2007年一级建造师《建设工程项目管理》考试真题
一、单项选择题(一共70题,每题1分。每题的备选项中,只有1个最符合题意)
1.建设工程项目管理的核心任务是项目的( )。
A.目标规划
B.目标比选
C.目标论证
D.目标控制
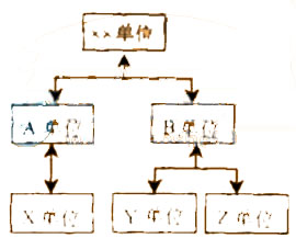
2.如图所示的组织工具是( )。

A.项目结构图
B.组织结构图
C.合同结构图
D.线性组织结构图
3.工作流程组织反映一个组织系统中各项工作之间的( )关系。
A.静态组织
B.动态组织
C.工艺
D.从属
4.线性组织结构的特点是( )。
A.每一个工作部门只有一个直接的下级部门
B.每一个工作部门只有一个直接的上级部门
C.谁的级别高,就听谁的指令
D.可以越级指挥或请示
5.施工总承包模式与施工,总承包管理模式的相同之处在于( )。
A.项目建设周期
B.总包单位对分包单位的管理责任
C.业主对分包单位的付款方式
D.业主对分包单位的选择和认可权限
6.建设工程项目管理规划是指导项目管理工作的( )文件。
A.操作性
B.实施性
C.纲领性
D.作业性
7.建设工程项目目标动态控制的核心是( )。
A.合理确定计划值
B.认真收集实际值
C.适当调整工程项目目标
D.比较分析,采取纠偏措施
8.根据《建设工程项目管理规范》(GB/T50326-2006),施工方项目经理的管理权限包括( )等。
A.主持项目的投标工作
B.组建工程项目经理部
C.制订项目经理部内部计酬办法
D.选择具有相应资质的分包人
9.按照我国现行管理体制,施工方项目经理( )。
A.是施工企业法定代表人
B.是施工企业法定代表人在工程项目上的代表人
C.是一个技木岗位,而不是管理岗位
D.须在企业项目管理部领导下主持项目管理工作
10.对专业性较强的工程项目,项目监理机构应编制工程建设监理实施细则,并必须经( )批准后执行。
A.监理单位技术负责人
B.总监理工程师
C.专业监理工程师
D.专业工程师
?09建造师老师辅导,现在报名可获赠08年课程!
?2009年二级建造师考试网上辅导招生简章介绍!
?江苏2008年建造师证书信息更正及注册说明
11.旁站监理人员实施旁站监理时,如发现施工单位存在违反工程建设强制性标准的行为,首先应( )。
A.责令施工单位立即整改
B.立即下达工程暂停令
C.立即报告政府主管部门
D.立即报告业主代表和总监理工程师
12.施工成本计划通常有三类指标,即( )。
A.拟完工作预算成本指标、已完工作预算成本指标和成本降低率指标
B.成本计划的数量指标、质量指标和效益指标
C.预算成本指标、计划成本指标和实际成本指标
D.人、财、物成本指标
13.项目经理部对竣工工程成本核算的目的是( )。
A.考核项目管理绩效
B.寻求进一步降低成本的途径
C.考核企业经营效益
D.分析成本偏差的原因
14.项目施上准备阶段的成本计划是以项目实施方案为依据,采用( )编制而形成的实施性施工成本计划。
A.概算定额
B.单位估价表
C.预算定额
D.施工定额
15.施工成本计划是施工项目成本控制的一个重要环节。一般情况下,施工成本计划总额应控制在( )的范围内。
A.固定成本
B.目标成本
C.预算成本
D.实际成本
16.对大中型工程项目,按项目组成编制施工成本计划时,其总成本分解的顺序是( )。
A.单项工程成本→单位(子单位)工程成本→分部(子分部)工程成本→分项工程成本
B.单位(子单位)→工程成本→单项工程成本→分部(子分部)工程成本→分项工程成本
C.分项工程成本→分部(子分部)工程成本→单位(子单位)工程成本→单项工程成本
