2014年一级建造师(项目管理)综合测试题一(附答案)
【摘要】环球网校一级建造师考试频道为方便各位一级建造师考生更好的备考2015年一级建造师考试,特地整理一级建造师考试相关练习题,并附解析与参考答案,本文为2014年一级建造师(项目管理)综合测试题一(附答案),希望各位一级建造师考生通过自测练习题提高自己。更多试题和资料敬请关注环球网校一级建造师考试频道,您可以按【ctrl键+D】手动收藏此页面。
点击查看>>>>2014年一级建造师《各科目》综合测试题与答案【汇总】
综合测试题(一)
一、单项选择题(共70题,每题1分。每题的备选项中,只有1个最符合题意)
1.关于项目管理和工程管理的说法,正确的是( )。
A.工程项目管理的时间是项目的全寿命周期
B.建设工程管理的时间是项目的实施阶段
C.工程管理的核心任务是为项目的建设和使用增值
D.项目管理的核心任务是目标控制
2.建设工程管理是一种增值服务,属于工程使用增值的是( )。
A.确保工程建设安全 B.提高工程质量
C.有利于节能环保 D.有利于投资控制
3.业主方项目管理工作中,最重要的任务是( )。
A.投资控制 B.合同管理
C.质量控制 D.安全管理
4.反映一个组织系统中各工作部门或各管理人员之间的指令关系的是( )。
A.组织结构模式 B.组织分工
C.管理职能分工 D.工作流程
5.施工单位编制项目管理任务分工表之前要完成的工作是( )。
A.对项目实施各阶段的管理任务进行详细分解
B.明确各项管理工作的工作流程
C.落实各工作部门的具体人员
D.对各项管理工作的执行情况进行检查
6.建设工程项目实施阶段组织策划的主要工作内容包括( )。
A.实施期组织总体方案 B.项目编码体系分析
C.建立编码体系 D.确定项目质量目标
7.与发达国家不同,我国业主方主要通过( )的方式选择设计方案和设计单位。
A.设计竞赛 B.设计招标
C.设计评审 D.专项委托
8.建设项目工程总承包方编制项目设计建议书的依据是( )。
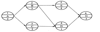
A.可行性研究报告 B.项目建议书
C.项目建设纲要 D.项目管理规划
9.施工总承包模式下,投标报价的基础为( )。
A.企业定额 B.预算定额
C.工程量清单 D.施工图设计
10.关于施工总承包管理的说法,错误的是( )。
A.在施工总承包管理模式下,分包合同价对业主是透明的
B.施工总承包管理单位仅仅做管理和协调工作
C.施工总承包管理合同中只确定施工总承包管理费
D.采用施工总承包管理模式时,分包合同由业主与分包单位直接签订

11.建设工程项目管理规划涉及整个实施阶段,它属于( )项目管理范畴。
A.业主方 B.承包方
C.咨询单位 D.设计单位
12.建设工程项目管理实施规划由( )组织编制
A.项目经理 B.总经理
C.业主代表 D.施工单位
13.下列价值工程中提高价值的做法,正确的是( )。
A.功能不变,费用降低
B.功能降低,费用不变
C.功能大幅度提高,费用提高
D.功能不变,费用上升
14.施工组织设计是以( )为对象编制的。
A.施工项目 B.施工内容
C.施工单位 D.施工目标
15.某项目由于关键设备采购延误导致总体工程进度延误,项目经理部研究决定调整目采购负责人以解决问题,该措施属于项目目标控制的( )。
A.组织措施 B.管理措施
C.经济措施 D.技术措施
16.项目目标动态控制的核心是:在项目实施的过程中定期地进行项目目标( )的比 。
A.偏差值和调整值 B.偏差值和实际值
C.计划值和实际值 D.计划值和调整值
17.建筑施工企业项目经理是受企业( )委托,对工程项目施工过程全面负责的项目管理者。
A.董事会 B.股东
C.股东代表大会 D.法定代表人
18.编制项目管理目标责任书的依据不包括( )。
A.项目合同文件 B.项目管理实施规划
C.组织的经营方针 D.组织的经营目标
19.在事件风险量的区域图中,若某事件经过风险评估,处于风险区A,则应采取措降低其概率,可使它移位至( )。
A.风险区B B.风险区C
C.风险区D D.风险区E
20.对中型及以上或专业性较强的工程项目,项目监理机构应编制工程建设监理实施则,并必须经( )批准后执行。
A.监理单位技术负责人 B.总监理工程师
C.专业监理工程师 D.专业工程师
21.根据成本运行规律,建设工程项目成本管理责任体系包括组织管理层和项目经理部项目管理层应( )。
A.体现以效益为中心的管理职能
B.努力达到社会、企业综合效益最大化
C.确定施工成本管理目标值
D.对生产成本进行管理
22.贯穿于施工项目从投标阶段直至项目竣工验收阶段全过程,并且是企业全面成本理的重要环节的是( )。
A.成本预测 B.成本控制
C.成本核算 D.成本考核
23.选派项目经理阶段的预算成本计划是以( )为依据,按照企业的预算定额标准制定的。
A.技术规程 B.设计图纸
C.合同标书 D.工程量清单
24.控制人工费支出的主要手段不包括( )。
A.加强劳动定额管理
B.改变施工作业流程
C.降低工程耗用人工工日
D.提高劳动生产率
25.成本偏差分析可采用不同的表达方法,常用的有( )。
