制
E.可能会出现变相涨价现象
『正确答案』AC
『答案解析』保护价格也称为支持价格或最低限价,目的是保护生产者利益或支持某一产业的发展。属于政府对价格的干预措施。保护价格高于均衡价格,实施保护价格,往往出现供过于求现象,为此需建立政府的收购和储备系统。
2014年经济师刘艳霞独家主讲 环球网校2013押题命中90%
环球网校友情提示:如果您在此过程中遇到任何疑问,请登录环球网校经济师频道&论坛,或加经济师考试QQ群:129666620,我们随时与广大考生朋友们一起交流!

热点专题:2014经济师报名入口|新教材解析|经济师如何选专业|[每月免费课堂]
套餐推荐:"私人订制"学习方案|全程一对一|零基础VIP保过|初中级保过|超值特惠
四、弹性
(一)需求价格弹性
1.需求价格弹性的定义(掌握)
需求价格弹性是指需求量对价格变动的反应程度,或者说是价格变动对需求量变动的影响程度,即价格变动在先,价格变动引起需求量变动。是需求量变动百分比与价格变动百分比的比率。即:
需求价格弹性系数=需求量的相对变动/价格的相对变动

Ed为负数,为简便起见,取其绝对值。
2.需求价格弹性系数的计算公式
(1)点弹性
点弹性是需求曲线某一点上的弹性

(2)弧弹性
弧弹性是需求曲线两点之间的弧的弹性,它适用于价格和需求量变动较大的场合。点弹性适用于价格和需求量变动较小的场合。
弧弹性系数的计算公式为:

3.需求价格弹性的基本类型
(1)需求富有弹性或高弹性。Ed>1
(2)需求单一弹性。Ed=1
(3)需求缺乏弹性或低弹性。Ed<1
4.影响需求价格弹性的因素
| 影响因素 | 对需求价格弹性的影响 |
| (1)替代品的数量和相近程度 | 一种商品若有许多相近的替代品,则其需求价格弹性大。 |
| (2)商品的重要性 | 基本必需品,弹性小;非必需品,弹性大。 |
| (3)商品用途的多少 | 用途越多,需求价格弹性越大。 |
| (4)时间与需求价格弹性的大小至关重要 | 时间越短,商品的需求弹性越缺乏;时间越长,商品的需求弹性就越大。 |
5.需求价格弹性和总销售收入的关系
| 类型 | 与总销售收入的关系 |
| (1)需求富有弹性的商品 | 销售收入与价格变动呈反方向变动趋势。对于需求富有弹性的商品,才适于采用薄利多销的政策。 |
| (2)需求单一弹性的商品 | 价格变动不会引起销售收入的变动。 |
| (3)需求缺乏弹性的商品 | 销售收入与价格变动成同方向变动趋势。例子:谷贱伤农 |
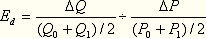
【例题1?单选题】(2011年)某商品的价格为2元/件时,销售量为300件;当价格提高到4元/件时,销售量为100件。按照弧弹性公式计算,该商品的需求价格弹性是( )。
A.0.40
B.0.67
C.1.50
D.2.00
『正确答案』C
『答案解析』本题考查弧弹性的计算公式。弧弹性=200/[(300+100)/2]÷2/[(2+4)/2]=1.5。
【例题2?单选题】当需求量变动百分数大于价格变动百分数,需求弹性系数大于1时,需求价格弹性的类型为( )。
A.需求富有弹性
B.需求缺乏弹性
C.需求单一弹性
D.需求完全有弹性
『正确答案』A
『答案解析』需求弹性系数大于1时,需求富有弹性。
【例题3?单选题】以下关于需求价格弹性的影响因素说法中,错误的是( )。
A.时间越短,商品的需求弹性越缺乏
B.生活基本必需品的需求缺乏弹性
C.一种商品的用途越多,它的需求弹性越大
D.一种商品若有极少的替代品,则该商品的需求价格弹性大
『正确答案』D
『答案解析』一种商品的替代品越多,则该商品的需求价格弹性大,所以D项错误。
【例题4?单选题】(2007年)在其他条件不变的情况下,如果某产品需求价格弹性系数小于1,则当该产品价格提高时,( )。
A.会使生产者的销售收入减少
B.不会影响生产者的销售收入
C.会使生产者的销售收入增加
D.生产者的销售收入可能增加也可能减少
『正确答案』C
『答案解析』如果需求价格弹性系数小于1,价格上升会使销售收入增加。
【例题5?单选题】( )商品适合采用薄利多销的方式增加销售收入。
A.需求缺乏弹性
B.需求富有弹性
C.需求单位弹性
D.需求无弹性
『正确答案』B
『答案解析』需求富有弹性的商品适合采用薄利多销的方式增加销售收入。
(二)需求交叉弹性
1.需求交叉弹性的定义和公式(掌握)
定义:一种商品价格的相对变化与由此引起的另一种商品需求量相对变动之间的比率。
Eij=商品i的需求量的相对变动/商品j的价格的相对变动

