一级建造师《项目管理》复习题集第三章第三节
【摘要】环球网校一级建造师考试频道为方便各位一级建造师考生更好的备考2015年一级建造师考试,特地整理一级建造师考试相关练习题,并附解析与参考答案,本文为一级建造师《项目管理》复习题集第三章第三节,希望各位一级建造师考生通过自测练习题提高自己。更多试题和资料敬请关注环球网校一级建造师考试频道,您可以按【ctrl键+D】手动收藏此页面。
点击查看>>>2014年一级建造师《项目管理》教材下载第一章
1 Z 2 0 3 0 3 0 建设工程项目进度计划的编制和调整方法
复习要点
1.横道图进度计划的编制方法
横道图是一种最简单、运用最广泛的传统的进度计划方法,尽管有许多新的计划技术,横道图在建设领域中的应用仍非常普遍。
横道图用于小型项目或大型项目的子项目上,或用于计算资源需要量和概要预示进度,也可用于其他计划技术的表示结果。
横道图进度计划表中的进度线(横道)与时间坐标相对应,这种表达方式较直观,易看懂计划编制的意图。但是,横道图进度计划法也存在一些问题,如:
(1)工序(工作)之间的逻辑关系可以设法表达,但不易表达清楚;
(2)适用于手工编制计划;
(3)没有通过严谨的进度计划时间参数计算,不能确定计划的关键工作、关键路线与时差;
(4)计划调整只能用手工方式进行,其工作量较大;
(5)难以适应大的进度计划系统。
2.工程网络计划的编制方法
国际上,工程网络计划有许多名称,如CPM、PERT、CPA、MPM等。工程网络计划的类型可按工作持续时间的特点划分,也可按工作和事件在网络图中的表示方法划分,还可按计划平面的个数划分。
我国《工程网络计划技术规程》JGJ/T 121--99推荐的常用工程网络计划类型包括:双代号网络计划;单代号网络计划;双代号时标网络计划;单代号搭接网络计划。
双代号网络图是以箭线及其两端节点的编号表示工作的网络图。单代号网络图是以节点及其编号表示工作,以箭线表示工作之间逻辑关系的网络图。双代号时标网络计划是以时间坐标为尺度编制的网络计划。双代号时标网络计划中以实箭线表示工作,以虚箭线表示虚工作,以波形线表示工作的自由时差。单代号网络搭接计划是前后工作之间有多种逻辑关系的肯定型网络计划,其前后工作之间的多种逻辑关系包括:STS、FTF,STF、FTS等时距。
(1)双代号网络计划
双代号网络图是以箭线及其两端节点的编号表示工作的网络图。
1)箭线(工作)
工作是泛指一项需要消耗人力、物力和时间的具体活动过程,也称工序、活动、作业。双代号网络图中,每一条箭线表示一项工作。箭线的箭尾节点i表示该工作的开始,箭线的箭头节点歹表示该工作的完成。
在双代号网络图中,任意一条实箭线都要占用时间,并多数要消耗资源。在建设工程中,一条箭线表示项目中的一个施工过程,它可以是一道工序、一个分项工程、一个分部工程或一个单位工程,其粗细程度和工作范围的划分根据计划任务的需要确定。
在双代号网络图中,为了正确地表达图中工作之间的逻辑关系,往往需要应用虚箭线。虚箭线是实际工作中并不存在的一项虚设工作,故它们既不占用时间,也不消耗资源,一般起着工作之间的联系、区分和断路三个作用。
2)节点(又称结点、事件)
节点是网络图中箭线之间的连接点。在时间上节点表示指向某节点的工作全部完成后该节点后面的工作才能开始的瞬间,它反映前后工作的交接点。网络图中有三个类型的节点:起点节点、终点节点和中间节点。
3)线路
网络图中从起始节点开始,沿箭头方向顺序通过一系列箭线与节点,最后达到终点节点的通路称为线路。在一个网络图中可能有很多条线路,线路中各项工作持续时间之和就是该线路的长度,即线路所需要的时间。
在各条线路中,有一条或几条线路的总时间最长,称为关键路线,一般用双线或粗线标注。其他线路长度均小于关键线路,称为非关键线路。
4)逻辑关系
网络图中工作之间相互制约或相互依赖的关系称为逻辑关系,它包括工艺关系和组织关系,在网络中均应表现为工作之间的先后顺序。
生产性工作之间由工艺过程决定的,非生产性工作之间由工作程序决定的先后顺序称为工艺关系。工作之间由于组织安排需要或资源(人力、材料、机械设备和资金等)调配需要而确定的先后顺序关系称为组织关系。
网络图必须正确地表达整个工程或任务的工艺流程和各工作开展的先后顺序,以及它们之间相互依赖和相互制约的逻辑关系。因此,绘制网络图时必须遵循一定的基本规则和要求。
双代号网络图的绘图规则:
①双代号网络图必须正确表达已确定的逻辑关系。
②双代号网络图中,不允许出现循环回路。
③双代号网络图中,在节点之间不能出现带双向箭头或无箭头的连线。
④双代号网络图中,不能出现没有箭头节点或没有箭尾节点的箭线。
⑤双代号网络图的某些节点有多条外向箭线或多条内向箭线时,为使图形简洁,可使用母线法绘制(但应满足一项工作用一条箭线和相应的一对节点表示)。
⑥绘制网络图时,箭线不宜交叉。
⑦双代号网络图中应只有一个起点节点和一个终点节点(多目标网络计划除外),而其他所有节点均应是中间节点。
⑧双代号网络图应条理清楚,布局合理。
(2)双代号时标网络计划
双代号时标网络计划是以时间坐标为尺度编制的网络计划。时标网络计划中应以实箭线表示工作,以虚箭线表示虚工作,以波形线表示工作的自由时差。
双代号时标网络计划的一般规定:
1)双代号时标网络计划必须以水平时间坐标为尺度表示工作时间。时标的时间单位往往应根据需要在编制网络计划之前确定,可为时、天、周、月或季。
2)时标网络计划中所有工作在时间坐标上的水平投影位置,都必须与其时间参数相对应。节点中心必须对准相应的时标位置。
3)时标网络计划中虚工作必须以垂直方向的虚箭线表示。有自由时差时加波形线表示。
(3)单代号网络计划
单代号网络图是以节点及其编号表示工作,以箭线表示工作之间逻辑关系的网络图,并在节点中加注工作代号、名称和持续时间,以形成单代号网络计划。
单代号网络图与双代号网络图相比,具有以下特点:
1)工作之间的逻辑关系容易表达,且不用虚箭线,故绘图较简单;
2)网络图便于检查和修改;
3)由于工作持续时间表示在节点之中,没有长度,故不够直观;
4)表示工作之间逻辑关系的箭线可能产生较多的纵横交叉现象。
单代号网络图的绘图规则:
1)单代号网络图必须正确表达已确定的逻辑关系。
2)单代号网络图中,不允许出现循环回路。
3)单代号网络图中,不能出现双向箭头或无箭头的连线。
4)单代号网络图中,不能出现没有箭尾节点的箭线和没有箭头节点的箭线。
5)绘制网络图时,箭线不宜交叉,当交叉不可避免时,可采用过桥法或指向法绘制。
6)单代号网络图中只应有一个起点节点和一个终点节点。当网络图中有多项起点节点或多项终点节点时,应在网络图的两端分别设置一项虚工作,作为该网络图的起点节点(St)和终点节点(Fin)。

