岩土工程师辅导资料:条件语句
更新时间:2010-12-02 11:03:08
来源:|0
浏览
收藏
注册土木工程师(岩土)报名、考试、查分时间 免费短信提醒
条件语句又称为IF语句,它可用来处理多个分支。
1.算术条件语句
格式为:IF(e)S1,S2,S3
式中e是整型、实型、双精度实型算术表达式,(e)是算术表达式的值。S1,S2,S3是可执行语句标号,其值可以相同。
功能:如下图所示。

格式为:IF(e)st
式中e为逻辑表达式,(e)为逻辑表达式的值,st为一内嵌语句,一定为可执行语句。但 DO、块IF,ELSEIF,ELSE,ENDIF,END或另一个逻辑IF语句,均不能作为内嵌语句。
功能:若(e)为.F.,则执行IF语句的下一个语句,若(e)为.T.,则执行st语句,若st为非转移语句,则接着执行IF语句的下一个语句。
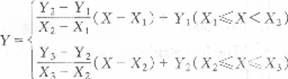
如已知X在X1与X3之间,X1

用逻辑IF语句编程如下:
READ(*,*)X1,X2,X3,Y1,Y2,Y3
10 READ(*,*)X
IF (X.LT.X1.OR.X.GT.X3)GOTO 10
IF(X.GE.X2)Y=(Y3-Y2)*(X—X2)/(X3-X2)+Y2
IF(X.LT.X2)Y=(Y2-Y1)*(X—X1)/(X2-X1)+Yl
WRITE(*,*)’X=’,X,’Y=’,Y
GOTO 10
END
更多内容访问>> 注册土木工程师(岩土)考试频道 注册土木工程师(岩土)考试论坛 岩土工程师课程试听
·2011年注册土木工程师(岩土)考试辅导招生简章
·岩土工程师辅导现在报名任意专业知识赠送专业知识习题班
·老师辅导每天24小时不限时间随时反复学习……
编辑推荐
上一篇:岩土工程师辅导资料:不同数制转换
下一篇:岩土工程师辅导资料:网络拓扑结构
最新资讯
- 1元领取!2026注册土木工程师(岩土)知识点集锦课程2026-03-31
- 2025年注册土木工程师(岩土)考试《专业知识》科目重点考点2025-10-17
- 2025年注册土木工程师(岩土)基础知识考点复习2025-10-17
- 2025年岩土工程师基础知识点:地面沉降2025-09-10
- 2025年岩土工程师《基础知识》考点:基坑围护设计2025-09-01
- 2025年岩土工程师《基础知识》考点:监测点要求2025-08-22
- 2025年岩土工程师《基础知识》考点:砌体工程2025-08-11
- 2023年注册岩土工程师基础考试资料2024-09-20
- 2024年度全国注册土木工程师(岩土)专业考试所使用的标准和法律法规2024-08-12
- 注册岩土工程师备考要趁早 双11好课限时优惠!直播间更有返现抽奖~2023-10-31