岩土工程师辅导资料:土的工程参数的统计分析
更新时间:2010-11-03 13:34:38
来源:|0
浏览
收藏
注册土木工程师(岩土)报名、考试、查分时间 免费短信提醒
3 土的工程参数的统计分析
试验数据必须经过一定的统计分析,才能确定有一定可靠性的设计参数,才能对土的工作性状作出概率的预测。在工程地质中,把地质年代、成因、岩性特征、土的物理力学性状基本一致的划分为一个统计单元。
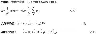
1)位置特征参数

极大值(xmax)与极小值(xmin):确定了试验数据的变化范围。在工程勘察中常采用去掉上下限各10%或25%后,再确定其变化范围。
众数:与概率密度函数分布曲线峰值相应的变量值,即出现次数最多的数值,也即误差最小的数值。
中位数(简称中值):把试验数据从小至大的顺序排列,当试验数据总数N为奇数时,取(N+1)/2个值;当为偶数时,取N/2个值。即大于或小于中位数的概率各为1/2。《勘察规范》第12.2.2条规定,应分析误差的原因和取舍标准。
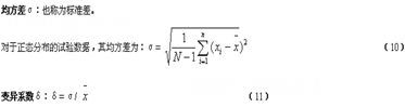
2) 离散性特征参数
离散性特征参数用来描述试验数据的波动特征。
极差Rx:
Rx= xmax-xmin

当变异系数过大时,应重新分层或补作试验。
1.8.4 《岩土工程勘察规范》中受力层的主要参数应按下列方案评价其变异性(第14.2.2条)。
(1)岩土参数应按工程地质单元和层位分别统计
(2)主要参数宜绘制沿钻孔深度变化的图件,并按变化特点划分相关型和非相关型。当需要时应分析参数在水平方向上的变异规律。
(3)相关型参数宜结合岩土参数和深度的经验关系,并按13式确定变异系数:

更多内容访问>> 注册土木工程师(岩土)考试频道 注册土木工程师(岩土)考试论坛 岩土工程师课程试听
·2011年注册土木工程师(岩土)考试辅导招生简章
·岩土工程师辅导现在报名任意专业知识赠送专业知识习题班
·老师辅导每天24小时不限时间随时反复学习……
编辑推荐
最新资讯
- 1元领取!2026注册土木工程师(岩土)知识点集锦课程2026-03-31
- 2025年注册土木工程师(岩土)考试《专业知识》科目重点考点2025-10-17
- 2025年注册土木工程师(岩土)基础知识考点复习2025-10-17
- 2025年岩土工程师基础知识点:地面沉降2025-09-10
- 2025年岩土工程师《基础知识》考点:基坑围护设计2025-09-01
- 2025年岩土工程师《基础知识》考点:监测点要求2025-08-22
- 2025年岩土工程师《基础知识》考点:砌体工程2025-08-11
- 2023年注册岩土工程师基础考试资料2024-09-20
- 2024年度全国注册土木工程师(岩土)专业考试所使用的标准和法律法规2024-08-12
- 注册岩土工程师备考要趁早 双11好课限时优惠!直播间更有返现抽奖~2023-10-31