09年工程造价的计价与控制新旧大纲及教材对比(第一章)
更新时间:2009-10-19 15:27:29
来源:|0
浏览
收藏
一级造价工程师报名、考试、查分时间 免费短信提醒
|
2006版考试大纲 |
2009版考试大纲 |
比较说明 |
|
一、工程造价构成
(一)熟悉建设工程造价的构成;
(二)掌握设备及工器具购置费、建筑安装工程费和工程建设其他费构成与计算;
(三)掌握预备费、固定资产投资方向调节税、建设期贷款利息、流动资金的内容;
(四)了解世界银行建设项目费用构成和国外建筑安装工程费的构成。 |
一、工程造价构成
(一)熟悉建设工程造价的构成;
(二)掌握设备及工器具购置费、建筑安装工程费和工程建设其他费构成与计算;
(三)掌握预备费、建设期贷款利息的计算;
(四)了解世界银行建设项目费用构成和国外建筑安装工程费的构成。 |
删除了对于固定资产投资方向调节税和流动资金的要求。 |
教材修订:
1. 我国现行建设项目总投资构成,修订依据:方法与参数三
2. 建筑安装工程费中措施费的构成和计算。修订依据:08版清单计价规范以及建筑工程安全防护、文明施工措施费用及使用管理规定
3. 与项目建设有关的其他费用。修订依据:建设项目投资估算编审规程
二、09版教材与06版教材结构上的变化
图1 09版第一章与06版第一章结构上的对比
由以上两图比较可以看出,本章第五节结构变动较大,第六节结构有较小变动。
三、09版教材与06版教材内容上的变化(以09版教材为基准)
表1 09版第一章与06版第一章内容上的对比
|
节 |
知识点 |
06版 |
09版 |
依据/变化 | |||||
|
一 |
概述 |
我国现行建设项目投资构成和工程造价的构成 |
1.无
|
1.生产性建设项目总投资包括建设投资、建设期利息和流动资金三部分;非生产性建设项目总投资包括建设投资和建设期利息两部分。 |
按照《建设项目经济评价方法与参数(第三版)》
新教材中工程造价构成发生了变化:建设投资与建设期利息两部分构成;建设成本是工程造价的主体部分包括工程费用、工程建设的其他费用、预备费三部分 | ||||
|
2. 固定资产投资的构成主要划分为设备及工、器具购置费用,建筑安装工程费用,工程建设其他费用,预备费,建设期贷款利息,固定资产投资方向调节税等几项 |
2.建设投资和建设期利息之和对应于固定资产投资;建设投资包括工程费用、工程建设其他费用和预备费三部分。 | ||||||||
|
世界银行工程造价的构成 |
无变化 | ||||||||
|
二 |
设备及工、器具购置费用的构成 |
设备购置费的构成及计算 |
1.进口设备的交货类别的详细介绍:内陆交货类、目的地交货类、装运港交货类。
|
1.装运港交货类里三种交易价格:FOB、CFR和CIF |
新教材删除了内陆交货类、目的地交货类的交货方式,新介绍FOB、CFR和CIF三种方式
删除了海关监管手续费 | ||||
|
2. 进口设备抵岸价=货价+国际运费+运输保险费+银行财务费+外贸手续费+关税+增值税+消费税+海关监管手续费+车辆购置附加费 |
2. 进口设备抵岸价=进口设备到岸价(CIF)+进口从属费=货价+国际运费+运输保险费+银行财务费+外贸手续费+关税+进口环节增值税+消费税+车辆购置税 | ||||||||
|
工具、器具及生产家具购置费的构成及计算 |
无变化 | ||||||||
|
三 |
建筑安装工程费用构成 |
建筑安装工程费用内容及构成概述 |
无变化 |
《建筑安装工程费用项目组成》、《建设工程工程量清单计价规范》(GB50500-2008)以及《建筑工程安全防护、文明施工措施费用及使用管理规定》(建办[2005]89号)的规定新教材中通用措施项目内容有变化;
