环球网校2014年经济师中级房地产押题命中率统计
热点推荐:2014经济师晒分有礼|有奖征文|成绩优惠券|辅导选课指南
一、押中率统计
单选题 | 多选题 | 案例分析题 | 总分 | |
精讲班押中考点 | 56分 | 112分 | 4分 | 134分 |
冲刺班押中考点 | 51分 | 109分 | 2分 | 126分 |
押题班押中考点 | 43分 | 分 | 2分 | 121分 |
二、押中试题展示
【2014年真题?单选题】对因政府有关部门的行为造成的闲置土地,处置方式是( )。
A. 自动延长动工开发期限2年
B.办理有关手续后再开发建设
C.为土地使用者置换其他等价土地
D. 确定新的土地使用者且不给予原土地使用者补偿
【答案】C
【解析】考察因政府或政府有关部门的行为造成闲置土地的处置方式。因政府或政府有关部门的行为造成闲置土地的处置方式:延长动工开发期限,单最长不得超过一年;调整土地用途、规划条件;由政府安排临时使用;协议有偿收回国有建设用地使用权;置换土地;其他处置方式。本题中,C说法正确。
【真题还原:预测试题15:单选题】下列因政府或政府有关部门的行为造成的闲置土地处置方式中,正确的是( )。
A.延长动工开发期限2年
B.双倍追加闲置期间的土地出让金
C.调整土地用途、规划条件
D.协议无偿收回国有建设用地使用权
【答案】C
【直接考点】因政府或政府有关部门的行为造成的闲置土地处置方式:
(1)延长动工开发期限。延长动工开发期限最长不得超过一年。
(2)调整土地用途、规划条件。
(3)由政府安排临时使用。从安排临时使用之日起,临时使用期限最长不得超过两年。
(4)协议有偿收回国有建设用地使用权。
(5)置换土地。
(6)市、县国土资源主管部门还可以根据实际情况规定其他处置方式。
【点评】真题与模拟题的基本考点一模一样。
【2014年真题?多选题】下列个人住房抵押贷款做法中,会降低月偿还额的有( )。
A. 提高首付款比例
B.争取贷款利率优惠
C.增加贷款额度
D.延长贷款期限
E.在贷款金额不变的情况下增加住房公积金贷款
【答案】ABDE
【解析】本题为开放性试题,考察个人住房贷款的相关术语及计算。提高首付款比例、争取贷款利率优惠、延长贷款期限、在贷款金额不变的情况下增加住房公积金贷款等方式,都可以降低月偿还额。答案为ABDE。
【真题还原:预测试题80:多选题】下列住房信贷政策措施中,可减轻住房购买人当前负担的有( )。
A.提高首付款比例
B.降低贷款利率
C.扩大利率上浮幅度
D.增加贷款额度
E.延长贷款期限
【答案】BDE
【直接考点】分析判断题。AC加重住房购买人当前负担。
【点评】该真题与预测题虽然在表达上有所不同,但其考核的基本知识点一致。
【2014年真题?案例分析题(五)】
赵某购买一套价格为100万元的住房,法定最低首付款比例为30%,住房公积金贷款最高额度为50万元,住房公积金贷款年利率为4.5%,商业银行贷款年利率为6.5%,最长贷款期限为30年。
97.赵某的购房款可以( )。
A. 全部为自有资金
B.全部为住房公积金贷款
C.全部为商业性贷款
D. 为自有资金加组合贷款
【答案】AD
【解析】赵某买房的购房款可以全部为自有资金,也可为自有资金加组合贷款。住房公积金贷款最高额度为50万元,满足不了赵某的需要;贷款金额一般为所购住房总价减去收付款后的余额,因此不可能全部为商业贷款。
98.若赵某的自有资金仅够支付最低首付款,则赵某应申请住房公积金贷款( )万元。
A.30
B.50
C.70
D.100
【答案】B
【解析】赵某的首付为100*30%=30万元,尚差70万元,超过公积金贷款上限,因此赵某应申请住房公积金贷款50万元。
99.若赵某可用足其住房公积金贷款额度,则赵某的商业性贷款最多为( )万元。
A.20
B.30
C.50
D.100
【答案】A
【解析】赵某的首付为100*30%=30万元,赵某用足其住房公积金贷款额度,贷款金额为50万元,还可以商业贷款20万元。