A.网络图法、表格法和曲线法
B.网络图法、横道图法和表格法
C.比较法、因素分析法和差额计算法
D.横道图法、表格法和曲线法
26.施工成本分析的基本方法包括比较法、因素分析法、差额计算法、比率法等,其中需要确定分析对象,并计算出实际与目标数差异的是( )。
A.比较法 B.因素分析法
C.差额计算法 D.比率法
27.施工单位年度成本分析的重点是( )。
A.通过实际成本与目标成本的对比,分析目标成本落实情况
B.通过对技术组织措施执行效果的分析,寻求更加有效的节约途径
C.针对下一年度施工进展情况,规划切实可行的成本管理措施
D.通过实际成本与计划成本的对比,分析成本降低水平
28.建设工程项目的业主和参与各方都有进度控制的任务,各方( )。
A.控制的目标相同,但控制的时间范畴不同
B.控制的目标不同,但控制的时间范畴相同
C.控制的目标和时间范畴均相同
D.控制的目标和时间范畴各不相同
29.某建设工程项目进度计划系统如下图所示:

该进度计划系统的第二层面是多个相互关联的不同( )的进度计划。
A.计划深度 B.计划功能
C.项目参与方 D.计划周期
30.建设工程项目总进度目标论证,在“项目结构分析”之后进行( )工作。
A.调查研究和收集资料 B.项目的工作编码
C.进度计划系统的结构分析 D.,编制各层进度计划
31.下图所示的单代号网络计划,其计算工期为( )d。

A.1 1 B.9
C.1 2 D.1 5
32.在网络计划中,判断关键工作的条件是该工作( )。
A.自由时差最小 B.与其紧后工作之间的时间间隔为零
C.持续时间最长 D.最早开始时间等于最迟开始时间
33.已知某工程双代号网络计划的计划工期等于计算工期,且工作M的开始节点和完成节点均为关键节点,下列关于工作M说法正确的是( )。
A.为关键工作 B.总时差等于自由时差
C.自由时差为零 D.总时差大于自由时差
34.在网络计划中,工作N最迟完成时间为第25天,持续时间为6天。该工作有三项紧前工作,它们的最早完成时间分别为第10天、第12天和第13天,则工作N的总时差为( )天。
A.6 B.9
C.1 2 D.1 5
35.下图所示的单代号搭接网络计划(时间单位:天),其计算工期是( )天。

A.2 6 B.2 7
C.28 D.2 9
36.在某大型工程项目的实施过程中,由于“下情不能上传,上情不能下达”,导致项目经理不能及时做出正确决策,拖延了工期。为了加快实施进度,项目经理修正了信息传递工作流程。这种纠偏措施属于动态控制的( )。
A.组织措施 B.管理措施
C.经济措施 D.技术措施
37.下列施工质量事故发生的原因中,不属于管理原因的是( )。
A.施工单位的检验制度不严密
B.对水文地质情况判断错误
C.施工单位的质量控制不严密
D.施工单位质量管理措施落实不力
38.施工质量事故的处理应按一定的程序进行,事故调查报告的主要内容不包括( )。
A.事故处理方案 B.事故发生后采取的临时防护措施
C.事故情况 D.工程概况
39.某建设工程项目在施工过程中出现混凝土强度不足的质量问题,采用逐层深入排查的方法,分析确定其最主要原因。这种方法是( )。
A.直方图法 B.排列图法
C.控制图法 D.因果分析图法
40.直方图的观察分析分为形状观察分析和( )。
A.数据观察分析 B.偏差观察分析
C.位置观察分析 D.距离观察分析
41.政府质量监督机构对施工过程中发生的质量问题进行查处,对问题严重的单位可根据问题性质签发( )。
A.质量问题整改通知单 B.局部暂停施工指令单
C.全面停工通知书 D.临时收缴资质证书通知书
42.职业健康安全管理体系与环境管理体系中管理的主体是( )。
A.集合 B.团体
C.组织 D.机构
43.建筑产品的特性使建设项目的职业健康安全和环境管理涉及大量的露天作业,受到气候条件、工程地质等不可控因素的影响较大,因此决定了职业健康安全与环境管理具有( )。
A.单一性 B.复杂性
C.不可逆性 D.重复性
44.决定职业健康安全与环境管理的持续性的特点是( )。
A.受气候条件、工程地质条件影响较大
B.项目建设周期长,诸多工序环环相扣
C.项目建设现场材料、设备和工具的流动性大
D.项目建设涉及的各工种经常需要交叉作业或平行作业
45.作业文件是指管理手册、程序文件之外的文件,除包括作业指导书(操作规程)和管理规定之外,还包括( )。
A.监测活动准则、绩效报告
B.质量方针、程序文件引用的表格
C.监测活动准则、程序文件引用的表格
D.质量方针、程序文件引用的表格
46.关于职业健康与安全管理体系内部审核的说法,正确的是( )。
A.内部审核是管理体系接受外部监督的一种机制
B.内部审核是按照上级要求对体系进行的检查和评价
C.内部审核是最高管理者对管理体系的系统评价
D.内部审核是管理体系自我保证和自我监督的一种机制
47.安全生产许可证有效期满需要延期的,企业应当于期满前最晚( )向原安全生产许可证颁发管理机关办理延期手续。
A.1个月 B.2个月
C.3个月 D.4个月
48.特种作业人员应具备的条件不包括( )。
A.年满18周岁,且不超过国家法定退休年龄
B.具备初中及以上文化程度
C.具备必要的安全技术知识与技能
