当前位置: 首页 > 注册土木工程师(岩土) > 注册土木工程师(岩土)备考资料 > 岩土工程师辅导资料:函数子程序

岩土工程师辅导资料:函数子程序

更新时间:2010-11-30 13:04:17 来源:|0 浏览0收藏0

注册土木工程师(岩土)报名、考试、查分时间 免费短信提醒

地区

获取验证 立即预约

请填写图片验证码后获取短信验证码

看不清楚,换张图片

免费获取短信验证码

  如果引入的函数只限于在某一程序单位中使用,且此函数能用一个表达式来计算,则可以把它定义为语句函数。由于只用了一个语句,故这一类函数的计算均很简单。但是,有许多问题,仅仅用语句函数是不能解决的,如∫∫f(x,y)dxdy,须用一系列语句来完成,因此,常将这一类问题编写成一个程序块,在程序中被主程序或其他子程序所调用,是一个独立的程序模块。为区别于语句函数或系统配置的标准函数,我们称它为外部函数。

  1.函数子程序语句的一般格式

  [类型说明]FUNCTION函数名([虚拟参数[,虚拟参数]…])

  类型说明可以是REAL、INTEGER、LOGICAL、CHARACTER、DOUBLE PRECI-SION、COMPLEX中的任意一个,仅仅用来说明函数的类型,可以省略。

  函数名的取法与普通变量名的取法相同,因为函数名是用来代表函数值的,故它必然具有类型,如果在关键字FUNCTION之前没有类型说明,则由隐含规则确定函数名的类型。

  函数名后括号中的虚拟参数(又称哑元)只能是简单变量名、数组名、哑过程名。如编写计算M!的函数子程序:

  INTEGER FUNCTION FC(M)

  FC=1.0

  DO 10 N=2,M

  10 FC=FC*N

  RETURN

  END

  此子程序在后面的例题中可发挥很大的作用。在上例函数子程序中,定义了整型函数FC,FC只有一个哑元M,在计算运行中,M被多次赋值,得到相应的FC值。

  2.构造函数子程序的一般规则

  (1)函数子程序必须以FUNCTION语句作为它的第一条语句。

  (2)函数子程序的最后一行必须是END语句,在编译时,该语句被作为本程序块的结束标志。

  (3)在函数子程序中,一般至少有一个RETURN语句,当程序执行过程中遇到RE.TURN语句,将控制转移到调用程序处。

  (4)函数名必须在程序中被定值一次,也可以多次定值。

  (5)在函数子程序中可以调用其他函数子程序,但不能直接或间接调用自己。

  (6)RETURN语句是一个可执行语句,当执行到该语句时,结束过程的引用,将控制返回到当前引用的程序单位。

  3.函数子程序的调用

  在引用函数子程序的地方,只要写出函数的名字,并在其后面的括号中与哑元对应的位置上,写上相应的实元即可。

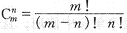
  实元可以是常数、常数符号名、简单变量名、数组元素名、数组名及表达式等。值得注意的是,实元与哑元的个数要相同,它们之间的类型和位置必须一一对应,与名字本身无关。如计算

  求上式时,需计算三次阶乘数,故可以调用上例中的函数子程序FC,主程序如下:

  INTEGER FC

  READ(*,*)M,N

  10 MNC=FC(M)/(FC(M—N)*FC(N))

  WRITE(*,*)’M=’,M,’N=’,N,’MNC=’,MNC

更多内容访问>> 注册土木工程师(岩土)考试频道   注册土木工程师(岩土)考试论坛  岩土工程师课程试听

·2011年注册土木工程师(岩土)考试辅导招生简章
·岩土工程师辅导现在报名任意专业知识赠送专业知识习题班
·老师辅导每天24小时不限时间随时反复学习……

分享到: 编辑:环球网校

资料下载 精选课程 老师直播 真题练习

注册土木工程师(岩土)资格查询

注册土木工程师(岩土)历年真题下载 更多

注册土木工程师(岩土)每日一练 打卡日历

0
累计打卡
0
打卡人数
去打卡

预计用时3分钟

注册土木工程师(岩土)各地入口
环球网校移动课堂APP 直播、听课。职达未来!

安卓版

下载

iPhone版

下载

返回顶部