2.需求交叉弹性的类型(掌握)
| 类型 | 弹性值 | 原因 | 举例 |
| (1)i、j两种商品为替代品 | Eij>0 | 商品的需求量与替代品的价格呈同方向变化 | 牛肉价格上升,在羊肉价格不变的情况下,将导致羊肉需求增加。 |
| (2)i、j两种商品为互补品 | Eij<0 | 商品的需求量与互补品的价格呈反方向变化 | 汽车价格下降,对汽车需求量增加,从而对汽油需求量增加。 |
| (3)i、j两种商品是无关的 | Eij=0 |
【例题1?单选题】( )是指一种商品价格的相对变化与由此引起的另一种商品需求量相对变动之间的比率。
A.需求价格弹性
B.供给价格弹性
C.需求交叉弹性
D.供给交叉弹性
『正确答案』C
『答案解析』本题考查需求交叉弹性的概念。
【例题2?单选题】当Eij >0,交叉弹性系数为正数时,表明两种商品的关系为( )。
A.两者为互补品
B.两者为替代品
C.两者无关
D.以上三种情况均有可能
『正确答案』B
『答案解析』交叉弹性系数为正数时,表明两种商品为替代品。
【例题3?单选题】(2008年)如果甲产品与乙产品的需求交叉弹性系数是负数,则说明甲产品和乙产品( )。
A.无关
B.是替代品
C.是互补品
D.是缺乏价格弹性的
『正确答案』C
『答案解析』需求交叉弹性系数是负数,两种产品为互补品。
(三)需求收入弹性
1.需求收入弹性的定义和公式
定义:需求量的变动和引起这一变动的消费者收入变动之比,它用以衡量需求变动对消费者收入变动的反应程度。

2.需求收入弹性的类型
Ey=1,表明收入变动和需求数量变动是成相同比例的
Ey>1,表明收入弹性高――高档品
Ey<1,表明收入弹性低――必需品
Ey=0
Ey<0――低档品
【例题?单选题】(2010年)假设消费者的收入增加了20%,此时消费者对某商品的需求增加了10%,则该商品属于( )。
A.高档品
B.奢侈品
C.必需品
D.低档品
『正确答案』C
『答案解析』Ey=需求量的相对变动/消费者收入的相对变动=10%/20%=0.5,Ey<1,则表示该商品是必需品。
2014年经济师刘艳霞独家主讲 环球网校2013押题命中90%
环球网校友情提示:如果您在此过程中遇到任何疑问,请登录环球网校经济师频道&论坛,或加经济师考试QQ群:129666620,我们随时与广大考生朋友们一起交流!

热点专题:2014经济师报名入口|新教材解析|经济师如何选专业|[每月免费课堂]
套餐推荐:"私人订制"学习方案|全程一对一|零基础VIP保过|初中级保过|超值特惠
(四)供给价格弹性
1.供给价格弹性的定义和公式
定义:价格的相对变化与所引起的供给量的相对变化之间的比率。
供给价格弹性系数=供给量的相对变动/价格的相对变动

由于供给规律的作用,价格和供给量是呈同方向变化的,因此Es为正值。
2.供给价格弹性的类型
(1)Es>1,供给弹性充足;(2)Es<1,供给弹性不充足;(3)Es=1,供给单一弹性;(4)Es=0,供给完全无弹性;(5)Es=∞,供给完全有弹性。第(4)、(5)两种情况很少见。
3.影响供给价格弹性的因素(掌握)
| 影响供给价格弹性的因素 | 对供给价格弹性的影响 |
| (1)决定供给弹性的首要因素:时间 | 短期内,供给弹性一般较小;相反,在较长的时间内,供给弹性一般比较大。 |
| (2)生产周期和自然条件 | 如农产品 |
| (3)投入品替代性大小和相似程度 | 投入品替代性大,相似程度高,则供给弹性大。 |
【例题1?单选题】( )是决定供给弹性的首要因素。
A.资金有机构成
B.生产周期和自然条件
C.投入品替代性大小
D.时间
『正确答案』D
『答案解析』时间是决定供给弹性的首要因素。
【例题2?单选题】由于供给规律的作用,价格的变化和供给的变化总是( )的,所以,Es的符号始终为( )。
A.同方向的,正值
B.反方向的,负值
C.同方向的,负值
D.反方向的,正值
『正确答案』A
『答案解析』本题考查供给规律。价格和供给同方向变化,供给价格弹性为正值。
【例题3?多选题】影响供给价格弹性的因素有( )。
A.替代品数量和相近程度
B.商品重要性
C.商品用途多寡
D.时间 E.生产周期和自然条件
『正确答案』DE
『答案解析』影响供给价格弹性的因素有时间、生产周期和自然条件、投入品替代性大小和相似程度。
2014年经济师刘艳霞独家主讲 环球网校2013押题命中90%
环球网校友情提示:如果您在此过程中遇到任何疑问,请登录环球网校经济师频道&论坛,或加经济师考试QQ群:129666620,我们随时与广大考生朋友们一起交流!

最新资讯
- 2020年初中级经济师《经济基础》章节考点汇总2019-11-15
- 2019年初中级经济师《工商管理》考点汇总2019-10-17
- 2019年初中级经济师《金融经济》考点汇总2019-10-15
- 2019年初中级经济师《建筑经济》考点汇总2019-10-15
- 2019年初中级经济师《财政税收专业》考点汇总(10月12日更新)2019-10-12
- 2019年初中级经济师《经济基础》考点汇总2019-10-10
- 2019年经济师考试这12个公式必备!2019-09-10
- 2019年全国经济师考试教材正式出版!2019-07-09
- 2019年经济师考试备考必背公式集合汇总2019-04-25
- 2019年经济师考试备考必背公式集合三2019-04-25