100.若赵某的购房款中最低首付款以外的房款需贷款,并按月等额本息还款,则赵某的月还款额最少为( )元。
A.1264.14
B.2533.43
C.3000.00
D.3797.57
【答案】D
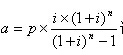
【解析】若赵某的购房款中最低首付款以外的房款需贷款,赵某的月还款额最少的情况是住房公积金贷款P1=50万元,商业贷款P2=20万元,贷款期限都为30年,即30*12=360个月,住房公积金贷款月利率i1=4.5%/12,商业银行贷款年利率i2=6.5%/12。
此时,则住房公积金月还款金额A1= P1*i1*(1+i1)n/[(1+i1)n-1]=
50*4.5%/12*(1+4.5%/12)360/[(1+4.5%/12)360-1]= 2533.43元;
商业贷款月还款额A2= P2*i2*(1+i2)n/[(1+i2)n-1]=
20*6.5%/12*(1+6.5%/12)360/[(1+6.5%/12)360-1]= 1264.14
月还款额A= A1+A2=3797.57元。
【真题回归:预测试题:案例分析题(五)】
李某购买一套价格为100万元的住房,法定最低首付款比例为30%,住房公积金贷款最高额度为50万元,住房公积金贷款年利率为4.5%,商业银行贷款年利率为6.5%,贷款期限为10年。
97.关于李某贷款金额的说法,正确的为( )。
A.最多可贷款70万元
B.至少应贷款30万元
C.住房公积金贷款最多50万元
D.商业性贷款最少20万元
【答案】AC
【解析】法定最低首付款比例为30%,房价100万元,最高贷款为100×70%=70万元,故A正确。住房公积金最高贷款额度为50万元,故C正确。商业性贷款最少20万元不准确,至少应贷款30万不准确,故BD错误。
98.关于李某选择最优贷款方案的说法,正确的为( )。
A.先用足公积金贷款
B.先选择商业性贷款
C.公积金贷款和商业性贷款各半
D.公积金贷款占70%,商业性贷款占30%
【答案】A
【解析】BCD均没有最大限度利用公积金贷款,不是最优方案。
99.若李某首付款40万元,余款采用贷款,并按月等额本息还款,则李某的月还款额最少为( )元。
A.1135.48
B.4046.44
C.5181.92
D.6317.40
【答案】D
【解析】首付40万元,贷款额为60万元。其中公积金贷款50万元,商业贷款10万元。贷款期限120月,对应相应贷款月利率,分别代入月还款额公式
计算,求和得出6317.4元。
100.李某若想减少、月还款额,其可采取的办法为( )。
A.减少贷款额
B.延长贷款期限
C.减少首付款
D.降低贷款利率
【答案】AB
【解析】盐城贷款期限及减少贷款额可减少月还款额,故AB为李某可采取的方法。减少首付款会增加贷款,增加月还款额。降低贷款利率不是李某能做到的可以采取的办法。
【点评】这两个案例分析题出题思路几乎一模一样,考核的知识点也很一致。
特别说明:此文系环球网校经济师频道原创内容,未经许可不得转载或抄袭,谢谢合作!
环球网校友情提示:如果您在此过程中遇到任何疑问,请登录环球网校经济师频道&论坛,或加经济师考试QQ群:301183612,我们随时与广大考生朋友们一起交流!

最新资讯
- 2020年初中级经济师《经济基础》章节考点汇总2019-11-15
- 2019年初中级经济师《工商管理》考点汇总2019-10-17
- 2019年初中级经济师《金融经济》考点汇总2019-10-15
- 2019年初中级经济师《建筑经济》考点汇总2019-10-15
- 2019年初中级经济师《财政税收专业》考点汇总(10月12日更新)2019-10-12
- 2019年初中级经济师《经济基础》考点汇总2019-10-10
- 2019年经济师考试这12个公式必备!2019-09-10
- 2019年全国经济师考试教材正式出版!2019-07-09
- 2019年经济师考试备考必背公式集合汇总2019-04-25
- 2019年经济师考试备考必背公式集合三2019-04-25