D.分部(子分部)工程成本→分项工程成本→单项工程成本→单位(子单位)工程成本
17.如按工程进度编制施工成本计划,在编制网络计划时应充分考虑进度控制对项目分解深度的要求,同时还应考虑施工成本支出计划对( )的要求。
A.成本目标
B.项目目标
C.成本分解
D.项目划分
18.根据《建设工程工程量清单计价规范》,施工过程中如发现图纸设计错误,因修改设计而新增的工程量清单项目,其综合单价应( )。
A.由发包人提出,经工程师确认
B.由工程师提出,经发包人确认
C.由承包人提出,经发包人确认
D.由发包人提出,经承包人确认
19.根据《建设工程施工合同(示范文本)》,承包人在工程变更确定后( )天内,可提出变更涉及的追加合同价款要求的报告,经工程师确认后相应调整合同价款。
A.14
B.21
C.28
D.30
20.FIDIC合同条件所规定的工程支付中,属于暂付费用的是( )。
A.保留金、工程变更费用、业主索赔费用
B.迟付款利息、业主索赔费用
C.动员预付款、材料预付款、保留金
D.工程变更费用、成本增减费用
21.施工成本控制工作的一般步骤是( )。
A.检查→分析→比较→预测→纠偏
B.比较→分析→预测→纠偏→检查
C.预测→比较→分析→检查→纠偏
D.预测→检查→分析→比较→纠偏
22.某分项工程计划完成工程量3000m3,计划成本15元/m3,实际完成工程量2500m3,实际成本20元/m3。则该分项工程的施工进度偏差( )。
A.拖后7500元
B.提前7500元
C.拖后12500元
D.提前12500元
23.工程成本偏差分析可采用不同的表达方法,常用的有( )。
A.横道图法、表格法和曲线法
B.网络图法、横道图法和表格法
C.比较法、因素分析法和差额计算法
D.网络图法、表格法和曲线法
24.某工程商品混凝土的有关产量、单价、损耗率等数据如下表所示。如采用因素分析法进行施工成本分析,产量、单价、损耗率对成本的影响程度分别是( )。
项目 单位 目标 实际
产量 m3 500 550
单价 元/m3 540 590
损耗率 % 4 3
A.产量增加使成本增加30 680元;单价提高使成本增加26 000元;损耗率下降使成本减少3245元
B.产量增加使成本增加30 680元:单价提高使成本增加28 600元;损耗率下降使成本减少2700元
C.产量增加使成本增加28 080元;单价提高使成本增加28 600元;损耗率下降使成本减少2700元
D.产量增加使成本增加28 080元;单价提高使成本增加28 600元;损耗率下降使成本减少3245元
25.某建设工程项目进度计划系统如下图所示:

该进度计划系统的第二平面是多个相互关联的不同( )的进度计划。
A.计划深度
B.计划功能
C.项目参与方
D.计划周期
26.下列各项措施中,( )是建设工程项目进度控制的技术措施。
A.确定各类进度计划的审批程序
B.选择工程承发包模式
C.优选项目设计、施工方案
D.选择合理的合同结构
27.论证建设工程项目总进度目标时,需要进行:①编制各层进度计划:②项目的工作编码;③进度计划系统的结构分析等项工作。对上述三项工作而言,正确的工作步骤是( )。
A.①-②-③
B.②-①-③
C.②-③-①
D.③-②-①
28.建设工程项目的业主参与方都有进度控制的任务,各方( )。
A.控制的目标相同,但控制的时间范畴不同
B.控制的目标不同,但控制的时间范畴相同
C.控制的目标和时间范畴均相同
D.控制的目标和时间范畴各不相同
29.某工程单目标双代号网络计划如下图所示,图中的错误是( )。

A.有多个起点节点
B.有多个终点节点
C.有双向箭头联线
D.有循环回路
