岩土工程师练习:向量代数与空间解析几何1
更新时间:2013-07-30 09:22:01
来源:|0
浏览
收藏
注册土木工程师(岩土)报名、考试、查分时间 免费短信提醒
摘要 岩土工程师练习:向量代数与空间解析几何
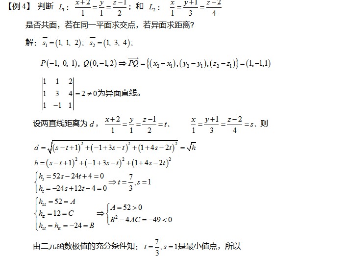
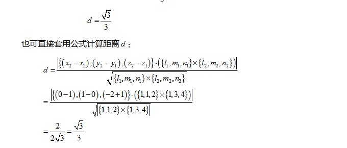
根据考试大纲得知,岩土工程师考试基础部分――高等数学考点含有:空间解析几何、微分学、积分学、无穷级数、常微分方程、概率与数理统计、向量分析、线性代数。中华考试网根据网校学员反馈需求整理了相关知识点,本节为学员讲述的知识点为向量代数与空间解析几何――向量代数练习题,具体内容如下:




编辑推荐:
编辑推荐
最新资讯
- 2025岩土工程师考试专业基础知识考前模拟题2025-10-30
- 考前练习!2025年岩土工程师《公共基础知识》模拟试题2025-10-30
- 2025岩土工程师考试《专业知识》测试题2025-10-24
- 2025年岩土工程师考试《公共基础知识》模拟练习题2025-10-24
- 2025年岩土工程师考试《专业知识》模拟考题及答案2025-10-16
- 2025年岩土工程师考试《公共基础知识》考前模拟试题2025-10-16
- 2025年注册岩土工程师专业基础知识题集2025-10-09
- 2025年注册岩土工程师《公共基础知识》试题库2025-10-09
- 2025年岩土工程师考试《专业基础知识》模拟试题2025-09-26
- 2025年注册岩土工程师基础考试试题库2025-09-26