环球网校友情提示:如果您在此过程中遇到任何疑问,请登录环球网校一级建造师频道及考试论坛,随时与广大考生朋友们一起交流!
编辑推荐:
交流互动:一建微博|微信edu24ol_jzs1|QQ群342289995
(4)单代号搭接网络计划
在普通双代号和单代号网络计划中,各项工作按依次顺序进行,即任何一项工作都必须在它的紧前工作全部完成后才能开始。但在实际工作中,为了缩短工期,许多工作可采用平行搭接的方式进行。为了简单直接地表达这种搭接关系,使编制网络计划得以简化,于是出现了搭接网络计划方法。
代号搭接网络计划中的搭接关系:
1)完成到开始时距(FTSi,j):紧前工作主的完成时间与紧后工作歹的开始时间之间的时距和连接方法。
2)完成到完成时距(FTFi,j):紧前工作主的完成时间与紧后工作歹的完成时间之间的时距和连接方法。
3)开始到开始时距(STSi,j):紧前工作主的开始时间与紧后工作歹的开始时间之间的时距和连接方法。
4)开始到完成时距(STFi,j):紧前工作主的开始时间与紧后工作歹的结束时间之间的时距和连接方法。
5)混合时距:在搭接网络计划中,两项工作之间可同时由四种基本连接关系中两种以上来限制工作间的逻辑关系。
3.工程网络计划有关时间参数的计算
(1)双代号网络计划时间参数的计算步骤
1)最早开始时间和最早完成时间的计算
工作最早时间参数受到紧前工作的约束,故其计算顺序应从起点节点开始,顺着箭线方向依次逐项计算。
以网络计划的起点节点为开始节点的工作最早开始时间为零。
最早完成时间等于最早开始时间加上其持续时间。
最早开始时间等于各紧前工作的最早完成时间EFh-,的最大值
2)确定计算工期
计算工期等于以网络计划的终点节点为箭头节点的各个工作的最早完成时间的最大值。
3)最迟开始时间和最迟完成时间的计算
工作最迟时间参数受到紧后工作的约束,故其计算顺序应从终点节点起,逆着箭线方向依次逐项计算。
以网络计划的终点节点(j=n)为箭头节点的工作的最迟完成时间等于计划工期。
最迟开始时间等于最迟完成时间减去其持续时间。
最迟完成时间等于各紧后工作的最迟开始时间LSj-k是的最小值.
网络计划的计划工期Tp应按下列情况分别确定:
当已规定了要求工期Tr时,
Tp≤Tr
当未规定要求工期时,可令计划工期等于计算工期,
Tp=Tc
4)计算总时差
总时差等于其最迟开始时间减去最早开始时间,或等于最迟完成时间减去最早完成时间。
5)计算自由时差
自由时差等于其紧后工作最早开始时间的最小值减去本工作的最早完成时间。
以网络计划的终点节点(j=n)为箭头节点的工作,其自由时差等于计划工期Tp减去本工作的最早完成时间。
6)关键工作和关键线路的确定
网络计划中总时差最小的工作是关键工作。
自始至终全部由关键工作组成的线路为关键线路,或线路上总的工作持续时间最长的线路为关键线路。网络图上的关键线路可用双线或粗线标注。
(2)单代号网络计划时间参数的计算步骤
1)计算最早开始时间和最早完成时间
网络计划中各项工作的最早开始时间和最早完成时间的计算应从网络计划的起点节点开始,顺着箭线方向依次逐项计算。
网络计划的起点节点的最早开始时间为零。
工作最早完成时间等于该工作最早开始时间加上其持续时间。
工作最早开始时间等于该工作的各个紧前工作的最早完成时间的最大值。
2)网络计划的计算工期Tc
计算工期TC等于网络计划的终点节点n的最早完成时间EFn。
3)计算相邻两项工作之间的时间间隔LAGi,j
相邻两项工作i和j之间的时间间隔LAGi,j等于紧后工作j的最早开始时间ESj和本工作的最早完成时间EFi之差。
4)计算工作总时差TFi
工作i的总时差TFi应从网络计划的终点节点开始,逆着箭线方向依次逐项计算。网络计划终点节点的总时差TFn,如计划工期等于计算工期,其值为零。
其他工作i的总时差TFi等于该工作的各个紧后工作歹的总时差TFj加该工作与其紧后工作之间的时间间隔LAGi,j之和的最小值。
5)计算工作自由时差
工作i若无紧后工作,其自由时差FFj等于计划工期Tp减该工作的最早完成时间EFn。
当工作i有紧后工作j时,其自由时差FFi等于该工作与其紧后工作j之间的时间间隔LAGi,j的最小值。
