2014年工程经济讲义:消费、储蓄和投资
消费、储蓄和投资
(一)消费理论
1.凯恩斯的消费理论
凯恩斯的消费理论是建立在三个假设或三个前提上的:
(1)边际消费倾向递减规律――即随着人们收入的增长,人们的消费随之增长,但消费支出在收入中所占比重却不断减少。
边际消费倾向(MPC)是指消费的增量和收入的增量之比率
(2)收入是决定消费的最重要的因素
可以把消费看作是收入的函数。
(3)平均消费倾向(APC)会随着收入的增加而减少
平均消费倾向(APC)是指消费总量在收入总量中所占的比例
平均消费倾向可能大于、等于或小于1。
消费函数,如果消费和收入之间存在线性关系,则边际消费倾向为一常数,这时消费函数可以用下列方程表示:
式中,α代表必不可少的自发消费部分,β为边际消费倾向,β和Y的乘积表示由收入引致的消费。因此,消费等于自发消费和引致消费之和。
注意:MPC
【例题1?多选题】(2009年)凯恩斯消费理论的主要假设有( )。
A.边际消费倾向递减
B.收入是决定消费的最重要的因素
C.平均消费倾向会随着收入的增加而减少
D.消费取决于家庭所处的生命周期阶段
E.长期消费函数是稳定的
『正确答案』ABC
『答案解析』凯恩斯的消费理论是建立在三个假设或三个前提上的:(1)边际消费倾向递减规律。(2)收入是决定消费的最重要的因素。(3)平均消费倾向会随着收入的增加而减少。
【例题2?单选题】平均消费倾向的取值是( )。
A.等于l B.可能小于、等于l
C.可能大于、等于l D.可能大于、等于或小于l
『正确答案』D
『答案解析』平均消费倾向可能大于、等于或小于1。
2.莫迪利安尼的生命周期理论
强调了消费与个人生命周期阶段之间的关系,认为人们会在更长的时间范围内计划他们的生活消费开支,以达到他们在整个生命周期内消费的最佳配置,实现一生消费效用的最大化。各个家庭的消费取决于家庭所处的生命周期阶段。
年青时期:收入偏低,消费可能会超过收入
中年时期:收入大于消费
老年时期:消费超过收入
一个家庭的消费函数:C=a?WR+c?YL
WR为财产收入,YL为劳动收入,a为财富的边际消费倾向,c为劳动收入的边际消费倾向。
在社会的人口构成没有发生重大变化的情况下,从长期来看边际消费倾向是稳定的,消费支出与可支配收入和实际国民生产总值之间存在一种稳定的关系。但是如果一个社会的人口构成比例发生变化,则边际消费倾向也会发生变化。
3.弗里德曼的持久收入理论
消费者的消费支出不是根据他的当前收入决定的,而是根据他的持久收入决定的。所谓持久收入,是指消费者可以预期到的长期收入。
为现期消费支出,c为边际消费倾向,
为现期持久收入。
该理论认为,持久性收入是稳定的,所以消费函数是稳定的。
【例题?单选题】边际消费倾向递减规律是( )的前提之一。
A.生命周期理论 B.凯恩斯消费理论
C.持久收入理论 D.所有消费理论
『正确答案』B
『答案解析』边际消费倾向递减规律是凯恩斯消费理论的前提之一。
(二)储蓄函数
储蓄是收入中减去消费的余额。从公式Y=C+S可得:
S=Y-C
根据凯恩斯的假定,收入是决定储蓄最主要的因素。储蓄与收入之间的依存关系被称为储蓄函数。
储蓄函数的公式(掌握):
为边际储蓄倾向(MPS),或用S表示。边际储蓄倾向同边际消费倾向相似:

平均储蓄倾向同平均消费倾向相似:
掌握消费函数和储蓄函数的关系是:消费函数和储蓄函数互为补数,二者之和总是等于收入。
APC+APS=1;MPC+MPS=1
【例题1?单选题】有关消费函数和储蓄函数的表述错误的是( )。
A.消费等于自发消费和引致消费之和
B.储蓄与消费之间的依存关系被称为储蓄函数
C.消费函数和储蓄函数互为补数
D.消费函数公式为
『正确答案』B
『答案解析』储蓄与收入之间的依存关系被称为储蓄函数,B的说法有误。
【例题2?单选题】(2008年)消费函数和储蓄函数的关系是( )。
A.消费函数和储蓄函数为互补关系 B.消费函数大于储蓄函数
C.消费函数小于储蓄函数 D.消费函数恒等于储蓄函数
『正确答案』A
『答案解析』消费函数和储蓄函数为互补关系,二者之和总是等于收入。
(三)投资函数
投资是形成固定资产的活动,一般不包括金融投资在内。
凯恩斯认为,实际利率越低,投资量越大。因此,投资是利率的减函数。
投资函数:
e表示自主投资,-dr表示引致投资。
(四)投资乘数
投资乘数的公式:
s为边际储蓄倾向。上式表明投资乘数k为边际储蓄倾向s的倒数。
【例题1?单选题】(2009年)假定边际消费倾向β是0.75,则投资乘数k应为( )。
A.1 B.2 C.3 D.4
『正确答案』D
『答案解析』投资乘数k=1/(1-β)=1/(1-0.75)=4。
【例题2?单选题】(2010年)假设边际储蓄倾向s是0.2,则投资乘数k应为( )。
A.1.25 B.2.5 C.5.5 D.5
『正确答案』D
(五)简单的国民收入决定
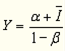
两部门经济中,Y=C+I,假设投资为常数
,将消费函数代入收入恒等式Y=C+I中,可以得到:
Y=
由此可以得到:
如果已知消费函数和投资总额,则可以计算出均衡国民收入
环球网校友情提示:如果您在此过程中遇到任何疑问,请登录环球网校一级建造师频道及考试论坛,随时与广大考生朋友们一起交流!
编辑推荐:
最新资讯
- 2026年一级建造师考试教材发布,四科保三争一备考方案2026-02-09
- 2026年一建教材变动幅度,非工程专业实务备考方法2026-02-09
- 2026年一建考试教材启动,挑灯夜读,只为职场翻盘2026-02-09
- 2026年一级建造师官方教材变化点如何有效掌握2026-02-09
- 2026年一级建造师新教材,是时候为考证拼一次了2026-02-09
- 提分秘籍,考生免费下载2026年一级建造师水利水电工程必背300句2026-02-06
- 2026年一级建造师市政专业必背300句,内容浓缩考点2026-02-06
- 2026年一级建造师建筑工程实务必背300句,直击命题核心2026-02-06
- 2026年一级建造师工程管理必背300句免费下载,考生速点2026-02-06
- 2026年一级建造师公路实务必背300句,精华资料免费下载2026-02-06
