2012造价工程师《造价法规》真题解析:单选三
课程推荐:精品VIP―网+面强势结合 全程领跑套餐―赢在起跑线上
相关推荐:2014年造价工程师在线模考 造价工程师备考指南
41.根据《关于实行建设项目法人责任制的暂行规定》,建设项目董事会的基本职责是( )。
A.组织编制初步设计文件
B.负责筹措建设资金
C.负责控制建设投资、工期和质量
D.组织单项工程竣工验收
【答案】B
【试题解析】项目董事会的职权。建设项目董事会的职权有:负责筹措建设资金;审核、上报项目初步设计和概算文件;审核、上报年度投资计划并落实年度资金;提出项目开工报告;研究解决建设过程中出现的重大问题;负责提出项目竣工验收申请报告;审定偿还债务计划和生产经营方针,并负责按时偿还债务;聘任或解聘项目总经理,并根据总经理的提名,聘任或解聘其他高级管理人员。
42.关于CM承包模式的说法,正确的是( )。
A.CM单位负责分包工程的发包
B.CM合同总价在签订CM合同时即确定
C.GMP可大大减少CM单位的承包风险
D.CM单位不赚取总包与分包之间的差价
【答案】D
【试题解析】CM合同为GMP加酬金合同,CM单位不赚取总包与分包之间的差价。
43.工程项目管理组织机构采用直线制形式的优点是( )。
A.人员机动、组织灵活
B.多方指导、辅助决策
C.权力集中、职责分明
D.横向联系、信息流畅
【答案】C
【试题解析】直线制组织机构的主要优点是结构简单、权力集中、易于统一指挥、隶属关系明确、职责分明、决策迅速。但由于未设职能部门,项目经理没有参谋和助手,要求领导者通晓各种业务,成为“全能式”人才。无法实现管理工作专业化,不利于项目管理水平的提高。
44.下列工程项目计划表中 ,用来阐明各单位工程的建筑面积、投资额、新增固定资产、新增生产能力等建筑总规模及本年计划完成情况的是( )。
A.年度竣工投产交付实用计划表
B.年度计划项目表
C.年度建设资金平衡表
D.按资计划年度分配表
【答案】A
【试题解析】年度竣工投产交付使用计划表:用来阐明各单位工程的建筑面积、投资额、新增固定资产、新增生产能力等建筑总规模及本年计划完成情况,并阐明其竣工日期。
45.下列工程项目目标控制方法中,可以来判断工程造价偏差的是( )。
A.控制图法
B.鱼刺图法
C.S曲线法
D.网络计划法
【答案】C
【试题解析】可以来判断工程造价偏差的方法是S曲线法。
46.下列流水施工参数中,属于空间参数的是( )。
A.流水节奏
B.施工过程
C.流水步距
D.施工段
【答案】D
【试题解析】空间参数是指在组织流水施工时,用以表达流水施工在空间布置上开展状态的参数。通常包括工作面和施工段。
47.某分部工程划分为两个施工过程、3个施工段组织流水施工,流水节拍分别为3、4、2天和3、5、4天,则流水步距为( )天
A.2
B.3
C.4
D.5
【答案】C
【试题解析】在非节奏流水施工中,通常采用累加数列错位相减取大差法计算流水步距。累加数列错位相减取大差法的基本步骤如下:
(1)求各施工过程流水节拍的累加数列:
施工过程Ⅰ:3,7,9
施工过程Ⅱ:3,8,12
(2)错位相减求得差数列:

48.关于建设工程等步距异节奏流水施工特点的说法,正确的是( )。
A. 施工过程数大于施工段数
B.流水步距等于流水节拍
C.施工段之间可能有空闲时间
D.专业工作队数大于施工过程数
【答案】D
【试题解析】等步距异节奏流水施工的特点如下:
①同一施工过程在其各个施工段上的流水节拍均相等;不同施工过程的流水节拍不等,但其值为倍数关系;
②相邻施工过程的流水步距相等,且等于流水节拍的最大公约数(K);
③专业工作队数大于施工过程数,即有的施工过程只成立一个专业工作队,而对于流水节拍大的施工过程,可按其倍数增加相应专业工作队数目;
④各个专业工作队在施工段上能够连续作业,施工段之间没有空闲时间。
49.在工程网络计划中,关键工作是指( )的工作。
A.最迟完成时间与最早完成时间的差值最小
B.双代号网络计划中开始节点和完成节点均为关键节点
C.双代号时标网络计划中无波形线
D.单代号网络计划中时间间隔为零
【答案】A
【试题解析】关键工作是总时差最小的工作。总时差等于最迟完成时间与最早完成时间的差值。
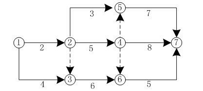
50.某工程双代号网络计划如下图所示,其中关键线路有( )条。

A.1
B.2
C.3
D.4
【答案】B
【试题解析】线路1257,时间为12;线路12457,时间为14;线路1247,时间为15;线路12367,时间为13;线路12467,时间为12;线路1367,时间15。时间最长的线路为关键路线。
51.工程网络计划费用优化是通过( )寻求工程总成本最低时的工期安排。
A.调整组合直接费用率最小的关键工作的逻辑关系
B.缩短组合直接费用率最大的关键工作的持续时间
C.缩短组合直接费用率最小的关键工作的持续时间