6)计算工作的最迟开始时间和最迟完成时间
工作i的最迟开始时间LSi等于该工作的最早开始时间ESi与其总时差TFi之和。
工作i的最迟完成时间LFi等于该工作的最早完成时间EFi与其总时差TFi之和。
7)关键工作和关键线路的确定
总时差最小的工作是关键工作。
从起点节点开始到终点节点均为关键工作,且所有工作的时间间隔为零的线路为关键线路。
4.关键工作、关键路线和时差的确定
(1)关键工作
关键工作指的是网络计划中总时差最小的工作。当计划工期等于计算工期时,总时差为零的工作就是关键工作。
当计算工期不能满足计划工期时,可设法通过压缩关键工作的持续时间,以满足计划工期要求。在选择缩短持续时间的关键工作时,宜考虑下述因素:
1)缩短持续时间而不影响质量和安全的工作;
2)有充足备用资源的工作;
3)缩短持续时间所需增加的费用相对较少的工作等。
(2)关键线路
在双代号网络计划和单代号网络计划中,关键路线是总的工作持续时间最长的线路。该线路在网络图上应用粗线、双线或彩色线标注。
一个网络计划可能有一条或几条关键路线,在网络计划执行过程中,关键路线有可能转移。
(3)时差的运用
总时差指的是在不影响总工期的前提下,本工作可以利用的机动时间。
自由时差指的是在不影响其紧后工作最早开始时间的前提下,本工作可以利用的机动时间。
5.进度计划调整的方法
进度计划执行中的管理工作主要有以下几个方面:
(1)检查并掌握实际进展情况;
(2)分析产生进度偏差的主要原因;
(3)确定相应的纠偏措施或调整方法。
进度计划的检查的方法主要有:
(1)计划执行中的跟踪检查;
(2)收集数据的加工处理;
(3)实际进度检查记录的方式。
网络计划检查的主要内容:
(1)关键工作进度;
(2)非关键工作的进度及时差利用情况;
(3)实际进度对各项工作之间逻辑关系的影响;
(4)资源状况;
(5)成本状况;
(6)存在的其他问题。
进度计划的调整内容:
(1)调整关键线路的长度;
(2)调整非关键工作时差;
(3)增、减工作项目;
(4)调整逻辑关系;
(5)调整工作的持续时间;
(6)调整资源的投入。
一、单项选择题
1.关于横道图的说法,错误的是( )。
A.横道图上所能表达的信息量较少,不能表示活动的重要性
B.横道图不能确定计划的关键工作、关键路线与时差
C.横道图适用于手工编制计划
D.横道图能清楚表达工序(工作)之间的逻辑关系
2.与工程网络计划方法相比,横道图进度计划方法的缺点是不能( )。
A.直观表示计划中工作的持续时间
B.确定实施计划所需要的资源数量
C.直观表示计划完成所需要的时间
D.确定计划中的关键工作和时差
3.双代号网络图中,节点表示( )。
A.工作 B.工作的开始
C.工作的结束 D.工作的开始或结束
4.双代号网络图中,虚箭线表示( )。
A.自由消耗程度 B.工作的持续时间
C.工作之间的逻辑关系 D.非关键工作
5.网络图中,中间节点( )。
A.既无外向箭头,也无内向箭头 B.只有外向箭头
C.既有外向箭头,也有内向箭头 D.只有内向箭头
6.关于单代号网络计划的说法,正确的是( )。
A.箭线表示工作及其进行的方向,节点表示工作之间的逻辑关系
B.节点表示工作,箭线表示工作进行的方向
C.箭线表示工作及其进行的方向,节点表示工作的开始或结束
D.节点及其编号表示工作,箭线表示工作之间的逻辑关系
7.关于工程网络计划的说法,正确的是( )。
A.单代号搭接网络计划属于肯定型网络计划
B.双代号网络计划属于非肯定型网络计划
C.双代号时标网络计划属于非肯定型网络计划
D.单代号网络计划属于事件网络计划
8.在工程网络计划执行过程中,如果某工作进度拖后,则受影响的工作一定是该工作的( )。
A.平行工作 B.后续工作
C.先行工作 D.紧前工作
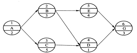
9.根据表中给定的逻辑关系所绘制的双代号网络计划如下图所示,其作图错误的是( )。
|
工作名称
|
A
|
B
|
C
|
D
|
E
|
G
|
H
|
|
紧前工作
|
|
|
A
|
A
|
A、B
|
C
|
E
|