D.在本行业工作6年以上
49.属于安全生产内部管理不良预警系统的是( 》。
A.自然环境突变的预警 B.人的行为活动管理预警
C.政策法规变化的预警 D.技术变化的预警
50.受到事故的严重威胁,Ⅱ级预警,用来表示的颜色是( )。
A.橙色 B.黄色
C.绿色 D.蓝色
51.安全预警活动的前提是( )。
A.诊断 B.识别
C.监测 D.评价
52.针对基坑开挖、脚手架拆除而制定的计划或方案属于 ( )。
A.综合应急预案 B.专项应急预案
C.现场处置方案 D.现场应急预案
53.生产经营单位应当制定本单位的应急预案演练计划,每年至少组织( )次现场置方案演练。
A.1 B.2
C.3 D.4
54.职业伤害事故按照事故发生的原因进行分类,起重机驾驶员在上下驾驶室时发生坠落伤害属于( )。
A.机械伤害 B.起重伤害
C.高处坠落 D.其他伤害
55.依据《生产安全事故报告和调查处理条例》规定:造成10人以上30人以下死亡,或者50人以上100人以下重伤,或者5000万元以上1亿元以下直接经济损失的事故属于( )。
A.重伤事故 B.死亡事故
C.较大事故 D.重大事故
56.按照我国现行规定,某县发生的重大事故的事故调查组应由( )负责组织。
A.事故发生地省级人民政府 B.事故发生地设区的市级人民政府
C.事故发生地县级人民政府 D.国务院
57.根据《建筑施工场界噪声排放标准》GB 12523―2011规定,推土机在昼间施工时的施工噪声应控制在( )dB(A)以内。
A.5 5 B.6 5
C.7 0 D.7 5
58.施工现场宿舍的设置,符合要求的是( )。
A.室内净高于2.2m B.每间宿舍居住人员1 8人
C.2层床铺 D.通道宽度1.2m
59.根据《中华人民共和国招标投标法》,建设工程招标的方式不包括( )。
A.公开招标 B.无限竞争性招标
C.邀请招标 D.议标
60.投标单位取得投标资格,获得投标文件之后的首要工作是( )。
A.审核工程量清单 B.编制施工方案或施工组织设计
C.进行各项调查 D.研究招标文件
61.根据《中华人民共和国合同法》,属于建设工程合同的是( )。
A.监理合同 B.咨询合同
C.勘察设计合同 D.代理合同
62.关于分包人关系的说法,正确的是( )。
A.分包人须服从承包人转发的发包人或工程师与分包工程有关的指令
B.在某些情况下,分包人可以与发包人或工程师发生直接工作关系
C.分包人可以就有关工程指令问题,直接致函发包人或工程师
D.当涉及质量问题时,发包人或工程师可以直接向分包人发出指令
63.在国际上,采用固定总价合同,在业主和承包商都无法预测风险的条件下和可能有工程变更的情况下,( )。
A.承包商承担了较少的风险,业主的风险较大
B.业主承担了全部风险
C.承包商承担了较大的风险,业主的风险较小
D.承包商承担了全部风险
64.建设工程履约担保的有效期是指( )。
A.从工程开工之日到工程竣工交付之日
B.从签订合同之日到工程竣工交付之日
C.从合同生效之、日到保修期结束
D.从收到预付款之日到保修期结束
65.合同分析时,对于“违约责任”,并不分析( )。
A.承包人不能按合同规定工期完成工程的违约金或承担发包人损失的条款
B.由于不可抗力造成对方人员和财产损失的赔偿条款
C.由于预谋或故意行为造成对方损失的处罚和赔偿条款等
D.由于承包人不履行或不能正确地履行合同责任,或出现严重违约时的处理规定
66.专业分包人须在进场前,将其承包范围内的施工组织设计报技术部,由( )后可依照施工。
A.项目经理审核、公司总工审批
B.项目经理审核、公司技术部审批
C.项目总工审核、公司技术部审批
D.公司总工审核、项目经理审批
67.索赔是指在合同的实施过程中,合同一方因对方不履行或未能正确履行合同所规的义务或未能保证承诺的合同条件实现而( ),向对方提出的补偿要求。
A.拖延工期后 B.遭受损失后
C.产生分歧后 D.提起公诉后
68.某工程基础施工中出现了意外情况,导致了工程量由原来的2800m3增加到3500m3原定工期是40天,则承包商可以提出的工期索赔值是( )天。
A.5 B.6
C.8 D.1 0
69.国际工程承包合同的争议解决应该首选( )方式。
A.协商 B.调解
D.诉讼
C.仲裁
70.当今时代进行信息管理的核心手段是( )。
A.基于网络的信息处理平台 B.委托咨询公司
C.设立信息管理部门 D.信息的分类
二、多项选择题(共30题,每题2分。每题的备选项中,有2个或2个以上符合题意,至少有1个错项。错选,本题不得分;少选,所选的每个选项得0.5分)
1.建设工程管理工作是一种增值服务工作,其核心任务是为( )增值。
A.工程的开发 B.工程的建设
C.工程的运营 D.工程的使用
E.工程的运行
2.在建设工程项目管理中,施工方项目管理的任务有( )。
A.施工安全管理 B.施工合同管理
C.施工信息管理 D.施工成本控制
E.建设项目与外部环境的协调
3.项目管理中,常用的组织结构模式有( )。
A.职能组织结构 B.线性组织结构
C.事业部制组织结构 D.矩阵组织结构
E.混合组织结构
4.施工总承包管理模式与施工总承包模式的区别主要体现在( )。
