岩土工程师考试《基础知识》练习第十二套
更新时间:2013-10-21 10:54:51
来源:|0
浏览
收藏
注册土木工程师(岩土)报名、考试、查分时间 免费短信提醒
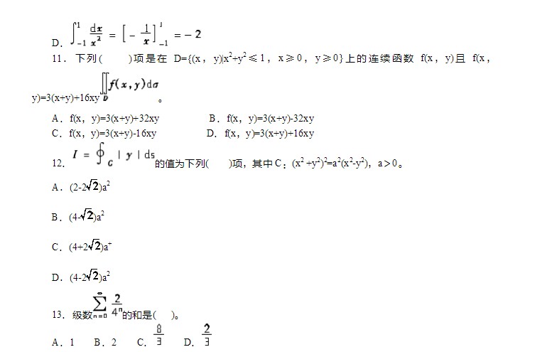
摘要 岩土工程师考试《基础知识》练习试题
编辑推荐
最新资讯
- 2025岩土工程师考试专业基础知识考前模拟题2025-10-30
- 考前练习!2025年岩土工程师《公共基础知识》模拟试题2025-10-30
- 2025岩土工程师考试《专业知识》测试题2025-10-24
- 2025年岩土工程师考试《公共基础知识》模拟练习题2025-10-24
- 2025年岩土工程师考试《专业知识》模拟考题及答案2025-10-16
- 2025年岩土工程师考试《公共基础知识》考前模拟试题2025-10-16
- 2025年注册岩土工程师专业基础知识题集2025-10-09
- 2025年注册岩土工程师《公共基础知识》试题库2025-10-09
- 2025年岩土工程师考试《专业基础知识》模拟试题2025-09-26
- 2025年注册岩土工程师基础考试试题库2025-09-26