30.某分部工程单代号网络计划如下图所示,其对应的取代号网络计划是( )。


31.某道路工程在进行基层和面层施工时,为了给面层铺设提供工作面和工作条件,需待基层铺设一定时间后才能进行面层摊铺,这种时间间隔是( )时距。
A.STS
B.FTF
C.STF
D.FTS
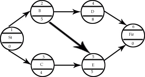
32.某工程代号网络计划如下图所示,该网络计划中有( )条关键线路。

A.1
B.2
C.3
D.4
33.某双代号网络计划中(以天为时间单位),工作K的最早开始时间为6,工作持续时间为4;工作M的最迟完成时间为22,工作持续时间为10;工作N的最迟完成时间为20,工作持续时间为5。己知工作K只有M、N两项紧后工作,工作K的总时差为( )天。
A.2
B.3
C.5
D.6
34.根据《GB/T19000-ISO9000(2000)》的定义,质量管理是指确立质量方针及实施质量方针的全部职能及工作内容,并对其工作效果进行( )的一系列工作。
A.考核和评价
B.评价和记录
C.预测和评价
D.评价和改进
35.在PDCA循环中,P阶段的职能包括( )等。
A.确定质量改进目标,制定改进措施
B.明确质量要求和目标,提出质量管理行动方案
C.采取应急措施,解决质量问题
D.规范质量行为,组织质量计划的部署和交底
36.建设工程项目质量的形成过程,体现细化到目标实现的系统过剧,而质量目标的决策是( )的职能。
A.建设单位
B.设计单位
C.项目管理咨询单位
D.建设项目工程总承包单位
37.建设工程项目实施过程中,质量控制系统涉及多个质量负任主体,其中属于监控主体的是( )。
A.建设单位
B.劳务分包单位
C.施工单位
D.材料供应单位
38.建设工程项目质量控制系统的管理文件或手册,是承担该项目实施任务各方应共同遵循的管理依据,它在( )过程中形成。
A.分析系统质量控制界面
B.编制系统质量控制计划
C.制定系统质量控制制度
D.明确系统质量控制网络
39.通过对竞争机制、利益机制的制度设计或安排,可形成建设工程项目质量控制系统运行的核心机制,即( )机制。
A.持续改进
B.反馈
C.约束
D.动力
40.关于施丁质量计划,下列说法正确的是( )。
A.施工质量计划应由业主组织编制
B.施工质量计划应包含施工技木方案
C.施工质量计划经总监理工程师审核批准后,不得修改
D.施工质量计划编制范围应与施工单位已有的质量管理体系的范围一致
41.根据建设工程监理规范,施工组织设计在经总监理工程师审核、签认后还应报( )。
A.建设单位
B.工程质量监督机构
C.设计单位
D.当地建设行政主管部门
42.施工阶段质量事中控制的途径之一是( )。
A.工程测量基准点的建立
B.施工机具的配置与性能选择
C.投料与检测计量
D.已完工程成品保护
43.根据《建筑工程施工质量验收统一标准》(GB50300-2001),对于通过翻修可以解决质量缺陷的检验批,应( )。
A.按验收程序重新进行验收
B.按技术处理方案和协商文件进行验收
C.经检测单位检测鉴定后予以验收
D.经设计单位复核后予以验收
44.在质量管理体系的八项原则中,体现组织进行质量管理的基本出发点与归宿点的原则是( )。
A.以顾客为关注焦点
B.领导作用
C.基于事实的决策方法
D.持续改进
45.当获证企业的质量管理体系不符合认证要求时,认证机构可采取的警告措施是( )。
A.企业通报
B.监督检查
C.认证暂停
D.认证注销
46.某钢结构厂房,在结构吊装工程的一次质量检查中,发现漏焊现象严重。为找出造成漏焊的最主要原因,应选用的质量统计方法是( )。