A.施工图设计、施工招标和施工等工作开展程序不同
B.与分包单位的合同关系有可能不同
C.分包单位的选择和认可程序不同
D.施工总承包管理单位和施工总承包单位的组织结构与人员配备不同
E.对分包单位的管理和服务不同
5.关于建设工程项目管理规划编制的说法错误的有( )。
A.项目管理规划应由项目经理编制
B.项目管理规划的内容上没有统一的规定,应根据项目的特点而定
C.项目管理规划必须随着情况的变化而进行动态调整
D.如果采用建设工程总承包模式,则由总承包方编制建设工程项目管理规划
E.建设工程项目管理规划的内容不包括风险管理的策略
6.依据我国标准,属于大型房屋建筑工程的有( )。
A.建筑面积4.5万m2的某住宅楼工程
B.28层的写字楼工程
C.单项建安合同额1.2亿元的某酒店
D.建筑面积9万m2的住宅小区
E.单跨跨度36m的体育场馆
7.在施工过程中,投资的计划值和实际值的比较包括( )。
A.工程合同价与工程概算的比较 B.工程合同价与工程预算的比较
C.工程款支付与工程概算的比较 D.工程款支付与工程预算的比较
E.工程决算与投资规划的比较
8.项目经理在承担项目施工管理过程中,在企业法定代表人授权范围内,行使以下管理权力( )。
A.选择施工作业队伍 B.进行合理的经济分配
C.签署合同 D.购置设备
E.调配进入项目的人、财、物
9.根据我国相关规定,下列工程中需要编制工程建设监理实施细则的有( )。
A.大中型工程项目 B.外国政府投资的项目
C.专业性较强的项目 D.建筑面积1万m2以下的住宅工程
E.政府投资项目
10.下列费用核算中,属于施工成本核算的有( )。
A.结构件费核算 B.管理费核算
C.措施费核算 D.临时设施费核算
E.间接费核算
11.关于项目费用偏差分析方法的说法,正确的有( )。
A.横道图法形象、直观 B.横道图法是最常见的一种方法
C.表格法反映的信息量大 D.表格法具有灵活、适用性强的优点
E.曲线法能够直接用于定量分析
12.在分部分项工程成本分析的过程中“三算”对比是指( )之间的比较。
A.预算成本 B.动态成本
C.目标成本 D.实际成本
E.偏差成本
13.建设工程进度控制的主要工作环节包括( )。
A.进度目标的分析和论证
B.编制进度计划
C.定期跟踪检查进度计划的执行情况
D.研究进度控制的措施
E.调整进度计划
14.大型建设工程项目的总进度纲要的主要内容包括( )。
A.项目实施的总体部署 B.总进度规划
C.各子系统进度规划 D.确定里程碑事件的计划进度目
E.项目实施的主客观条件
15.下列网络计划参数中,以计划工期作为约束条件的有( )。
A.最早完成时间 B.总时差
C.最迟完成时间 D.自由时差
E.时间间隔
16.下图所示的某工程双代号时标网络计划,在执行到第4周末和第10周末时,检查其实际进度如图中前锋线所示,检查结果表明( )。

A.第4周末检查时,工作B拖后2周,但不影响工期
B.第4周末检查时,工作A拖后1周,影响工期1周
C.第10周末检查时,工作I提前1周,可使工期提前1周
D.第10周末检查时,工作G拖后1周,但不影响工期
E.在第5~10周内,工作E和工作F的实际进度正常
17.进度控制的主要工作环节包括( )。
A.进度目标的分析和论证 B.编制进度计划
C.进度计划整体分析 D.定期跟踪进度计划的执行情况
E.调整进度计划
18.关于质量管理体系文件的说法,正确的有( )。
A.所有企业程序文件的内容及详略有统一规定的形式
B.质量手册是企业质量管理系统的纲领性文件
C.质量方针和质量目标是企业质量管理的方向和目标,也是企业质量经营理念的反映
D.质量记录具有可追溯性
E.质量记录无统一规定的形式和程序,可视企业情况而定
19.运用排列图法进行质量管理时,正确的是( )。
A.进行质量抽样检查
B.得到质量特性不合格点统计数据
C.按照质量特性不合格点数从大到小的顺序,整理并做排列表
D.画出因果分析图
E.分别计算不合格质量特性的累计频数和累计频率
20.建设工程项目质量政府监督的主要职能包括( )。
A.监督检查隐蔽工程质量
B.监督工程参与各方的质量行为
C.监督检查环境质量
D.监督检查工程实体的施工质量
E.监督检查工程建设强制性标准的执行情况
21.职业健康安全管理体系与环境管理体系培训的目的有( )。
A.使有关人员了解建立体系的重要性
B.使有关人员了解标准的主要思想
C.使有关人员了解标准的主要内容
D.证实体系处于有效运行状态
E.表明组织对职业健康安全管理与环境管理的承诺,特别是最高管理者的承诺
22.安全预控对策的活动阶段包括( )。
A.组织准备 B.事故征兆诊断
C.日常监控 D.识别事故征兆
E.事故危机管理
23.专项应急预案中信息报告程序主要包括( )。
A.确定报警系统及程序
B.确定现场报警方式
C.确定24h与相关部门的通信、联络方式
D.明确应急反应人员向外求援的方式
E.明确相互认可的通告、报警形式和内容
24.属于现场消防防火重点部位的有( )。
A.电料库房 B.油漆间
C.木工间 D.总配电室
E.生活区宿舍
25.关于招标信息修正的说法,下列描述正确的有( )。
