岩土工程师辅导资料:循环语句
更新时间:2010-12-03 15:09:21
来源:|0
浏览
收藏
注册土木工程师(岩土)报名、考试、查分时间 免费短信提醒
作为结构化程序三种基本结构(顺序结构,分支选择结构,循环结构)之一,循环结构具有很大的用途,必须很好地掌握它的特点及应用技巧。
循环语句——DO语句或DO循环
直接指定循环的范围和次数,其格式为:
DO S[,] I=e1,e2[,e3]
式中,S为一可执行语句的标号,这个语句称为DO循环的终端语句,其位置于DO语句之后;
I为整型、实型或双精度实型变量名,称为DO变量或循环控制变量;
e1、e2、e3分别为变量的初值、终值和增量,e3≠0,当e3=1时,可省略不写。
2.DO循环的执行
DO循环的执行包括以下各步:执行DO语句,循环控制处理,范围的执行,执行终端语句,增值处理。
1)执行DO语句
(1)计算表达式e1、e2、e3的值,并将它们转换成循环变量的类型,以确定初始参数、终结参数和增值参数。
(2)将初始参数赋给DO变量I。
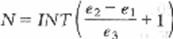
(3)计算循环次数N。
![]()
更多内容访问>> 注册土木工程师(岩土)考试频道 注册土木工程师(岩土)考试论坛 岩土工程师课程试听
·2011年注册土木工程师(岩土)考试辅导招生简章
·岩土工程师辅导现在报名任意专业知识赠送专业知识习题班
·老师辅导每天24小时不限时间随时反复学习……
编辑推荐
上一篇:岩土工程师辅导资料:选择语句
最新资讯
- 1元领取!2026注册土木工程师(岩土)知识点集锦课程2026-03-31
- 2025年注册土木工程师(岩土)考试《专业知识》科目重点考点2025-10-17
- 2025年注册土木工程师(岩土)基础知识考点复习2025-10-17
- 2025年岩土工程师基础知识点:地面沉降2025-09-10
- 2025年岩土工程师《基础知识》考点:基坑围护设计2025-09-01
- 2025年岩土工程师《基础知识》考点:监测点要求2025-08-22
- 2025年岩土工程师《基础知识》考点:砌体工程2025-08-11
- 2023年注册岩土工程师基础考试资料2024-09-20
- 2024年度全国注册土木工程师(岩土)专业考试所使用的标准和法律法规2024-08-12
- 注册岩土工程师备考要趁早 双11好课限时优惠!直播间更有返现抽奖~2023-10-31