A.节点编号不对 B.逻辑关系不对
C.有多个起点节点 D.有多个终点节点
10.总时差指的是在不影响( )的前提下,本工作可利用的机动时间。
A.紧后工作 B.持续时间
C.紧前工作 D.总工期
11.在网络计划中,工作的最早开始时间应为其所有紧前工作的( )。
A.最早完成时间的最大值 B.最早完成时间的最小值
C.最迟开始时间的最大值 D.最迟开始时间的最小值
12.在双代号网络计划中,节点的最迟时间是以该节点为( )。
A.完成节点的工作最早完成时间
B.开始节点的工作最早开始时间
C.完成节点的工作最迟完成时间
D.开始节点的工作最迟开始时间
13.网络计划中工作与其紧后工作之间的时间间隔等于该工作紧后工作的( )。
A.最早开始时间与该工作最早完成时间之差
B.最迟开始时间与该工作最早完成时间之差
C.最早开始时间与该工作最迟完成时间之差
D.最迟开始时间与该工作最迟完成时间之差
14.在搭接网络计划中,终点节点一般表示( )。
A.实际工作 B.虚拟工作
C.计划工期 D.实际工期
15.下图所示的单代号网络计划,其计算工期为( )天。

A.1 1 B.9
C.1 2 D.1 5
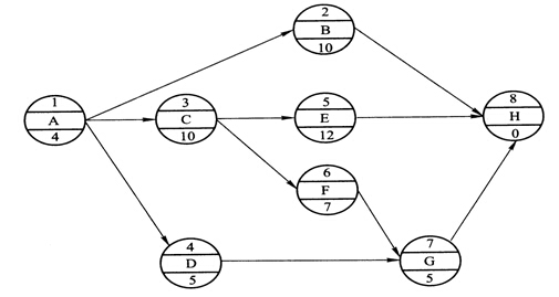
16.某工程单代号网络图如下,正确的是( )。

