岩土工程师辅导资料:资金成本的涵义
更新时间:2010-11-23 12:54:48
来源:|0
浏览
收藏
注册土木工程师(岩土)报名、考试、查分时间 免费短信提醒
资金成本就是企业因在筹集资金和使用资金时所支付的一定代价。企业可以利用各种方式从多种渠道筹集资金,但不论具体方式如何,企业都要付出一定代价,花费一定的成本,即付出筹资费和使用费。筹资费是指企业在筹集资金过程中发生的各种费用,如委托金融机构代理发行股票、债券而支付的注册费和代理费等,向银行借款而支付的手续费等。使用费是指企业因使用资金而向资金提供者支付的报酬,如采用发行股票方式筹集的资金,要向股东们支付利息、红利;采用发行债券和银行贷款方式借入的资金,要向债权人支付利息;使用租入的资产,要向出租人支付租金等等。由于在不同情况下筹集资金的总额不同,为了便于比较,资金成本通常以相对数来表示,即用资金成本率来表示。
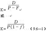
资金成本一般用下式来计算:

式中,K——资金成本率(一般通称为资金成本);
P——筹集资金总额;
D——使用费;
F——筹资费;
f——筹资费费率,即筹资费占筹集资金总额的比率。
资金成本是市场经济条件下,企业财务管理中的一个重要概念,它是选择资金来源、拟定筹资方案的主要依据,是评价投资项目可行性的主要经济标准,也可作为评价企业财务经营成果的依据。
更多内容访问>> 注册土木工程师(岩土)考试频道 注册土木工程师(岩土)考试论坛 岩土工程师课程试听
·2011年注册土木工程师(岩土)考试辅导招生简章
·岩土工程师辅导现在报名任意专业知识赠送专业知识习题班
·老师辅导每天24小时不限时间随时反复学习……
编辑推荐
下一篇:岩土工程师辅导资料:资产负债率
最新资讯
- 1元领取!2026注册土木工程师(岩土)知识点集锦课程2026-03-31
- 2025年注册土木工程师(岩土)考试《专业知识》科目重点考点2025-10-17
- 2025年注册土木工程师(岩土)基础知识考点复习2025-10-17
- 2025年岩土工程师基础知识点:地面沉降2025-09-10
- 2025年岩土工程师《基础知识》考点:基坑围护设计2025-09-01
- 2025年岩土工程师《基础知识》考点:监测点要求2025-08-22
- 2025年岩土工程师《基础知识》考点:砌体工程2025-08-11
- 2023年注册岩土工程师基础考试资料2024-09-20
- 2024年度全国注册土木工程师(岩土)专业考试所使用的标准和法律法规2024-08-12
- 注册岩土工程师备考要趁早 双11好课限时优惠!直播间更有返现抽奖~2023-10-31