2014年造价师《案例分析》教材第二章案例十三
课程推荐:精品VIP―网+面强势结合 环球造价工程师案例强化套餐
相关推荐:2014年造价工程师在线模考 2014年造价工程师考试大纲
专题推荐:环球网校造价最全习题演练套餐 环球网校造价工程师培训权威
【案例十三】
背景:
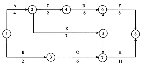
某工程双代号施工网络计划如图2-3所示,该进度计划已经监理工程师审核批准,合同工期为23个月。

图2-3双代号施工网络计划
问题:
1.该施工网络计划的计算工期为多少个月?关键工作有哪些7
2.计算工作B、C、G的总时差和自由时差。
3.如果工作C和工作G需共用一台施工机械且只能按先后顺序施工(工作C和工作G不能同时施工),该施工网络进度计划应如何调整较合理?
分析要点:
本案例考核网络计划的有关问题。
问题1考核网络计划关键线路和总工期的确定。
问题2考核网络计划时间参数的计算。
问题3考核网络计划在资源限定条件下的调整以及按工期要求对可行的调整方案的比选。在这一问题中,涉及工作之间的逻辑关系、网络图的绘制原则、节点编号的确定以及虚工作的运用,见图2-6。
网络计划的调整不仅可能改变总工期,而且可能改变关键线路。本案例为了强调这一点,在设置网络计划各工作的逻辑关系和持续时间时,特别使两个调整方案的关键线路和总工期均与原网络计划不同,而且互不相同。
需要特别指出的是,问题3需按要求重新绘制网络计划,通过计算比较工期长短后才能得出正确答案。不能简单地认为,由于在原网络计划中G工作之后是关键工作,因而应当先安排G工作再安排C工作。
答b.
问题1:
解:按工作计算法,对该网络计划工作最早时间参数进行计算:
1.工作最早开始时间ESi-j
ESl-2=ES1-3 =0
ES2-4=ES2-5= ESl-2+D1-2 =0 +4 =4
ES3-7=ESl-3+D1-3 =0+2=2
ES4-6=ES2-4+D2-4=4+2=6
ES6-8 =max[ (ES2-5 +D2-5),(ES4-6 +D4-6)}=max{(4+7),(6+6)}-12
ES7-8=max{(ES2-5+D2-5),(ES3-7+D3-7)}=max{(4+7),(2+6)}-11
2.工作最早完成时间EFi-j
EFl-2=ESl-2+D1-2 =0 +4 =4
EFl-3=ESl-3+Dl-3 =0+2=2
EF6-8=ES6-8+D6-8=12+8=20
EF7-8=ES7-8+D7-8=11+11=22
上述计算也可直接在图上进行,其计算结果如图2-4所示。该网络计划的计算工期:Tc= max{EF6一8,EF7-8)=max{20,22)=22(月)

图2-4 施工网络计划工期计算
关键路线为所有线路中最长的线路,其长度等于22个月。从图2-4可见,关键线路为1-2-5 -7 -8,关键工作为A、E、H不必将所有工作总时差计算出来后,再来确定关键工作。
问题2:
解:按工作计算法,对该网络计划工作最迟时间参数进行计算:
1.工作最迟完成时间LFi-j。
LF6-8=LF7-8=Tc=22
LF4-6=LF6-8 - D6-8=22 -8=14
LF2-5= min{(LF6-8- D6-8),(LF7-8- D7-8))
=min{(22-8), (22-11))=min{14,11)=11
2.工作最迟开始时间LSi-j。
LS6-8 =LF6-8 - D6-8=22 -8=14
LS7-8=LF7-8 - D7-8=22 ? 11= 11
LS2-5= LF2-5-D2-5=11 -7 =4
上述计算也可直接在图上进行,其结果如图2-4所示。利用前面的计算结果,根据总时差和自由时差的定义,可以进行如下计算:
B: TFl-3 = LSl-3 - ESl-3=3-0=3 FFl-3=ES3-7 - EFl-3=2-2=0
C:TF2-4= LS2―4- ES2―4=6-4=2 FF2-4=ES4-6- FF2-4=6-6 =0
G:TF3-7= LS3-7- ES3-7=5-2=3 FF3-7=ES7-8 ?FF3-7=11 -8-3
总时差和自由时差计算也可直接在图上进行,标注在相应位置,如图2-4所示,其他工作的总时差和自由时差本题没有要求。
问题3:
解:工作C和工作G共用一台施工机械且需按先后顺序施工时,有两种可行的方案:
1.方案一:按先C后G顺序施工,调整后网络计划如图2-5所示。

图2-6 先G后C顺序施工网络计划
T2= max{EF8-l0 ,EF9-10)=max{24,22}=24(月),关键线路为1-3 -4 -5 -6 -8 -10。
通过上述两方案的比较,方案一的工期比方案二的工期短,且满足合同工期的要求。因此,应按先C后G的顺序组织施工较为合理。他工作的总时差和自由时差本题没有要求。
因此,应按先C后G的顺序组织施工较为合理。
最新资讯
- 官方确认!2026年一级造价工程师教材沿用2025年版2026-01-04
- 备考必看:一级造价师《安装计量》十大核心知识点总结2025-11-02
- 速看!一级造价师《土建计量》十大核心考点总结2025-11-01
- 免费分享:一级造价师《工程计价》十大核心考点总结2025-10-31
- 一键收藏:一级造价师《造价管理》十大核心考点总结2025-10-30
- 免费分享:2025年一级造价师《工程计价》考点汇总2025-10-29
- 2025年一级造价师《工程计价》考试难度及考点分析2025-10-28
- 免费分享:2025年一级造价师《造价管理》考点汇总2025-10-27
- 免费分享:2025年一级造价师案例分析重要考点汇总2025-10-27
- 2025年一级造价师《造价管理》重点考查内容2025-10-24