混凝土、钢筋混凝土模板及支架费被列为建筑工程的专业措施项目;脚手架费被列为建筑工程、装饰装修工程和市政工程的专业措施项目;删除规费中工程定额测定费
| |||||
|
直接费 |
1.包括:二环夜临大水,支架已安稳(文)
二次搬运费,环境保护费,夜间施工增加费,临时设施费,大型机械设备进出场及安拆费,施工排水、降水费,混凝土、钢筋混凝土模板及支架费,脚手架费,已完工程及设备保护费,安全施工费,文明施工费 |
1.安全、文明施工费(环境保护费、文明施工费、安全施工费、临时设施费),夜间施工增加费,二次搬运费,冬雨季施工增加费,大型机械设备进出场及安拆费,施工排水费,施工降水费,地上、地下设施、建筑物的临时保护设施费,已完工程及设备保护费,专业措施项目 | |||||||
|
间接费 |
规费包括:工程排污费、社会保障费、住房公积金、危险作业意外伤害保险、 | ||||||||
|
利润及税金 |
无变化 | ||||||||
|
国外建筑安装工程费用的构成 |
无变化 |
| |||||||
|
四 |
工程建设其他费用组成 |
固定资产其他费用 |
土地使用费:土地征用及迁移补偿费、土地使用权出让金
与项目建设有关的其他费用:建设单位管理费、勘察设计费、研究实验费、建设单位临时设施费、工程监理费、工程保险费、引进技术和进口设备其他费用、工程承包费
与未来企业生产经营有关的其他费用:联合试运转费、生产准备费、办公和生活家具购置费 |
固定资产其他费用:建设管理费(包括建设单位管理费、工程监理费),建设用地费(包括:土地征用及迁移补偿费、土地使用权出让金),可行性研究费,研究试验费,勘察设计费,环境影响评价费,劳动安全卫生评价费,场地准备及临时设施费,引进技术和引进设备其他费,工程保险费,联合试运转费,特殊设备安全监督检验费,市政公用设施费
无形资产费用:主要是指专利及专有技术使用费
其他资产费用:主要包括生产准备及开办费 |
按照建设项目方法与参数三/市政工程投资估算编制办法(建标[2007]164号)等文件修订了工程建设其他费用内容
| ||||
|
无形资产费用 |
无变化 | ||||||||
|
其他资产费用 |
无变化 | ||||||||
|
五 |
预备费、建设期利息、固定资产投资方向调节税 |
预备费 |
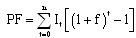
计算公式为:
![]() |
计算公式为:
![]() M建设前期年限;采用复利方式计算 |
中国建设工程造价管理协会标准“建设项目投资估算编审规程”CECA/GC1-2007
| ||||
|
建设期利息 |
计算公式无变化
|
| |||||||
|
固定资产投资方向调节税(已删除)
|
删除(第一节中说明“目前已暂停征收”) | ||||||||
更多信息请访问>> 造价工程师考试频道 造价工程师考试论坛 造价工程师辅导课程免费试听
编辑推荐
最新资讯
- 一级造价工程师教材是哪个出版社?中国计划+中国城市出版社2026-04-17
- 一级造价师教材几年改版一次?变动周期及2026年情况说明2026-04-09
- 官方确认!2026年一级造价工程师教材沿用2025年版2026-01-04
- 备考必看:一级造价师《安装计量》十大核心知识点总结2025-11-02
- 速看!一级造价师《土建计量》十大核心考点总结2025-11-01
- 免费分享:一级造价师《工程计价》十大核心考点总结2025-10-31
- 一键收藏:一级造价师《造价管理》十大核心考点总结2025-10-30
- 免费分享:2025年一级造价师《工程计价》考点汇总2025-10-29
- 2025年一级造价师《工程计价》考试难度及考点分析2025-10-28
- 免费分享:2025年一级造价师《造价管理》考点汇总2025-10-27