A.因果分析图法
B.直方图法
C.排列图法
D.分层法
47.某钢构件厂根据供货合同先后生产了4批钢构件,各批次的质量统计直方图如下所示。其中出现不合格构件,必须采取措施纠偏的是( )。

48.根据《建设工程安全生产管理条例》,建设单位应当自开工报告批准之日起( )日内,将保证安全施工措施报送建设工程所在地的县级以上人民政府建设行政主管部门或其他有关部门备案。
A.15
B.20
C.25
D.30
49.在采用作业条件危险性分析法(LEC方法)进行风险评所时,中度风险对应的危险程度是( )。
A.稍有危险,可以接受
B.比较危险,需要注意
C.显著危险,需要改进
D.高度危险,需要心进
50.建设工程施工安全控制的目标是( )。
A.找出所有危险源
B.评估危险源可能造成的危害
C.减少和消除生产过程中的事故
D.事故应急处理
51.包含防治污染设施的建设工程项目,其防治污染的设施必须经( )验收合格后,该项目方可投入生产或使用。
A.建设单位的上级主管部门
B.工程质量监督机构
C.环境保护行政主管部门
D.安全生产行政管理部门
52.事故调查组在查明事故情况后,如果对事故的分析和事故责任者的处理不能取得一致意见,( )有权提出结论性意见。
A.安全行政管理部门
B.公安部门
C.劳动部门
D.工会
53.根据《建筑施工场界噪声限值》(GB12523-90)的要求,工程施工中昼间打桩作业噪声限值为( )dB(A)。
A.70
B.75
C.80
D.85
54.职业健康安全管理体系中应急准备和响应的目的之一是( )。
A.建立危险源识别和控制体系
B.减少和预防可能引发的病症和伤害
C.证实安全体系处于有效运行状态
D.对执业健康安全绩效进行监视和测量
55.环境管理体系的一级要素是( )。
A.环境因素、运行与控制、信息交流、检查、内部审核
B.环境方针、方案、权限、监测、管理评审
C.指标、规划、文件控制、合规性评价、内部审核
D.环境方什、规划、实施与运行、检查、管理评审
56.根据我国现行招标投标的有关规定,下列说法( )。
A.招标人必须委托招标代理机构代为办理招标事宜
B.工程招标代理机构的资格分为甲、乙两级
C.乙级工程招标代理机构只能承担工程投资额5000万以下的工程招标代理业务
D.乙级工程招标代理机构不课以跨省、自治区、直辖市承担业务
57.在建设工程合同的订立过程中,投标人根据招标内容在约定划限内向招标人提交投标文件,此为( )。
A.要约邀请
B.要约
C.承诺
D.承诺生效
58.根据《建设工程施工合同(示范文本)》(GF-99-0201),以书面形式提供有关水文地质勘探资料和地下管线资料,提供现场测量基准点、基准线和水准点有关资料,并进行现场交验是( )的责任和义务。
A.发包人
B.设计单位
C.承包人
D.监理人
59.从合同的计价方式看,FIDIC1999年版《施工合同条件》(新红皮书)是( )合同。
A.单价
B.固定总价
C.可调总价
D.成本加酬金
60.根据《建设工程施工合同(示范文本)》(GF-99-0201),建设工程的投料试车应( )。
A.在工程竣工验收前由承包人负责
B.在工程竣工验收前由供货人负萌
C.在工程竣工验收后由供货人负责
D.在工程竣工验收后由发包人负责
61.根据《建设工程施工劳务分包合同(示范文本)》(GF-2003-0214),劳务分包人在施工场地内自有施工机械设备的保险手续应由( )办理,并支付保险费用。
A.发包人
B.工程承包人
C.劳务分包人
D.工程师
62.建设工程项目总承包与施工承包的最大不同之处在于项目总乐包商要负责( )。
A.承建项目的投料试生产
B.全部或部分工程的设计