A.招标人在招标文件发布后,发现有问题可以按有关原则进行进一步的澄清和修改
B.招标人对已发出的招标文件进行澄清和修改,应当在招标文件要求提交投标文件截止时间至少15日前发出
C.所有澄清文件必须以书面形式进行
D.澄清和修改的内容与招标文件没有关系
E.所有澄清文件没有必要通知所有招标文件的收受人
26.建设工程项目总承包是指工程总承包企业按照合同约定,承担工程项目的( )等工作,并对承包工程的质量、安全、工期、造价全面负责。
A.勘察设计 B.设备采购
C.施工 D.交付使用
E.培训
27.合同分析,一般要分析的内容包括( )。
A.合同的法律基础 B.施工工期
C.违约责任 D.承包人的主要任务
E.竣工结算程序
28.工期索赔的计算方法有( )。
A.网络分析法 B.修正的总费用法
C.比例分析法 D.实际费用法
E.分项计算法
29.与诉讼方式比较,采用仲裁方式解决合同争议的特点有( )。
A.仲裁程序效率高 B.仲裁的费用相对较高
C.仲裁周期短 D.保密性
E.专业化的仲裁员
30.工程档案编码应根据( )而建立。
A.项目实施单位需求 B.档案管理人员学历水平
C.项目特点 D.项目参与各方组织架构
E.有关工程档案的规定
【答案与解析】
一、单项选择题
1.答案D:
选项A的正确说法应为工程项目管理的时间是项目实施阶段,选项B的正确说法应为建设工程管理的时间是项目的全寿命周期,选项C的正确说法应为建设工程管理的核心任务是为工程的建设和使用增值。所以D正确。
2.答案C:
确保工程建设安全,提高工程质量,有利于投资控制属于工程建设增值。所以C正确。
3.答案D:
构成业主方3 5分块项目管理的任务,其中安全管理是项目管理中的最重要的任务,因为安全管理关系到人身的健康与安全,而投资控制、进度控制、质量控制和合同管理等则主要涉及物质的利益。所以D正确。
4.答案C:
合同结构图反映业主方与项目各参与方之间,以及项目各参与方之间的合同关系。所以C正确。
5.答案A:
为了编制项目管理任务分工表,首先应对项目实施的各阶段的费用控制、进度控制、质量控制、合同管理、信息管理和组织与协调等管理任务进行详细分解。本题考查的就是这一步骤。所以A正确。
6.答案C:
建设工程项目实施阶段组织策划的主要工作内容包括:业主方项目管理的组织结构、任务分工和管理职能分工、项目管理工作流程、建立编码体系。所以C正确。
7.答案B:
我国业主方主要通过设计招标的方式,而国际上常用设计竞赛方式。所以B正确。
8.答案C:
业主方自行编制或委托顾问工程师编制项目建设纲要或设计纲要,是建设项目工程总承包方编制项目设计建议书的依据。所以C正确。
9.答案D:
施工总承包模式在投资控制方面的特点之一为:一般以施工图设计为投标报价的基础,投标人的投标报价较有依据。所以D正确。
10.答案B:
施工总承包管理单位还需要负责向分包人提供相应的配合施工的服务。所以B正确。
11.答案A:
建设工程项目管理规划涉及整个项目实施阶段,它属于业主方项目管理范畴。如果采用建设项目工程总承包,业主方也可以委托项目工程总承包方编制建设工程项目管理规划。所以A正确。
12.答案A:
《建设工程项目管理规范》GB/T 50326--2006规定:①项目管理规划大纲应由组织的管理层或组织委托的项目管理单位编制;②项目管理实施规划应由项目经理编制。所以A正确。
13.答案A:
依据价值公式:价值一功能/费用。所以A正确。
14.答案A:
《建筑施工组织设计规范》GB/T 50502--2009对施工组织设计作了如下的解释:以施工项目为对象编制的,用以指导施工的技术、经济和管理的综合性文件。所以选项A正确。所以A正确。
15.答案A:
组织措施,分析由于组织的原因而影响项目目标实现的问题,并采取相应的措施,如调整项目组织结构、任务分工、管理职能分工、工作流程组织和项目管理班子人员等。所以A正确。
16.答案C:
项目目标动态控制的核心是在项目实施的过程中定期地进行项目目标的计划值和实际值的比较,当发现项目目标偏离时采取纠偏措施。所以C正确。
17.答案D:
建筑施工企业项目经理,是指受企业法定代表人委托对工程项目施工过程全面负责的项目管理者,是建筑施工企业法定代表人在工程项目上的代表人。所以D正确。
18.答案B:
项目管理责任书的编制依据有项目合同文件、组织的管理制度、项目管理规划大纲、组织的经营方针和目标。所以B正确。
19.答案A:
若某事件经过风险评估,它处于风险区A,则应采取措施,降低其概率,即使它移位至风险区B;或采取措施降低其损失量,即使它移位至风险区C。风险区B和C的事件则应采取措施,使其移位至风险区D。所以A正确。
20.答案B:
工程建设监理实施细则应在工程施工开始前编制完成,并必须经总监理工程师批准。所以B正确。
21.答案D:
本题考查对建设工程项目施工成本控制概念的理解,项目管理层应对生产成本进行管理。所以D正确。
22.答案B:
施工项目成本控制应贯穿于施工项目从投标阶段开始直到项目竣工验收的全过程,它是企业全面成本管理的重要环节。所以B正确。
23.答案C:
A、B、D是竞争性成本计划的编制依据。所以C正确。
24.答案B:
选项B不属于控制人工费支出的主要手段。所以B正确。.