A.工作D的ES为2 B.工作G的FF为2
C.工作F的FF为1 D.工作H的FF为1
17.某分部工程双代号时标网络计划如下图所示,其中工作A的总时差和自由时差( )天。

A.分别为1和。 B.均为1
C.分别为2和。 D.均为0
18.在网络计划中,判别关键工作的条件是( )最小。
A.持续时间 B.时间间隔
C.自由时差 D.总时差
19.在网络计划中,判断关键工作的条件是该工作( )。
A.自由时差最小 B.与其紧后工作之间的时间间隔为零
C.持续时间最长 D.最早开始时间等于最迟开始时间
20.关于关键工作和关键线路的说法,错误的是( )。
A.总时差最小的工作是关键工作
B.关键线路上不能有虚工作
C.关键线路上工作的总持续时间最长
D.关键线路上的工作都是关键工作
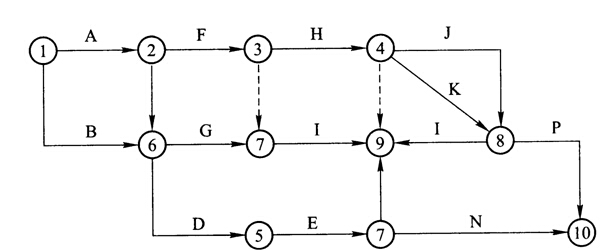
21.某双代号网络计划如下图所示,其关键线路有( )条。

A.2 B.3
C.4 D.5
22.某工程单代号网络计划如下图所示,其关键线路有( )条。

A. 2 B.3
C. 4 D.5
23.已知某工程双代号网络计划的计划工期等于计算工期,且工作M的开始节点和完成节点均为关键节点,下列关于工作M说法正确的是( )。
A.为关键工作 B.总时差等于自由时差
C.自由时差为零 D.总时差大于自由时差
24.在网络计划中,工作的总时差是指在不影响( )的前提下,该工作可以利用的机动时间。
A.紧后工作最早开始时间 B.后续工作最早开始时间
C.紧后工作最迟开始时间 D.紧后工作最早完成时间
25.在网络计划中,工作的自由时差是指在不影响( )的前提下,该工作可以利用的机动时间。
A.紧后工作最早开始时间 B.后续工作最早开始时间
C.紧后工作最迟开始时间 D.紧后工作最早完成时间
26.在网络计划中,工作N最迟完成时间为第25天,持续时间为6天。该工作有三项紧前工作,它们的最早完成时间分别为第10天、第12天和第13天,则工作N的总时差为( )天。
A.6 B.9
C.12 D.15
27.在网络计划中,工作N最早完成时间为第17天,持续时间为5天。该工作有三项紧后工作,它们的最早开始时间分别为第25天、第27天和第30天,则工作N的自由时差为( )天。
A.13 B.8
C.3 D.5
28.在网络计划执行过程中,若某项工作比原计划拖后,当拖后的时间大于其拥有的自由时差时,则肯定影响( )。
A.总工期 B.后续工作
C.所有紧后工作 D.某些紧后工作
29.检查网络计划时,发现某工作尚需作业A天,到该工作计划最迟完成时刻尚余B天,原有总时差为C天,则该工作尚有总时差为( )天。
A.C--A B.C--B
C.A--B D.B--A
30.在某工程网络计划中,已知工作M的总时差和自由时差分别为7天和5天,检查实际进度时发现该工作的持续时间延长了3天,说明此时工作M的实际进度( )。
A.既不影响总工期,也不影响其后续工作的正常进行
B.不影响总工期,但将其后续工作的开始时间推迟3天
C.将使总工期延长3天,但不影响其后续工作的正常进行
D.将其后续工作的开始时间推迟3天,并使总工期延长3天
31.已知某工程网络计划中工作M的自由时差为3天,总时差为5天。该工作的实际进度拖后,且影响总工期1天。在其他工作均正常进行的前提下,工作M的实际进度拖后( )天。
A.3 B.4
C.5 D.6
32.当关键线路的实际进度比计划进度拖后时,应在尚未完成的关键工作中,选择( )的工作缩短其持续时间,并重新计算未完成部分的时间参数,将其作为一个新计划实施。
A.资源强度小或费用低 B.直接费用高
C.资源强度大或费用高 D.工作时间长
33.某工程双代号时标网络计划如下图所示,如果B、D、I三项工作共用一台施工机械且必须按顺序施工,则( )。