C.总价包干
D.所有的主体和附属工程、工艺和设备等的施工与安装
63.固定单价合同适用于( )的项目。
A.工期长,工程量变化幅度很大
B.工期长,工程量变化幅度不太大
C.工期短,工程量变化幅度不太大
D.工期短,工程量变化幅度很
64.关于成本加酬金合同的特点和应用,下列说法正确的是( )。
A.采用该计价力式不利于业主方的投资控制
B.采用该计价方式不利于业主方的进度控制
C.该计价方式不宜用于项目管理合同
D.该计价方式不宜用于施工总承包管理合同
65.在施工期间,承包商可能遇到不能预见的地下岩石,导致上期拖延,这类风险应由( )承担。
A.发包人
B.承包人
C.发包人和承包人共同
D.监理工程师
66.建设工程履约担保的有效期始于( )之日。
A.合同签订
B.合同生效
C.承包人收到工程预付款
D.工程开工
67.建设工程索赔中,承包商计算索赔费用时最常用的方法是( )。
A.总费用法
B.修正的总费用法
C.实际费用法
D.修正的实际费用法
68.关于工期索赔,下列说法正确的是( )。
A.单一延误是可索赔延误
B.共同延误是不可索赔延误
C.交叉延误可能是可索赔延误
D.非关键线路延误是不可索赔延误
69.关于建设工程项目信息编码,下列说法正确的是( )。
A.项目的投资项编码,应按概预算定额确定的分部分项工程编码进行编码
B.项目实施的工作项编码,是对施工过程的编码,应覆盖项目施工全过程
C.项目管理组织结构编码,应依据项目管理的组织结构图,对每一个工作部门进行编码
D.项目的进度项编码,应根据不同层次、不同深度的进度计划工作项的需要分别建立不同的编码
70,关于项目信息门户,下列说法正确的是( )。
A.项目信息门户是一种项目管理信息系统(PMIS)
B.项目信息门户是一种企业管理信息系统(MIS)
C.项目信息门户土要用于项目法人的人、财、物、产、供、销的管理
D.项目信息门户可以为一个建设工程的各参与方服务
二、多项选择题(共30题,每题2分。每题的备选项中,有2个或2个以上符合题意,至少有1个错项。错选,本题不得分;少选,所选的每个选项得0.5分)
71.组织分工反映了一个组织系统中各子系统或各元素的( )。
A.指令关系
B.工作任务分工
C.管理职能分工
D.静态组织关系
E.动态组织关系
72.与施工总承包模式相比,施工总承包管理模式的特点有( )等。
A.可以边设计边施工
B.施工总承包管理合同实行总造价包干,有利于降低工程造价
C.分包单位的选择和分包合同的签订,都要经过总承包管理单位的认可
D.分包合同价对业主透明
E.分包单位的工程款可以由业主直接支付
73.应用动态控制原理进行目标控制时,用于纠偏的组织措施包括( )等。
A.调整进度管理的方法
B.调整招标工作的管理职能分工
C.调整投资控制工作流程
D.更换不同的软件编制施工进度计划
E.调整合同管理任务分工
74.建设工程项目施工过程中,投资的计划值和实际值的比较包括( )的比较。
A.工程概算与投资规划
B.工程预算与工程概算
C.工程合同价与工程概算
D.工程款支付与工程概算
E.工程决算与工程概算
75.根据《建设工程监理规范》(GB50319-2000),编制工程建设监理规划应遵循的程序和依据是( )。
A.在收到设计文件后开始编制
B.在签订委托监理合同前编制完成
C.完成后必须经监理单位技术负责人审核批准
D.应由总监理工程师主持编制
E.依据项目审批文件编制
76.施工项目的成本计划按其作用可分为( )。
A.单位工程成本计划
B.分部分项工程成本计划
C.竞争性成本计划
D.指导性成本计划
E.实施性成本计划
