2008年造价工程师案例分析考试习题解析(十三)
1.计算无形资产摊销费无形资产摊销费=无形资产价值/摊销年限=500/8=62.5(万元)
2.编制借款还本付息表,把计算结果填入答题纸表1.2中:
计算建设期贷款利息为:
各年应计利息=(年初借款本息累计+本年借款额/2)×年利率建设期贷款利息
=(4500/2)×6.22%=139.95(万元)
表2.1 项目还本付息表 单位:万元
|
序号 |
年份项目 |
1 |
2 |
3 |
4 |
5 |
6 |
7 |
8 |
|
1 |
年初累计借款 |
0 |
962.6 |
1671.6 |
1393 |
1114.4 |
835.81 |
557.21 |
278.6 |
|
2 |
本年新增借款 |
930 |
620 |
|
|
|
|
|
|
|
3 |
本年应计利息 |
32.55 |
89.08 |
117.01 |
97.51 |
78.009 |
58.507 |
39.005 |
19.502 |
|
4 |
本年应还本金 |
|
|
278.6 |
278.6 |
278.6 |
278.6 |
278.6 |
278.6 |
|
5 |
本年应还利息 |
|
|
117.01 |
97.51 |
78.009 |
58.507 |
39.005 |
19.502 |
(1)计算固定资产年折旧费
固定资产年折旧费=(3100+121.63)×(1-5%)÷8=382.57(万元)
(2)计算固定资产余值固定资产余值=年折旧费×(固定资产使用年限-运营期)+残值
=382.57×(8-8)+(3100+121.63)×5%=161.08(万元)
4.编制项目现金流量表(将现金流量有关数据填人表2.2):
表2.2 某项目现金流量表(自有资金) 单位:万元
|
序号 |
年份项目 |
1 |
2 |
3 |
4 |
5 |
6 |
7 |
8 |
9 |
10 |
|
1 |
现金流入 |
0 |
0 |
3800 |
4320 |
5400 |
5400 |
5400 |
5400 |
5400 |
5861.1 |
|
1.1 |
销售收入 |
|
|
3800 |
4320 |
5400 |
5400 |
5400 |
5400 |
5400 |
5400 |
|
1.2 |
回收固定资产残 |
|
|
|
|
|
|
|
|
|
161.08 |
|
1.3 |
回收流动资金 |
|
|
|
|
|
|
|
|
|
300 |
|
2 |
现金流出 |
930 |
920 |
3379.5 |
3559 |
3945.7 |
3932.6 |
3919.6 |
3906.5 |
3614.8 |
3614.8 |
|
2.1 |
自有资金 |
930 |
920 |
|
|
|
|
|
|
|
|
|
2.2 |
经营成本 |
|
|
2600 |
2600 |
2600 |
2600 |
2600 |
2600 |
2600 |
2600 |
|
2.3 |
偿还借款 |
|
|
395.62 |
376.1 |
356.61 |
337.11 |
317.61 |
298.11 |
|
|
|
2.3.1 |
长期借款本金偿还 |
|
|
278.6 |
278.6 |
278.6 |
278.6 |
278.6 |
278.6 |
|
|
|
2.3.2 |
长期借款利息偿还 |
0 |
0 |
117.01 |
97.51 |
78.009 |
58.507 |
39.005 |
19.502 |
|
|
|
2.4 |
销售税金及附加 |
|
|
228 |
259.2 |
324 |
324 |
324 |
324 |
324 |
324 |
|
2.5 |
所得税 |
|
|
155.9 |
323.6 |
665.09 |
671.52 |
677.96 |
684.4 |
690.83 |
690.83 |
|
3 |
净现金流量 |
-930 |
-920 |
420.48 |
761 |
1454.3 |
1467.4 |
1480.4 |
1493.5 |
1785.2 |
2246.2 |
|
4 |
累计净现金流量 |
-930 |
-1850 |
-1430 |
-668 |
785.83 |
2253.2 |
3733.6 |
5227.1 |
7012.3 |
9258.5 |
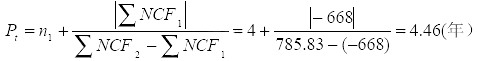
根据建设项目财务评价指标体系中的静态投资回收期计算方法,找到使项目累计现金净流量为零的年限。根据上表中,各年现金净流量计算项目累计现金净流量可以找到相邻的两个年限n1=4年和n2=5年,应用内插法近似求出静态投资回收期Pt,计算过程为:静态投资回收期Pt为:

评价结论:因该项目投资回收期(4.46年)小于基准投资回收期(8年),项目可行。
最新资讯
- 2026年一级造价工程师《造价管理》考点模拟题:工程造价相关概念2026-02-28
- 2026年一级造价工程师《工程计价》高频考点模拟题:设备购置费的构成和计算2026-02-28
- 2026年一级造价工程师《安装计量》高频考点模拟题:金属材料2026-02-28
- 2026年一级造价工程师《土建计量》高频考点模拟题:岩体的特征概述2026-02-28
- 2025年一级造价师各科目万人模考(一)试题及答案2025-08-24
- 免费领!2025年一级造价师《案例分析》模拟试卷及答案解析2025-08-22
- 来做题!2025年一级造价师《造价管理》入门自测卷免费下载2025-04-21
- 2025年一级造价师《工程计价》易错题:合同价款调整2024-11-29
- 2025年一级造价师《安装计量》易错题:建筑智能化工程2024-11-22
- 2024年一级造价师《土建计量》考试真题及答案31-40题2024-10-23