A.工期不会延长,施工机械在现场不会闲置
B.工期不会延长,施工机械在现场闲置1周
C.工期会延长1周,施工机械在现场闲置1周
D.工期会延长1周,施工机械在现场不会闲置
34.当工程网络计划的计算工期大于要求工期时,为满足要求工期,对网络计划进行调整的基本方法是( )。
A.减少相邻工作之间的时间间隔 B.缩短关键工作的持续时间
C.减少相邻工作之间的时距 D.缩短关键工作的总时差
35.下图所示的单代号搭接网络计划(时间单位:天),其计算工期是( )天。

A. 26 B. 27
C. 28 D. 29
二、多项选择题
1.横道图进度计划与网络计划相比,其优点有( )。
A.适用于手工编制计划
B.能够清楚地表达活动的持续时间
C.表达方式较为直观
D.能清楚表达活动间的逻辑关系
E.可以与劳动力计划相结合
2.横道图进度计划存在的不足有( )。
A.表达直观
B.难以适应大的进度计划系统
C.计划调整只能以手工方式进行
D.不能确定计划的关键工作、关键路线与时差
E.工序(工作)之间的逻辑关系可以设法表达,但不易表达清楚
3.非确定型网络计划有( )。
A.计划评审技术 B.图示评审技术
C.风险评审技术 D.搭接网络计划
E.决策关键线路法
4.按照工作持续时间的特点不同,工程网络计划可划分为( )。
A.肯定型网络计划 B.随机型网络计划
C.分级型网络计划 D.事件型网络计划
E.非肯定型网络计划
5.关于网络计划的说法,正确的有( )。
A.时标网络计划中可以存在波形线
B.单代号网络计划中不存在虚工作
C.单代号网络计划中存在虚箭线
D.双代号网络计划中不存在虚工作
E.双代号网络计划中可以存在虚箭线
6.双代号网络计划的特点有( )。
A.相邻两关键工作的时间间隔为零
B.关键工作两端的节点为关键节点
C.关键工作的总时差为零
D.关键线路的总持续时间最长
E.关键节点的最早时间与最迟时间相等
7.某分部工程双代号网络计划如下图所示,其中存在的绘图错误有( )。
A.循环回路 B.多个终点节点

C.多个起点节点 D.节点编号重复
E.两项工作有相同的代号
8.工程网络计划的计算工期等于( )。
A.单代号网络计划中终点节点所代表的工作的最早完成时间
B.单代号网络计划中终点节点所代表的工作的最迟完成时间
C.双代号网络计划中结束工作的最早完成时间的最大值
D.双代号网络计划中结束工作的最迟完成时间的最大值
E.时标网络计划中最后一项关键工作的最早完成时间
9.下列网络计划参数中,以计划工期作为约束条件的有( )。
A.最早完成时间 B.总时差
C.最迟完成时间 D.自由时差
E.时间间隔
10.双代号时标网络计划能够清楚地表明工程计划的时间进程,可以在图上直接显示出的时间参数有( )。
A.工作的最早开始时间 B.关键线路
C.工作的总时差 D.工作的最迟开始时间
E.工作的自由时差
11.工程网络计划中,关键工作是指( )的工作。
A.时标网络计划中无波形线
B.双代号网络计划中两端节点为关键节点
C.最早开始时间与最迟开始时间相差最小
D.最早完成时间与最迟完成时间相差最小
E.与紧后工作之间时间间隔为零的工作
12.关于网络计划关键线路的说法,正确的有( )。
A.相邻两项工作间的时间间隔均为零的线路
B.总持续时间最长的线路
C.时标网络计划中没有波形线的线路
D.双代号网络计划中无虚箭线的线路
E.双代号网络计划中由关键节点连成的线路
13.某分部分项工程双代号网络计划如下图所示,其中关键工作有( )。

