造价工程师辅导资料:成本与费用的估算
成本与费用的估算
(一)总成本费用估算
1.总成本费用构成与计算
总成本费用的构成和估算通常采用以下两种方法。
(1)生产成本加期间费用估算法
总成本费用=生产成本+期间费用
其中, 生产成本=直接材料费+直接燃料和动力费
+直接工资+其他直接支出+制造费用
期间费用=管理费用+财务费用+营业费用
总成本费用构成见下图 ,此方法按费用的经济用途将其分为直接材料、直接工资、其他直接支出、制造费用和期间费用,其中前四项计入产品制造成本,最后一项不计入产品成本。

采用这种方法一般需要先分别估算各种产品的生产成本,然后与估算的管理费用、利息支出和营业费用相加。
(2)生产要素估算法
总成本费用=外购原材料、燃料及动力费+人工工资及福利费+折旧费
+摊销费+修理费+利息支出+其他费用
式中其他费用包括其他制造费用、其他管理费用和其他营业费用这三项费用,是指由制造费用、管理费用和营业费用中分别扣除工资或薪酬、折旧费、摊销费和修理费等以后的其余部分。
重点提示:
考试时,一般会忽略“其他费用”
生产要素估算法此法从各种生产要素的费用入手,汇总得到总成本费用,见下图所示。采用此方法,不必计算内部各生产环节成本转移,也较容易计算可变成本和固定成本。按生产要素法估算的总成本费用,其结果列入“总成本费用估算表”,见下表 。


(二)经营成本
经营成本是财务分析的现金流量分析中所使用的特定概念,作为项目现金流量表中运营期现金流出的主体部分。经营成本与融资方案无关。因此在完成建设投资和营业收入估算以后,就可以估算经营成本,为项目融资前分析提供数据。
经营成本的构成可用下式表示:
经营成本=外购原材料费+外购燃料及动力费+工资及福利费+修理费+其他费用
经营成本与总成本费用的关系如下:
经营成本=总成本费用-折旧费-摊销费-利息支出
(三)固定成本与可变成本估算
为了进行盈亏平衡分析和不确定性分析,需将总成本费用分解为固定成本和可变成本。固定成本指成本总额不随产品产量变化的各项成本费用,主要包括工资或薪酬(计件工资出外)、折旧费、摊销费、修理费和其他费用等。可变成本指成本总额随产品产量变化而发生同方向变化的各项费用,主要包括原材料、燃料、动力消耗、包装费和计件工资等。此外,长期借款利息应视为固定成本,流动资金借款和短期借款 为简化计算,也可视为固定成本。
(四)投资借款还本付息估算
在大多数项目的财务分析中,通常只考虑利息支出。利息支出的估算包括长期借款利息,流动资金借款利息和短期借款利息三部分,其中长期借款利息通常是由于建设投资借款引起的。
1. 建设投资借款还本付息估算
(1)还本付息的资金来源。根据国家现行财税制度的规定,贷款还本的资金来源主要包括可用于归还借款的利润(一般应是经过利润分配程序后的未分配利润)、固定资产折旧、无形资产、其他资产摊销费和其他还款资金来源。
(2)还本付息额的计算。建设投资借款的年度还本付息额计算,可分别采用等额还本付息,或等额还本、利息照付两种还款方法来计算。
1)等额还本付息。这种方法是指在还款期内,每年偿付的本金利息之和是相等的,但每年支付的本金数和利息数均不相等。计算步骤如下:
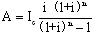
① 计算建设期末的累计借款本金与资本化利息之和Ic。
② 根据等值计算原理,采用资金回收系数计算每年等值的还本付息额度A。
![]()
③ 计算每年应付的利息。
每年应支付的利息=年初借款余额×年利率
其中 年初借款余额= Ic-本年之前各年偿还的本金累计
④ 计算每年偿还的本金。
本年偿还本金=A-每年支付利息
采用等额还本付息法,利息将随偿还本金后欠款的减少逐年减少,而偿还的本金恰好相反,将由于利息减少而逐年加大。此方法适用投产初期效益较差,而后期效益较好的项目。
2)等额还本、利息照付。这种方法是指在还款期内每年等额偿还本金,而利息按年初借款余额和利息率的乘积计算,利息不等,而且每年偿还的本利和不等。计算步骤如下:
① 计算建设期末的累计借款本金和未付的资本化利息之和Ic。
② 计算在指定偿还期内,每年应偿还的本金A
A= Ic/n
其中n为贷款的偿还期(不包括建设期)。
③ 计算每年应付的利息额。
年应付利息=年初借款余额×年利率
④ 计算每年的还本付息额总额。
年还本付息总额=A+年应付利息
此方法由于每年偿还的本金是等额的,计算简单,但项目投产初期还本付息的压力大。因此,此法适用于投产初期效益好,有充足现金流的项目。
2. 流动资金借款还本付息估算
流动资金借款的还本付息方式与建设投资借款的还本付息方式不同, 流动资金借款在生产经营期内只计算每年所支付的利息,本金通常是在项目寿命期最后一年一次性偿还 。利息计算公式为:
年流动资金借款利息=年初流动资金借款余额×流动资金借款年利率
3. 短期借款还本付息估算。项目财务评价中的短期借款系指运营期间由于资金的临时需要而发生的短期借款,短期借款的数额应在财务计划现金流量表中得到反映,其利息应计入总成本费用表的利息支出中。短期借款利息的计算与流动资金借款利息相同,短期借款本金的偿还按照随借随还的原则处理,即当年借款尽可能于下年偿还。
更多信息请访问>> 造价工程师考试频道 造价工程师考试论坛 造价工程师辅导课程免费试听
·2010年造价工程师辅导"VIP班"及多种套餐上线!
·2010年注册造价工程师各地考试报名时间汇总
·2010年注册造价工程师考前网上辅导招生简章
·04、05、06、07、08年造价工程师考试试卷及答案汇总
最新资讯
- 官方确认!2026年一级造价工程师教材沿用2025年版2026-01-04
- 备考必看:一级造价师《安装计量》十大核心知识点总结2025-11-02
- 速看!一级造价师《土建计量》十大核心考点总结2025-11-01
- 免费分享:一级造价师《工程计价》十大核心考点总结2025-10-31
- 一键收藏:一级造价师《造价管理》十大核心考点总结2025-10-30
- 免费分享:2025年一级造价师《工程计价》考点汇总2025-10-29
- 2025年一级造价师《工程计价》考试难度及考点分析2025-10-28
- 免费分享:2025年一级造价师《造价管理》考点汇总2025-10-27
- 免费分享:2025年一级造价师案例分析重要考点汇总2025-10-27
- 2025年一级造价师《造价管理》重点考查内容2025-10-24