D.调整组合直接费用率最大的关键工作的逻辑关系
【答案】C
【试题解析】费用优化的基本思路:不断地在网络计划中找出直接费用率(或组合直接费用率)最小的关键工作,缩短其持续时间,同时考虑间接费随工期缩短而减少的数值,最后求得工程总成本最低时的最优工期安排或按要求工期求得最低成本的计划安排。
52.下列方法中,可用于工程风险分析与评价的是( )。
A.敏感性分析法
B.流程图分析法
C.财务报表法
D.初始风险清单法
【答案】A
【试题解析】常用的项目风险分析与评价的方法主要有调查打分法、蒙特卡洛模拟法、计划评审技术法和敏感性分析法等。
53.委托代理关系中,因委托书授权不明给第三人造成损失的,正确的责任承担方式是( )。
A.代理人向第三人承担民事责任,被代理人负连带责任
B.代理人向第三人承担全部民事责任
C.被代理人向第三人承担全部民事责任
D.被代理人向第三人承担民事责任,代理人负连带责任
【答案】D
【试题解析】委托代理关系中,因委托书授权不明给第三人造成损失的,被代理人向第三人承担民事责任,代理人负连带责任。
54.建设单位与施工单位因承包合同争议提起诉讼的,诉讼时效期为( )年。
A.1
B.2
C.3
D.4
【答案】B
【试题解析】我国《民法通则》规定,向人民法院请求保护民事权利的诉讼时效期间为2年。对于下列诉讼,其时效期间为1年:
(1)身体受到伤害要求赔偿的;
(2)出售质量不合格的商品未声明的;
(3)延付或者拒付租金的;
(4)寄存财产被丢失或者损毁的。
55.根据《合同法》,下列关于承诺的说法,正确的是( )。
A.承诺期限自要约发出时开始计算
B.承诺通知一经发出不得撤回
C.承诺可对要约的内容做出实质性变更
D.承诺的内容应当与要约的内容一致
【答案】D
【试题解析】承诺的内容应当与要约的内容一致。
56.根据《合同法》,具有撤销权的当事人自知道或者应当知道撤销事由之日起( )年内没有形式撤销权,合同撤销权消灭。
A. 1
B. 2
C.3
D.4
【答案】A
【试题解析】有下列情形之一的,撤销权消灭:
(1)具有撤销权的当事人自知道或者应当知道撤销事由之日起1年内没有行使撤销权;
(2)具有撤销权的当事人知道撤销事由后明确表示或者以自己的行为放弃撤销权。
57.根据《建筑法》,按照国务院有关规定批准开工报告的建筑工程,因故不能按期开工超过( )个月的,应当重新办理开工报告的批准手续
A.1
B.2
C.3
D.6
【答案】D
【试题解析】按照国务院有关规定批准开工报告的建筑工程,因故不能按期开工或者中止施工的,应当及时向批准机关报告情况。因故不能按期开工超过6个月的,应当重新办理开工报告的批准手续。
58.根据《招标投标法》,下列关于招标投标的说法,正确的是( )。
A.评标委员会成员为7人以上单数
B.联合体中标的,由联合体牵头单位与招标人签订合同
C.评标委员会中技术、经济等方面的老师不得少于成员总数的2/3
D.投标人应在递交投标文件的同时提交履约保函
【答案】C
【试题解析】评标委员会的组成。依法必须进行招标的项目,其评标委员会由招标人的代表和有关技术、经济等方面的老师组成,成员人数为5人以上单数。其中,技术、经济等方面的老师不得少于成员总数的2/3。
59.根据《政府采购法》,政府采购的主要方式是( ).
A.邀请招标
B.公开招标
C.竞争性谈判
D.询价
【答案】B
【试题解析】根据《政府采购法》,政府采购的主要方式是公开招标。
60.下列税种中,属于行为税的是( )。
A.个人所得税
B.契税
C.土地增值税
D.印花税
【答案】D
【试题解析】行为税是以特定行为为征税对象的各种税的统称。行为税主要包括:城镇土地使用税、固定资产投资方向调节税、耕地占用税、印花税、屠宰税、筵席税等。
环球网校友情提示:如果您在此过程中遇到任何疑问,请登录环球网校造价工程师考试频道及论坛,随时与广大考生朋友们一起交流,环球网校造价工程师交流群-340147616,欢迎您的加入!
更多造价工程师信息:
编辑推荐:
最新资讯
- 更新版:2025年一级造价师案例考试真题及答案(1-3题)2025-10-27
- 速领!2025年一级造价师各科目考试真题及答案【完整版】2025-10-26
- 2025年一级造价师《案例分析》真题解析(试题三)2025-10-25
- 2025年一级造价师《安装计量》真题答案61-70题2025-10-23
- 2025年一级造价师《安装计量》真题答案41-50题2025-10-23
- 2025年一级造价师《安装计量》真题及答案31-40题2025-10-23
- 2025年一级造价师《安装计量》真题答案21-30题2025-10-23
- 2025年一级造价师《案例分析》考试真题及答案(试题一)2025-10-23
- 2025年一级造价师案例真题及答案试题五(土建专业)2025-10-22
- 2025年一级造价师《土建计量》考试真题答案51-60题2025-10-22