77.按照《建设工程施工合同(示范文本)》进行工程变更,下列说说法正确的是( )。
A.承包人对于发包人的变更通知没有拒绝的权利
B.承包人为了便于施工可对原工程设计进行变更
C.因承包人原因导致的工程变更,承包人无权要求追加合同价款
D.工程师确认增加的工程变更价款作为追加合同价款,与工程进度款同期支付
E.由于承包人甲的原因造成进度滞后,干扰了承包人乙的施工,工程师发布指令导致甲的施工成本增加,承包人甲有权要求补偿
78.《建设工程施工合同(示范文本)》对工程款支付和竣工结算作了相应规定,下列说法正确的有( )。
A.在确认计量结果后的21天内,发包人应向承包人支付工程款
B.发包人不按合同约定支付工程款,双方又未达成延期付款协议,导致施上无法进行,承包人可停止施工
C.发包人与承包人可协商签订延期付款协议,经承包人同意后可延期支付
D.发包人收到承包人递交的竣工结算报告及结算资料后56天内进行核实,给予确认或提出修改意见
E.工程竣工验收报告经发包人认可后28天内,承包人向发包人递交竣工结算及完整的结算资料,双方按合同约定进行工程竣工结算
79.常用的建筑安装工程费用的动态结算方法有( )。
A.调值公式法
B.竣工调价系数法
C.基期价格调整法
D.按主材计算价差法
E.要素比例调价法
80.采用过程控制的方法控制施工成本时,控制的要点有( )。
A.人工费、材料费按量价分离原则进行控制
B.材料价格由项目经理负费控制
C.零星材料采用定额控制方法进行控制
D.合理安排施工生产,减少因安排不当引起的设备闲置
E.对分包费用的控制,重点是做好分包工程询价、验收和结算等工作
81.在建设工程项目的实施阶段,项目总进度应包括( )等。
A.设计工程进度
B.施工前准备工作进度
C.工程物资采购工作进度
D.项目动用前准备工作进度
E.项目后评价工作进度
82.某工程单代号网络计划如下例所示(时间单位:天),下列说法正确的起( )。
A.工作E是关键工作
B.工作B的自由时差为0
C.工作D的总时差为2
D.工作F的最迟开始时间为21
E.有两条关键线路
83.调整工程网络计划时,调整内容一般包括( )。
A.非关键工作时羞
B.关键线路长度
C.工作组织关系
D.工作工艺过程
E.工作持续时间
84.在影响建设工程项目质量的因素中,属于项目管理者可控因素的有( )等。
A.人
B.技术
C.管理
D.社会
E.环境
85.施工方案质量控制的内容有( )。
A.合理划分施工区段
B.制订材料进场验收程序
C.编制新材料专项技术方案
D.明确工序质量验收标准
E.合理选用施工机械设备
86.某建设工程项目施工采用了施工总承包方式,其中的幕墙工程、设备安装工程分别进行了专业分包。对幕墙工程施工质量实施监督控制的主体是( )等。
A.幕墙玻璃供应商
B.建设行政主管部门
C.幕墙设计单付
D.设备安装单付
E.建政单位
87.建设工程满足了竣工验收的条件,即应组织竣工验收,竣工验收的依据有( )等。
A.工程质量体系文件
B.工程施工组织设计或施工质量计划
C.工程施工承包合同
D.工程施工图纸
E.质量检测功能性试验资料
88.在应用分层法时,首先要划分调查分析的层次,一般可根据( )等进行划分。
A.统计的模型
B.管理的需要
C.样本的数量
D.数据的分布规律
E.统计的目的
89.根据建设工程项目设计质量控制的要求,建筑工程设计图纸必须具有( ),并按照有效的审图程序进行审查。
A.国家批准的出图印章
B.审图部门的印章
C.造价工程师的执业印章
D.建筑师的执业印章
E.结构工程师的执业印章
90.《中华人民共和国安全生产法》规定,生产经营单位新建工程项目的安全设施必须与主体工程同时( )。