A.工作B B.工作C
C.工作D D.工作E
E.工作H
14.某工程双代号网络计划如下图所示,图中已经标出每项工作的最早开始时间和最迟开始时间,该计划表明( )。

A.工作D的总时差为零 B.工作H为关键工作
C.工作E的自由时差为3天 D.工作C的自由时差为2天
E.工作B的自由时差为零
15.在某工程网络计划中,工作M的总时差为2天。在该计划执行一段时间后检查实际进展情况时发现工作M的总时差变为-3天,说明工作M的实际进度( )。
A.拖后3天 B.影响工期3天
C.拖后5天 D.影响工期5天
E.拖后2天
16.某分部工程双代号时标网络计划如下图所示,该计划所提供的正确信息有( )。

A.工作B的总时差为3天 B.工作C的总时差为2天
C.工作D为关键工作 D.工作E的总时差为3天
E.工作G的自由时差为2天
17.调整工程网络计划时,调整内容一般包括( )。
A.非关键工作时差 B.关键线路长度
C.工作组织关系 D.工作工艺过程
E.工作持续时间
18.当计算工期超过计划工期时,可压缩关键工作的持续时间以满足要求,在确定缩短持续时间的关键工作时,宜选择( )。
A.有多项紧前工作的工作
B.缩短持续时间而不影响质量和安全的工作
C.有充足备用资源的工作
D.缩短持续时间所增加的费用相对较少的工作
E.单位时间消耗资源量大的工作
19.下图所示的某工程双代号时标网络计划,在执行到第4周末和第10周末时,检查其实际进度如图中前锋线所示,检查结果表明( )。

A.第4周末检查时,工作B拖后2周,但不影响工期
B.第4周末检查时,工作A拖后1周,影响工期1周
C.第10周末检查时,工作I提前1周,可使工期提前1周
D.第10周末检查时,工作G拖后1周,但不影响工期
E.在第5~10周内,工作E和工作F的实际进度正常
20.网络计划中,关键线路是指( )的线路。
A.单代号网络计划中相邻工作之间间隔时间全部为零
B.双代号网络计划中由关键节点组成
C.双代号时标网络计划中无波形线
D.双代号网络计划中无虚箭线
E.单代号搭接网络计划中相邻工作之间时距之和最大
【1Z203030答案与解析】
一、单项选择题
1.D; 2.D; 3.D; 4.C; 5.C; 6.D; 7.A; 8.B;
9.D;10.D; 11.A; 12.C; 13.A; *14.B; *15.C; *16.B;
*17.A;18.D; *19.D; 20.B; *21.C; *22.A; *23.B; 24.C;
25.A; *26.A; *27.B; *28.D; 29.D; 30.A; 31.D; 32.A;
33.D; *34.B; *35.C
【解析】
14.答案B:
在搭接网络计划中,终点节点一般都表示虚拟工作(其持续时间为零),故其最早完成时间与最早开始时间相等,且一般为网络计划的计算工期。所以B正确。
15.答案C:
计算工期为:2+3+4+3=12天。所以C正确。
16.答案B:
通过计算可知,工作D的ES为6,工作F的FF为2,工作H的FF为0,工作G的FF为2.所以B正确。
17.答案A:
自由时差可以直接在图上通过波形线得出,而时标网络计划中一项工作的总时差等于其紧后工作的总时差加本工作与该紧后工作之间的时间间隔所得之和的最小值。其中以终点节点为结束节点的工作(无紧后工作)的总时差为零。所以A正确。
19.答案D:
最迟开始时间等于最早开始时间,即总时差为零。所以D正确。
21.答案C:
图中关键线路一共四条。
关键线路1:①→②→③→⑤→⑦→⑧
关键线路2:①→②→④→⑤→⑦→⑧
关键线路3:①→②→④→⑤→⑥→⑦→⑧
关键线路4:①→②→③→⑤→⑥→⑦→⑧
所以C正确。
22.答案A:
图中关键线路一共两条。
关键线路1:A→C→E→H
关键线路2:A→C→F→G→H
所以A正确。
23.答案B:
因为工作M的完成节点为关键节点,则该工作的紧后工作中必有一项是关键工作。如果该工作的完成节点是终点节点,那么其总时差就等于该工作的自由时差,就是时标网络图中波形线的长度。如果该工作的完成节点非终点节点,那么该工作的总时差等于其紧后工作的总时差与该工作自由时差的最小值。该工作紧后工作总时差的最小值是。,所以该工作的总时差等于自由时差。所以B正确。
26.答案A:
工作的总时差是指在不影响紧后工作的最迟开始时间的前提下,本工作可以利用的机动时间,因此TFN =25-6-max{ 10,12,13)=6。所以A正确。
27.答案B:
工作的自由时差是指在不影响紧后工作的最早开始时间的前提下,本工作可以利用的机动时间,因此FFN=min{ 25,27,30}-17=8。所以B正确。
28.答案D:
自由时差是所有紧后工作最早开始时间中最小值与本工作最迟完成时间的差值,因此超过了自由时差,不会影响所有紧后工作,只会影响某些紧后工作。所以D正确。
35.答案C:
解析:计算该单代号搭接网络计划的时间参数,如图所示:

