2013年工程经济考点:名义利率和有效利率的计算
命题考点三 名义利率和有效利率的计算
【教材解读】
一、名义利率的计算
所谓名义利率r是指计息周期利率i乘以一年内的计息周期数m所得的年利率,即:r=i×m
通常所说的年利率都是名义利率。
二、有效利率的计算
有效利率是指资金在计息中所发生的实际利率,包括计息周期有效利率和年有效利率两种情况。
(1)计息周期有效利率,即计息周期利率i的计算:
(2)年有效利率,即年实际利率。
若用计息周期利率来计算年有效利率,并将年内的利息再生因素考虑进去,这时所得的
年利率称为年有效利率(又称年实际利率)。
三、名义利率与实际利率的换算
名义利率与实际利率的换算见表1-2。
【命题考点】
名义利率;计息周期有效利率;年有效利率;名义利率与实际利率的换算。
【分析预测】
(1)基本上每年会单独考核一道有关名义利率与实际利率换算的题目,而且在其他的计算题中也会涉及名义利率与实际利率换算的问题。
(2)考生要根据表中的换算公式总结出规律来记忆,基本换算公式中的两个m的含义不同,考生一定要区分。
环球网校友情提示:如果您在此过程中遇到任何疑问,请登录环球网校一级建造师频道及考试论坛,随时与广大考生朋友们一起交流!
编辑推荐:
【考题回顾】
【2010年度考试真题】
年利率8%,按季度复利计息,则半年期实际利率为()。
A.4.00%
B.4.04%
C.4.07%
D.4.12%
【答案】B本题考核的是名义利率和实际利率的换算。
。
提示:r/m中的m等于一年计息的次数(本题中,一年有四个季度,就计息四次),公式中的指数m等于所求实际利率的周期与计息周期的比值。
【2009年度考试真题】
已知年名义利率为10%,每季度计息1次,复利计息,则年有效利率为()。
A.10.47%
B.10.38%
C.10.25%
D.10.00%
【答案】B本题考核的是年有效利率的计算。
【2007年度考试真题】
已知年利率12%,每月复利计息一次,则季实际利率为()。
A.1.003%
B.3.00%
C.3.03%
D.4.00%
【答案】C本题考核的是季实际利率的计算。有效利率=r/m=12%/12=1%,则季有效利率=(1+12%/12)3-1=3.03%。
【2006年度考试真题】
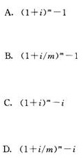
年名义利率为i,一年内计息周期数为m,则年有效利率为()。
【答案】B本题考核的是年有效利率的计算公式。年有效利率的计算公式为F=(1+i/m)m-1。
环球网校友情提示:如果您在此过程中遇到任何疑问,请登录环球网校一级建造师频道及考试论坛,随时与广大考生朋友们一起交流!
编辑推荐:
【典型习题】
1.若名义利率一定,年有效利率与一年中计息周期数m的关系为()。
A.计息周期增加,年有效利率不变
B.计息周期增加,年有效利率减小
C.计息周期增加,年有效利率增加
D.计息周期减小,年有效利率增加
2.某笔贷款的利息按年利率为10%,每季度复利计息,其贷款的年有效利率为()。
A.10.38%
B.10.46%
C.10.00%
D.10.25%
3.年名义利率8%,按季计算,则利息期有效利率和年有效利率分别是()。
A.2.O0%,8.00%
B.2.00%,8.24%
C.2.06%,8.00%
D.2.06%,8.24%
4.现在存款2000元,年利率10%,半年复利一次,则第6年年末存款金额为()。
A.1254.23
B.2543.12
C.2865.14
D.3591.71
【答案】1.C2.A3.B4.D
环球网校友情提示:如果您在此过程中遇到任何疑问,请登录环球网校一级建造师频道及考试论坛,随时与广大考生朋友们一起交流!
编辑推荐:
最新资讯
- 2026年一建建筑教材新增楼梯和电梯基本构造要求考点2026-02-03
- 2026年一建工程经济如何备考?教材新增营业利润考点2026-02-03
- 2026年一建考试建设工程经济新增固定资产考点2026-02-03
- 2026年一级建造师管理考试教材新增考点:清洁生产理念2026-02-03
- 2026年一级建造师建筑专业新增楼面构造考点2026-02-02
- 2026年一级建造师建筑实务新增考点:抗震设防分类和设防标准2026-02-02
- 2026年一级建造师建筑实务教材新增考点:建筑室内物理环境技术要求2026-02-02
- 2026年一建建筑教材新增建筑设计程序和要求考点2026-02-02
- 2026年一建考试科目工程经济教材新增内部会计控制考点2026-02-02
- 2026年一建工程经济知识点新增会计核算原则2026-02-02
