岩土师考试辅导:向量代数与空间解析几何2
更新时间:2013-07-30 10:01:56
来源:|0
浏览
收藏
注册土木工程师(岩土)报名、考试、查分时间 免费短信提醒
摘要 岩土师考试辅导:向量代数与空间解析几何
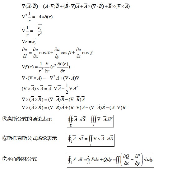
根据考试大纲得知,岩土工程师考试基础部分――高等数学考点含有:空间解析几何、微分学、积分学、无穷级数、常微分方程、概率与数理统计、向量分析、线性代数。中华考试网根据网校学员反馈需求整理了相关知识点,本节为学员讲述的知识点为向量代数与空间解析几何――向量代数,具体内容如下:



编辑推荐:
编辑推荐
最新资讯
- 1元领取!2026注册土木工程师(岩土)知识点集锦课程2026-03-31
- 2025年注册土木工程师(岩土)考试《专业知识》科目重点考点2025-10-17
- 2025年注册土木工程师(岩土)基础知识考点复习2025-10-17
- 2025年岩土工程师基础知识点:地面沉降2025-09-10
- 2025年岩土工程师《基础知识》考点:基坑围护设计2025-09-01
- 2025年岩土工程师《基础知识》考点:监测点要求2025-08-22
- 2025年岩土工程师《基础知识》考点:砌体工程2025-08-11
- 2023年注册岩土工程师基础考试资料2024-09-20
- 2024年度全国注册土木工程师(岩土)专业考试所使用的标准和法律法规2024-08-12
- 注册岩土工程师备考要趁早 双11好课限时优惠!直播间更有返现抽奖~2023-10-31