当前位置: 首页 > 一级造价工程师 > 一级造价工程师备考资料 > 造价工程师辅导资料:预备费、建设期贷款利息的计算

造价工程师辅导资料:预备费、建设期贷款利息的计算

更新时间:2010-05-07 09:57:59 来源:|0 浏览1收藏0

一级造价工程师报名、考试、查分时间 免费短信提醒

地区

获取验证 立即预约

请填写图片验证码后获取短信验证码

看不清楚,换张图片

免费获取短信验证码

  预备费、建设期贷款利息的计算

  1. 预备费

  按我国现行规定,预备费包括基本预备费和涨价预备费。

  (1)基本预备费

  基本预备费主要指设计变更及施工过程中可能增加工程量的费用,基本预备费一般由以下三部分构成:

  ①在批准的初步设计范围内,技术设计、施工图设计及施工过程中所增加的工程费用;设计变更、工程变更、材料代用、局部地基处理等增加的费用。

  ②一般自然灾害造成的损失和预防自然灾害所采取的措施费用。实行工程保险的工程项目,该费用应适当降低。

  ③竣工验收时为鉴定工程质量对隐蔽工程进行必要的挖掘和修复费用。

  计算公式:基本预备费=(工程费用+工程建设其他费用)×基本预备费费率

  (2)涨价预备费

  涨价预备费是指建设项目在建设期间内由于材料、人工、设备等价格可能发生变化引起工程造价变化,而事先预留的费用。内容包括:人工、设备、材料、施工机械的价差费,建筑安装工程费及工程建设其他费用调整,利率、汇率调整等增加的费用。依据市政工程投资估算编制办法(建标[2007]164号),计算公式作了调整。依据中国建设工程造价管理协会标准“建设项目投资估算编审规程”CECA/GC1-2007

  新教材中计算公式变化为:

  式中: n——建设期年份数;

  It——建设期中第t年的投资计划额,包括工程费用、工程建设其他费用及基本预备费;即第t年的静态投资

  f——年均投资价格上涨率;

  m——建设前期年限(从编制估算到开工建设,单位:年)。

  例题1: 【2008年真题】某建设项目,经投资估算确定的工程费用与工程建设其他费用合计为2000万元,项目建设期为2年,每年各完成投资计划50%。在基本预备费为5%.年均投资价格上涨率为10%的情况下,该项目建设期的涨价预备费为( )万元。

  A. 300.0 B.310.0 C. 315.0 D. 325.5

  答案:D

  解题要点:该题考核涨价预备费的计算。考核的关键是:

  基本预备费=2000×5%=100万元

  静态投资=2000+100=2100万元

  建设期第一年完成投资=2100×50%=1050万元

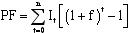
  第一年涨价预备费为:PF1=I1[(1+f)-1] =105万元

  第二年完成投资=2100×50%=1050万元

  第二年涨价预备费为:PF2=I2[(1+f)2-1]=220.5万元

  所以,建设期的涨价预备费为:PF=105+220.5=325.5万元

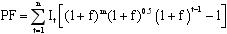
  在新版教材中,涨价预备费依据市政工程投资估算编制办法(建标[2007]164号)文件计算公式改为:

  ,则依据新公式,若项目建设准备期为1年,则计算过程如下:

  第一年涨价预备费为:PF1=I1[(1+f)(1+f)0.5-1] =161.385万元

  第二年完成投资=2100×50%=1050万元

  第二年涨价预备费为:PF2=I2[(1+f)(1+f)0.5(1+f)-1]=282.555万元

  所以,建设期的涨价预备费为:PF=161.385+282.555=443.94万元

  例题:基本预备费是指在项目实施过程中事先预留的费用,其计算以( )为基础。

  A.工程费用 B.建设期利息

  C.工程建设其他费用 D.固定资产投资方向调节税

  E.建设投资

  答案:AC

  解题要点:该题考核基本预备费的计算。基本预备费是按工程费用和工程建设其他费用二者之和为计取基础,乘以基本预备费费率进行计算。

  二、建设期利息

  建设期利息包括向国内银行和其他非银行金融机构贷款、出口信贷、外国政府贷款、国际商业银行贷款以及在境内外发行的债券等在建设期间应计的借款利息。

  当总贷款是分年均衡发放时,建设期利息的计算可按当年借款在年中支用考虑,即当年贷款按半年计息,上年贷款按全年计息。计算公式为:

  

  

  式中 qj——建设期第j年应计利息;

  Pj-1——建设期第(j-1)年末累计贷款本金与利息之和;

  Aj——建设期第j年贷款金额;

  i ——年利率。

  国外贷款利息的计算中,还应包括国外贷款银行根据贷款协议向贷款方以年利率的方式收取的手续费、管理费、承诺费;以及国内代理机构经国家主管部门批准的以年利率的方式向贷款单位收取的转贷费、担保费、管理费等。

  例题1:【2008年真题】某建设项目,建设期为3年,建设期内各年均衡获得的贷款额分别为1000万元、1000万元、800万元,贷款年利率为8%,期内只计息不支付,建设期第3年应计利息为( )万元。

  A. 368.26 B. 192.0 C. 201.86 D. 205.06

  答案:D

  解题要点:该题考核贷款期贷款利息的计算。在建设期,各年利息计算如下:

  q1=1/2*A1*i=1/2×1000×8%=40

  q2=(p1+1/2*A2)*i=(1000+40+1/2×1000)×8%=123.2

  q3=(p2+1/2*A3)*i=(1040+1000+123.2+1/2×800)×8%=205.06

更多信息请访问>> 造价工程师考试频道 造价工程师考试论坛 造价工程师辅导课程免费试听

·2010年注册造价工程师考试辅导老师团队介绍!
·2010年造价工程师辅导"VIP班"及多种套餐上线!
·2010年注册造价工程师考前网上辅导招生简章
·
04、05、06、07、08年造价工程师考试试卷及答案汇总 

分享到: 编辑:环球网校

资料下载 精选课程 老师直播 真题练习

一级造价工程师资格查询

一级造价工程师历年真题下载 更多

一级造价工程师每日一练 打卡日历

0
累计打卡
0
打卡人数
去打卡

预计用时3分钟

一级造价工程师各地入口
环球网校移动课堂APP 直播、听课。职达未来!

安卓版

下载

iPhone版

下载

返回顶部