25.答案D:
偏差分析可以采用不同的表达方法,常用的有横道图法、表格法和曲线法。所以D正确。
26.答案B:
因素分析法又称连环置换法。这种方法可用来分析各种因素对成本的影响程度。因素分析法的计算步骤应确定分析对象,并计算出实际与目标数的差异。所以B正确。
27.答案C:
本题考查对年度成本分析的理解,年度成本分析的内容,除了月(季)度成本分析的六个方面以外,重点是针对下一年度的施工进展情况规划切实可行的成本管理措施。所以C正确。
28.答案D:
业主方进度控制的任务是控制整个项目实施阶段的进度,从设计准备阶段到项目动用前的准备阶段;设计方进度控制的任务是依据设计任务委托合同对设计工作进度的要求控制设计工作进度,并使之与招标、施工、物资采购等工作进度相协调;施工方进度控制的任务是依据施工任务委托合同对施工进度的要求控制施工进度;供货方控制的任务是根据供货合同对供货的要求控制供货进度,供货进度计划应包括供货的所有环节,如采购、加工制造、运输等。所以D正确。
29.答案C:
图中的第二平面是多个相互关联的不同项目参与方的进度计划组成的计划系统。其第三和第四平面是多个相互关联的不同计划深度的进度计划组成的计划系统。
30.答案C:
建设工程项目总进度目标论证的工作步骤如下:①调查研究和收集资料;②项目结构分析;③进度计划系统的结构分析;④项目的工作编码;⑤编制各层进度计划;⑥协调各层进度计划的关系,编制总进度计划;⑦若编制的总进度计划不符合项目的进度目标,则设法调整;⑧若经过多次调整,进度目标无法实现,则报告项目决策者。所以C正确。
31.答案C:
计算工期为:2+3+4+3=12天。所以C正确。
32.答案D:
最迟开始时间等于最早开始时间,即总时差为零。所以D正确。
33.答案B:
因为工作M的完成节点为关键节点,则该工作的紧后工作中必有一项是关键工作。如果该工作的完成节点是终点节点,那么其总时差就等于该工作的自由时差,就是时标网络图中波形线的长度。如果该工作的完成节点非终点节点,那么该工作的总时差等于其紧后工作的总时差与该工作自由时差的最小值。该工作紧后工作总时差的最小值是0,所以该工作的总时差等于自由时差。所以B正确。
34.答案A:
工作的总时差是指在不影响紧后工作的最迟开始时间的前提下,本工作可以利用的机动时间,因此TFN=25-6-max{ 10,12,13}=6。所以A正确。
35.答案C:
计算该单代号搭接网络计划的时间参数,如下图所示:

所以C正确。
36.答案A:
编制信息传递工作流程属于组织措施。所以A正确。
37.答案B:
选项B属于技术原因。所以B正确。
38.答案A:
选项A表述不正确,事故调查报告的主要内容包括“事故处理的建议方案与措施”。
所以A正确。
39.答案D:
因果分析图法是寻找问题及其原因的方法,分析结果就是需要确定其中最主要的原因,然后有的放矢地处置和管理。所以D正确。
40.答案C:
直方图法的观察分析方法有:①通过分布形状观察分析;②通过分布位置观察分析。其中通过分布位置观察分析时有六种情形。所以C正确。
41.答案D:
政府质量监督机构对施工过程中发生的质量问题、质量事故进行查处。根据质量监督检查状况,对查实的问题可签发“质量问题整改通知单”或“局部暂停施工指令单”,对问题严重的单位也可根据问题性质签发“临时收缴资质证书通知书”。所以D正确。
42.答案C:
职业健康安全管理体系和环境管理体系都是组织管理体系的一部分,管理的主体是组织。所以C正确。
43.答案B:
依据建筑产品的特性,建设工程职业健康安全和环境管理的特点有:复杂性,职业健康安全和环境管理涉及大量的露天作业,受到气候条件、工程地质和水文地质、地理条件和地域资源等不可控因素的影响较大。所以B正确。
44.答案B:
依据建筑产品的特性,建设工程职业健康安全和环境管理是持续的,项目建设一般具有周期长的特点,从设计、实施直至投产阶段,诸多工序环环相扣。前一道工序的隐患,可能在后续的工序中暴露,酿成安全事故。所以B正确。
45.答案C:
作业文件是指管理手册、程序文件之外的文件,一般包括作业指导书(操作规程)、管理规定、监测活动准则及程序文件引用的表格。所以C正确。
46.答案D:
内部审核是组织对其自身的管理体系进行的审核,是对体系是否正常进行以及是否达到了规定的目标所作的独立的检查和评价,是管理体系自我保证和自我监督的一种机制。所以D正确。
47.答案C:
安全生产许可证的有效期为3年。安全生产许可证有效期满需要延期的,前3个月向原安全生产许可证颁发管理机关办理延期手续。所以C正确。
48.答案D:
特种作业人员应具备的条件共有5项,其中包括A、B、C选项的内容。所以D正确。
49.答案B:
内部管理不良预警系统:质量管理预警;设备管理预警;人的行为活动管理预警。所以B正确。
50.答案A:
Ⅱ级预警,表示受到事故的严重威胁,用橙色表示。所以A正确。
51.答案C:
监测是预警活动的前提,监测信息档案中的信息是整个预警系统共享的,它将监测信息及时、准确地输入下一预警环节。所以C正确。
52.答案B:
专项应急预案是针对具体的事故类别(如基坑开挖、脚手架拆除等事故)、危险源和应急保障而制定的计划或方案,是综合应急预案的组成部分,应按照综合应急预案的程序和要求组织制定,并作为综合应急预案的附件。所以B正确。
53.答案B:
生产经营单位应当制定本单位的应急预案演练计划,根据本单位的事故预防重点,每年至少组织一次综合应急预案演练或者专项应急预案演练,每半年至少组织一次现场处置方案演练。所以B正确。
54.答案C:
按照我国《企业职工伤亡事故分类》GB 6441―1986标准规定,高处坠落指由于危险能差引起的伤害,包括从架子、屋架上坠落以及平地坠入坑内等。所以C正确。
55.答案D:
重大事故,是指造成1 0人以上30人以下死亡,或者50人以上1 00人以下重伤,或者5000万元以上1亿元以下直接经济损失的事故。所以D正确。
56.答案A:
重大事故、较大事故、一般事故分别由事故发生地省级人民政府、设区的市级人民政府、县级人民政府负责调查。所以A正确。
57.答案C:
根据国家标准《建筑施工场界噪声排放标准》GB 12523―2011的要求,对建筑施工施工过程中厂界环境噪声限值为昼间70(A),夜间为55(A)。所以c正确。
58.答案D:
现场宿舍室内净高不得小于2.4m,通道宽度不得小于0.9m,每间宿舍居住人员不得超过16人;床铺不得超过2层,严禁使用通铺。所以D正确。
59.答案D:
建设工程招标分公开招标(无限竞争性招标)和邀请招标(有限竞争性招标)两种方式。所以D正确。
60.答案D:
投标单位取得投标资格,获得投标文件之后的首要工作就是认真仔细地研究招标文件,充分了解其内容和要求,以便有针对性地安排投标工作。所以D正确。
61.答案C:
根据《中华人民共和国合同法》,勘察合同、设计合同、施工承包合同属于建设工程合同,工程监理合同、咨询合同等属于委托合同。所以c正确。
62.答案A:
未经承包人允许,分包人不得以任何理由与发包人或工程师发生直接工作关系,分包人不得直接致函发包人或工程师,也不得直接接受发包人或工程师的指令。所以A正确。
63.答案C:
采用固定总价合同,在业主和承包商都无法预测的风险条件下和可能有工程变更的情况下,承包商承担了较大的风险,业主的风险较小。所以C正确。
64.答案A:
履约担保的有效期始于工程开工之日,终止日期则可以约定为工程竣工交付之日或者保修期满之日。所以A正确。
65.答案B:
如果合同一方未遵守合同规定,造成对方损失,应受到相应的合同处罚。通常分析:①承包人不能按合同规定工期完成工程的违约金或承担业主损失的条款;②由于管理上的疏忽造成对方人员和财产损失的赔偿条款;③由于预谋或故意行为造成对方损失的处罚和赔偿条款等;④由于承包人不履行或不能正确的履行合同责任,或出现严重违约时的处理规定。所以13正确。
66.答案C:
对分包施工单位的管理办法,包括施工质量、进度、程序、信息等方面,其中一条就是专业分包人须在进场前,将其承包范围内的施工组织设计报技术部,由项目总工审核,公司技术部审批后方可依照施工。所以C正确。
67.答案B:
建设工程索赔通常是指在合同履行过程中,合同当事人一方因对方不履行或未能正确履行合同或者由于其他非自身因素而受到经济损失或权利损害,通过合同规定的程序向对方提出经济或时间补偿要求的行为。所以13正确。
68.答案D:
工期索赔值=原工期×新增工程量/原工程量=40×(3500-2800)/2800=10天。所以D正确。
69.答案A:
协商解决争议是最常见也是最有效的方式,也是应该首选的最基本的方式。双方依据合同,通过友好磋商和谈判,互相让步,折中解决合同争议。所以A正确。
70.答案A:
由于建设工程项目大量数据处理的需要,在当今的时代应重视利用信息技术的手段进行信息管理。其核心的手段是基于互联网的信息处理平台。所以A正确。
二、多项选择题
1.答案B、D、E:
建设工程管理工作是一种增值服务工作,其核心任务是为工程的建设和使用增值,见图1Z201012工程管理的增值。工程的使用增值也可称为工程的运行增值。所以B、D、E正确。
2.答案A、B、C、D:
施工方项目管理的任务包括:施工安全管理;施工成本控制;施工进度控制;施工质量控制;施工合同管理;施工信息管理;与施工有关的组织与协调等。 E是建设方的任务。所以A、B、C、D正确。
3.答案A、B、D:
考试用书(第四版),第22页,1Z201032 0常用的组织结构模式包括职能组织结构/线性组织结构和矩阵组织结构等。所以A、B、D正确。
4.答案A、B、C:
施工总承包管理模式与施工总承包模式的区别主要有:工作开展程序不同;合同关系不同;分包单位的选择和认可不同;施工总承包管理合同中一般只确定施工总承包管理费,不需要确定建筑安装工程造价;施工总承包管理单位和总承包单位一样,既要负责对现场施工的总体管理和协调,也要负责向分包人提供相应的配合施工的服务。所以A、B、C正确。
5.答案A、E:
选项A,《建设工程项目管理规范》GB/T 50326--2006规定:①项目管理规划大纲应由组织的管理层或组织委托的项目管理单位编制;②项目管理实施规划应由项目经理编制。选项E,项目管理规划的内容包括风险管理策略。所以A、E正确。
6.答案A、B、C、E:
在我国,大型房屋建筑工程标准一般指:2 5层以上的房屋建筑工程;高度100m及以上的构筑物或建筑物工程单体建筑面积3万m2及以上的房屋建筑工程;跨度30m及以上的房屋建筑工程;建筑面积1 0万m2及以上的住宅小区或建筑群体工程;单项建安合同额1亿元及以上的房屋建筑工程。所以A、B、C、E正确。
7.答案A、B、C、D:
在施工过程中,投资的计划值和实际值的比较包括:工程合同价和工程概算的比较;工程合同价与工程预算的比较;工程款支付与工程概算的比较;工程款支付与工程预算的比较;工程款支付与工程合同价的比较;工程决算与工程概算、工程决算与工程预算、工程决算与工程合同价的比较。所以A、B、C、D正确。
8.答案A、B、E:
项目经理行使的管理权力包括:①组织项目管理班子;②以企业法定代表人的代表身份处理与所承担的工程项目有关的外部关系,受托签署有关合同;③指挥工程项目建设的生产经营活动,调配并管理进入工程项目的人力、资金、物资、机械设备等生产要素;④选择施工作业队伍;⑤进行合理的经济分配;⑥企业法定代表人授予的其他管理权力。所以A、B、E正确。
9.答案A、C:
对中型及中型以上或专业性较强的工程项目,项目监理机构应编制工程建设监理实施细则。所以A、C正确。
10.答案A、C、E:
施工成本核算的基本内容包括:人工费核算、材料费核算、周转材料费核算、结构件费核算、机械使用费核算、措施费核算、分包工程成本核算、间接费核算、项目月度施工
成本报告编制。所以A、C、E正确。
11.答案A、C、D:
横道图法形象、直观;表格法是最常见的一种方法;表格法反映的信息量大;表格法具有灵活、适用性强的优点;表格法将项目编号、名称、各费用参数以及费用偏差数综合归纳入一张表格中,并且直接在表格中进行比较。由于各偏差参数都在表中列出,使得费用管理者能够综合地了解并处理这些数据。此法能够直接用于定量分析。所以A、C、D正确。
12.答案A、C、D:
本题考查对分部分项工程成本分析的理解,分部分项工程成本分析的方法是:进行预算成本、目标成本和实际成本的“三算”对比。所以A、C、D正确。
13.答案A、B、C、E:
建设工程进度控制的主要工作环节除A、B、C、E外,还包括:采取纠偏措施。所以A、B、C、E正确。
14.答案A、B、C、D:
大型建设工程项目总进度纲要的主要内容包括:项目实施的总体部署;总进度规划;各子系统进度规划;确定里程碑事件的计划进度目标;总进度目标实现的条件和应采取的措施等。所以A、B、C、D正确。
15.答案B、C:
工作最早完成时间、自由时差、时间间隔的计算都与计划工期无关,而总时差和最迟完成时间的计算依赖于计划工期。所以B、C正确。
16.答案B、D:
从第4周的前锋线可知,工作A拖后1周,作为关键工作,影响工期1周。工作B拖后2周,超过其总时差,影响工期1周,其紧后工作E、F都受影响。从第1 0周的前锋线可知,工作G拖后1周,未超过总时差,不影响工期。工作H进度正常。工作I提前1周,但不是关键工作,不能使工期提前1周。同时,可以看出第5~10周必然采取了措施,否则工作H不能实现计划目标,工作I甚至超过了计划目标。所以B、D正确。
17.答案A、B、D、E:
进度控制的主要工作环节包括进度目标的分析和论证、编制进度计划、定期跟踪进度计划的执行情况、采取纠偏措施以及调整进度计划。所以A、B、D、E正确。
18.答案B、C、D:
选项A错误,程序文件的内容及详略程度没有统一规定j以适合企业使用;选项E错误,质量记录以规定的形式和程序进行,并有实施、验证、审核等签署意见。所以B、C、D正确。
19.答案A、B、C、E:
选项D因果分析图与排列图是两种分析方法。所以A、B、C、E正确。
20.答案B、D:
建设工程项目质量政府监督的主要职能包括:监督工程建设参与各方的质量行为和监督检查工程实体的施工质量。所以B、D正确。
21.答案A、B、C:
职业健康安全管理体系与环境管理体系培训的目的是使有关人员了解建立体系的重要性,了解标准的主要思想和内容。所以选项A、B、C正确。
22.答案A、C、E:
预警体系建立的原则:及时性、全面性、高效性、客观性。所以A、C、E正确。
23.答案A、B、D、E:
专项应急预案信息报告程序内容包括:确定报警系统及程序;确定现场报警方式,如电话、警报器等;确定24h与相关部门的通信、联络方式;明确相互认可的通告、报警形式和内容;明确应急反应人员向外求援的方式。所以A、B、D、E正确。
24.答案B、C、D:
易燃易爆物品堆放间、油漆间、木工间、总配电室等消防防火重点部位要按规定设置灭火机和消防砂箱,并有专人负责,对违反消防条例的有关人员进行严肃处理。所以B、C、D正确。
25.答案A、B、C:
招标人对已发出的招标文件进行必要的澄清或者修改,应当在招标文件要求提交投标文件截止时间至少1 5日前发出;所有澄清文件必须直接通知所有招标文件收受人。所以A、B、C正确。
26.答案A、B、C、D:
建设工程项目总承包的任务应该明确规定。从时间范围上,一般可包括从工程立项到交付使用的工程建设全过程,具体可包括:勘察设计、设备采购、施工、试车(或交付使用)等内容。所以A、B、C、D正确。
27.答案A、B、C、D:
合同分析,在不同的时期,为了不同的目的,有不同的内容,通常有以下几个方面:合同的法律基础;承包人的主要任务;发包人的责任;合同价格;施工工期;违约责任;验收、移交和保修;索赔程序和争执的解决。所以A、B、C、D正确。
28.答案A、C:
工期索赔的计算方法包括:直接法、比例分析法、网络分析法。所以A、C正确。
29.答案A、C、D、E:
与诉讼方式相比,采用仲裁方式解决合同争议具有以下特点:①仲裁程序效率高,周期短,费用少;②保密性:仲裁程序一般都是保密的。从开始到终结的全过程中,双方当事人和仲裁员及仲裁机构都负有保密的责任。③专业化:建设工程承包合同争议的双方往往会指定那些具有建设工程技术、管理和法规等知识的专业人士担任仲裁员,从而可以更加快捷、更加公正地审理和解决合同争议。所以A、C、D、E正确。
30.答案A、C、E:
工程档案编码,应根据工程档案的规定、项目的特点、项目实施单位需求等而建立。所以A、C、E正确。

最新资讯
- 【免费领取】一级建造师考试基础自测卷,备考必备!2025-11-03
- 考生速进!2026年一建备考,好用的刷题APP是哪个?2025-10-21
- 别错过!8月30日9点一建决赛圈等你来考2025-08-30
- 别错过!2025年一级建造师黄金AB卷免费领取啦2025-08-11
- 提分必备!2025年一建《建设工程经济》经典100题免费下载2025-07-26
- 免费下载!2025年一级建造师《工程法规》经典100题,助你冲刺提分2025-07-23
- 备考必刷!2025年一级建造师项目管理经典100题免费下载2025-07-23
- 一级建造师题目讲解视频:提高价值的途径2025-07-17
- 一级建造师题目解析视频:阀门安装前阀门搬运的正确做法2025-07-16
- 备考必看!免费获取2025年新版一级建造师经典100题2025-07-07