所以C正确。
二、多项选择题
1.A、B、C、E; 2.B、C、D、E; 3.A、B、C、E; 4.A、B、E;
5.A、E; 6.A、B、D; 7.B、D、E; 8.A、C、E;
*9.B、C;10.A、B、E; 11.C、D; 12.A、B、C;
*13.B、D、E;14.A、D、E; *15.B、C; *16.A、B、C、D;
17.A、B、E; 18.B、C、D; *19.B、D; 20.A、C
【解析】
9.答案B、C:
工作最早完成时间、自由时差、时间间隔的计算都与计划工期无关,而总时差和最迟完成时间的计算依赖于计划工期。所以B、C正确。
13.答案B、D、E:
计算时间参数确定关键线路为①→③→④→⑤→⑥→⑧,关键工作有C、E、H。所以B、D、E正确。
14.答案A、D、E:
简单的参数计算后可知工作H的总时差为1,不是关键工作,工作E的自由时差为2,所以B、C是错误选项。
15.答案B、C:
工作M的总时差变为-3天,说明工作M不仅将原有的2天总时差全部用完,而且在原计划总工期内还差3天,因此工作M的实际进度拖后5天,影响总工期3天。所以B,C正确。
16.答案A、B、C、D:
自由时差直接从波形线的长度得到,总时差等于其紧后工作的总时差加本工作与该紧后工作之间的时间间隔所得之和的最小值。其他选项均正确,E答案中G工作的总时差为2,自由时差为0。所以A、B、C、D正确。
19.答案B、D:
从第4周的前锋线可知,工作A拖后1周,作为关键工作,影响工期1周。工作B拖后2周,超过其总时差,影响工期1周,其紧后工作E、F都受影响。从第10周的前锋线可知,工作G拖后1周,未超过总时差,不影响工期。工作H进度正常。工作I提前1周,但不是关键工作,不能使工期提前1周。同时,可以看出第5~10周必然采取了措施,否则工作H不能实现计划目标,工作I甚至超过了计划目标。所以B、D正确。
最新资讯
- 【免费领取】一级建造师考试基础自测卷,备考必备!2025-11-03
- 考生速进!2026年一建备考,好用的刷题APP是哪个?2025-10-21
- 别错过!8月30日9点一建决赛圈等你来考2025-08-30
- 别错过!2025年一级建造师黄金AB卷免费领取啦2025-08-11
- 提分必备!2025年一建《建设工程经济》经典100题免费下载2025-07-26
- 免费下载!2025年一级建造师《工程法规》经典100题,助你冲刺提分2025-07-23
- 备考必刷!2025年一级建造师项目管理经典100题免费下载2025-07-23
- 一级建造师题目讲解视频:提高价值的途径2025-07-17
- 一级建造师题目解析视频:阀门安装前阀门搬运的正确做法2025-07-16
- 备考必看!免费获取2025年新版一级建造师经典100题2025-07-07