A.设计
B.招标
C.施工
D.验收
E.使用
91,在采用安全检查表(SCL)法辨识危险源时,安全检查表应包括( )等内容。
A.检查项目
B.检查目标
C.检查内容
D.检查等级
E.检查结果
92.安全事故调查组的职责包括( )等。
A.查明事故造成的经济损失
B.确定事故责任者
C.对事故责任者进行处罚
D.提出事故防范措施建议
E.向安全生产行政主管部门报送安全事故统计报表
93.废水处理的物理化学方法主要有( )等。
A.沉淀法
B.吸附法
C.气浮法
D.反渗透法
E.电渗析法
94.根据《中华人民共和国合同法》,下列合同中属于建设工程合同的有( )。
A.勘察合同
B.设计合同
C.施工承包合同
D.工程监理合同
E.咨询合同
95.根据《建设工程施工合同(示范文本)》(OF-99-0201),对材料设备的检验或试验,正确的做法是( )。
A.发包人供应的材料设备使用前应由发包人负责检验或试验,费用由发包人负责
B.发包人供应的材料设备使用前应由承包人负责检验或试验,费用由发包人负责
C.发包人供应的材料设备使用前应由承包人负责检验或试验,费用由承包人负责
D.承包人供应的材料设备使用前应由发包人负责检验或试验.费用由承包人负责
E.承包人供应的材料设备使用前应由承包人负责检验或试验,费用由承包人负责
96.关于监理人的权利,下列说法正确的是( )。
A.当发现工程设计不符合设计合同约定的质量标准时,有权通知设计人更正
B.对不符合设计要求的材料,有权通知承包人停止使用
C.对工程实际竣工日期有签认权
D.对工程结算有否决权
E.无需征得委托人同意,有权发布停工令
97.合同分析的目的和作用主要体现在( )等方面。
A.根据合同要求制订投标策略
B.分析合同中的漏洞,制订履行合同的对策
C.分析合同风险,制订风险管理对策
D.分解合同任务,并落实到具体的部门、人员
E.总结合同执行情况,完善竣工验收报告
98.施丁合同签订后,承包人应对施工合同进行跟踪,跟踪的对象包括( )等。
A.业主的工作
B.工程师的工作
C.设计人的工作
D.承包人的工作
E.工程分包人的工作
99.FIDIC 1999年出版的《施工合同条件》(新红皮书)主要用于( )的施工。
A.由发包人设计的房屋建筑工程
B.由承包人设计的房屋建筑工程
C.由发包人设计的土木工程
D.由承包人设计的土木工程
E.由咨询工程师设计的土木工程
100.建设工程项目信息管理手册的主要内容包括( )等。
A.信息的编码体系和编码
B.信息输入输出模型
C.工程档案管理制度
D.各种报表和报告格式
E.信息应用效果分析
最新资讯
- 一建考试真题大合集+一建真题资料包【免费领取】2025-10-27
- 2026年一级建造师《建筑工程管理与实务》每日一练(10月26日)2025-10-26
- 一建历年真题做几年的?一建历年真题怎么用?2025-10-25
- 2026年一级建造师《机电工程管理与实务》每日一练(10月24日)2025-10-24
- 重要福利!2018-2025一建《机电实务》真题及答案免费领2025-10-23
- 2026年一级建造师《建设工程项目管理》每日一练(10月22日)2025-10-22
- 一级建造师建筑实务历年真题免费下载(2018年-2025年)2025-10-21
- 免费领取!2018-2025一建《工程经济》真题及答案解析,备考刷题必备资料2025-10-20
- 2026年一级建造师《公路工程管理与实务》每日一练(10月20日)2025-10-20
- 免费打包下载!2018-2025一建《公路实务》真题解析2025-10-19