岩土工程师辅导:材料的密度、表观密度与堆积密度
1)密度(俗称比重)(ρ)定义:密度是指材料在绝对密实状态下,单位体积的质量。计算式 $lesson$
式中,ρ――密度,g/cm3;
m――材料的质量,g;
V――材料在绝对密实状态下(不包括任何孔)的体积,cm3。
当测定有孔隙材料的密度时,应把材料磨成细粉,干燥后用李氏瓶测定其体积。
测定密实材料密度时,以块状材料为试样,用排液法测量其体积。
对某些致密材料,如碎石或卵石等,因材料中部分与外部不连通的封闭孔隙无法排除,这时所求得的密度称为近似密度(ρa)。
2)表观密度(俗称容重)(ρo)
定义:表观密度是指材料在自然状态下,单位体积的质量。计算式
式中,

ρo――表观密度,g/cm3或kg/m3;
m――材料的质量,g或kg;
Vo――材料在自然状态下(包含内部所有的孔隙)的体积,或称表观体积,cm3或m3。
当材料孔隙内含水时,其质量和体积均将有所变化。所以?般是指材料在气干状态(长期在空气中干燥)下的表观密度。在烘干状态下的表观密度称为干表观密度。
3)堆积密度(ρo′)
定义:堆积密度是指粉状或粒状材料在堆积状态下单位体积的质量。计算式

式中,ρo′――堆积密度,kg/m3;
m――材料的质量,kg;
Vo′――材料的堆积体积(包含材料颗粒体积、颗粒之间的空隙和颗粒与容器壁间空隙),m3。
2.材料的孔隙率、孔隙特征、空隙率
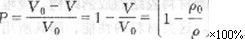
1)孔隙率(P)
定义:孔隙率是指材料体积内,孔隙体积所占的比例。计算式

式中,P――孔隙率(%);
其他符号与前同。
孔隙率反映材料的致密程度。密实度D.
D=1-P
2)孔隙特征(构造)
孔隙的构造,可分为连通孔与封闭孔。连通孔不仅彼此贯通且与外界相通;而封闭孔则不仅彼此不连通且与外界相隔绝。按孔隙尺寸大小又分为极微孔、细孔和大孔。孔隙构造不同,对材料性能影响较大。
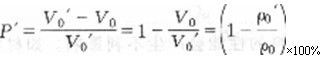
3)空隙率(P′)定义:空隙率是指散粒材料在其堆积体积中,颗粒之间的空隙所占的比例。计算式

空隙率的大小反映了散粒材料的颗粒互相填充的致密程度。可作为控制混凝土骨料级配与计算砂率的依据。填充率(D′)
D′=1-P′
更多内容访问>> 注册土木工程师(岩土)考试频道 注册土木工程师(岩土)考试论坛 岩土工程师课程试听
?2011年注册土木工程师(岩土)考试辅导招生简章
?岩土工程师辅导现在报名任意专业知识赠送专业知识习题班
?老师辅导每天24小时不限时间随时反复学习……
最新资讯
- 1元领取!2026注册土木工程师(岩土)知识点集锦课程2026-03-31
- 2025年注册土木工程师(岩土)考试《专业知识》科目重点考点2025-10-17
- 2025年注册土木工程师(岩土)基础知识考点复习2025-10-17
- 2025年岩土工程师基础知识点:地面沉降2025-09-10
- 2025年岩土工程师《基础知识》考点:基坑围护设计2025-09-01
- 2025年岩土工程师《基础知识》考点:监测点要求2025-08-22
- 2025年岩土工程师《基础知识》考点:砌体工程2025-08-11
- 2023年注册岩土工程师基础考试资料2024-09-20
- 2024年度全国注册土木工程师(岩土)专业考试所使用的标准和法律法规2024-08-12
- 注册岩土工程师备考要趁早 双11好课限时优惠!直播间更有返现抽奖~2023-10-31