2009年经济师《中级邮电专业知识与实务》真题
一、单项选择题(共60题.每题1分,每题的备选项中,只有1个最符合题意)
1.作为社会经济的有机组成部分,产业是( )产物。
A.社会分工 B.区域竞争
C.制度健全 D.政策实施
2.随着科学技术的进步和社会生产力的快速发展出现了四次产业划分法,在第四次产业划分法中突出了( )。
A.农业 B.工业
C.服务业 D.信息业
3.假定某企业在发展过程中投入、产出变化率的关系为:增加25%,产出相应则增加25%,该企业的生产具有( )。
A规模经济性B范围经济性C网络外部性D生产外部性
4.在农业、工业、服务业的生产、管理等各环节广泛应用信息技术,大力开发和利用信息资源,从而实现各种资源的优化与重组,促进产业结构合理化和高级化,这属于( )信息化的内容。
A企业 B产业 C家庭 D政府
5.最可能购成市场进入壁垒的是( )。
A.产业市场竞争激烈 B产业规模化济性显著
C.企业存在沉没成本 D企业资产专用性很强
6.下列市场结构中,( )可以实现市场参与者整体福利最大化。
A.完全竞争市场 B垄断竞争市场
C.寡头垄断市场 D完全垄断市场
7.为反映通信产业经济规模的纵向实现程度,可考察实现( )的企业的产量占产业链流程各阶段产量的比例。
A.垂直-体化B纵向分离
C.横向-体化D范围经济性
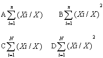
8.赫芬达尔—赫希曼指数(HHI)是表示市场竞争程度的指标。假设N为企业内企业总数,n为规模最在的前n位企业个数,X为市场总规模,Xi为第i位企业的规模,则HHI的计算公式为( )

9.管制应与( )的发展相协调,随着后者的日趋成熟逐步弱化管制力度。
A资本市场结构B市场竞争机制
C宏观经济政策D现代企业制度
10.电信普遍服务基金通常用于( )。
A向所有电信用户提供资助
B先进通信技术项目建设
C基本通信设施建设
D向特定的高成本地区和低收入用户提供资助
11.许多国家采取限制基础电信企业数量的管制政策,目的是为了追求( )。
A垄断利润B竞争活力C规模经济效益D外部经济效益
12.在电信业务由单一企业垄断经营的时期,不存在电信( )管制问题。
A普遍服务B信息安全C业务资费D网间互联
13.邮政管制是指邮政监管机构通过法律手段、行政手段( )手段等,制定相应的政策、法规,对邮政行业、邮政企业、邮政市场实施监督管理的行为。
A市场B经济C技术D计划
14.目前世界上公认的保障邮政普遍服务最行之有效的方法之一是( )制度。
A邮政专营B邮政市场准入C邮政资费管理D邮政服务质量管制
15.邮件传递时限和邮件传递频次由( )统一制定,它他是反映邮政通信迅速性的指标。
A国家质量监督部门B国家邮政局C省邮政管理局D中国邮政集团公司
16.在邮政服务质量指标体系中,通信质量指标又可分为时限指标、安全质量指标和( )
A信息指标B准确指标
C频次指标D方便指标
17从电信网的水平结构来看,接入网位于( )和用电驻地网之间,包含了连接两者的所有设施设备与线路。
A交换网B核心网C广域网D传输网
18.在电话网中,完成用户呼叫接续的主要设备是( )。
A数字程控交换机B X.25分组交换机
C路由器D光端机
19.在数据通信网发展的过程中出现的,采用数字传输技术、利用数字信道提供永久性、半永久性连接线路的通信网称为( )。
A分组交换网B帧中继网C数字数据网D互联网
20.互联网使用非面向连接技术,每个IP包走向不确定,因此( )。
A造成地址资源紧张B增加了网络运行成本
C难以保证QoS D限制了网络应用的发展
21.目前已被国际电信联盟批准的3G标准不包括( )。
A.WCDMA BTD-SCDMA CWiWAX DWi-Fi
22.全国干线邮政实物传递网是以北京、上海等七个一级中心局为中心,通过干线邮路连接各干线邮路通达局而形成的。其中七个一级中心局之间的网络结构是( )。
A网状网B星状网
C辐射网D复合网
23.邮政金融网是在邮政综合计算机网通信平台和( )的基础上,由邮政金融专业专用的终端和各级业务处理中心组成的专用业务网络。
A实物传递网B邮政业务网
C公用电信网D邮政物理网
24.传递时限量确定邮件传递速度的主要指标,又可分为( )
A全程运递时限和局内作业时限B阶段运递时限和基本作业时限C全程运递时限和阶段作业时限D阶段运递时限和局内作业时限
25.下列业务中,不属于邮政物流业务的是( )
A同城配送业务B货运代理业务
C分销配送业务D电子信函业务
26.会计成本是按照一套通行的企业会计制度和成本核算规定进行核算的成本,目的是核算通信运营企业一定经营期间的( ),从而对内制定生产经营决策,对外向投资者、债权人、征税人等利益相关者传达企业经营活动的信息。
A收入状况B损益状况C生产能力状况D纳税状况
27.资金成本是企业所占用资金的一个合理回报,通常采用加权平均资本成本(WACC)表示,计算公式为WACC=rD(D/V)+rg(1-D/V)。其中,D为公司债务的市值,V为公司的总市值。那么rD表示( )。
A债务成本B股权成本C债务比率D股权比率
28.成本代理模型是一种( )的对前瞻性成本进行测算的方法。
A自上而下B由外向内C自下而上D由内向外
29.通信成本是通信企业在向消费者提供信息传递等服务的过程中耗费的( )的货币表现。
A各种资源B自然资源C生产资料D劳动资源
30.相对于定额资费来说,二部资费能更好地反映通信业务的( )。
A使用质量B使用数量C成本结构D 成本大小
31.各国电信资费改革进程中普遍经历过“资费再平衡”阶段,造成资费再平衡的根本原因是( )。
A消费者需求增加B通信距离“死亡”
C电信市场引入竞争D电信成本降低
32.电信企业制定的“选择资费”的选择权属于( )。
A电信用户B电信企业C电信管制机构D服务提供商
注:剩余题目仍在整理中,稍后公布!
最新资讯
- 中级经济师历年真题库大放送!速来免费刷题,抢占备考先机!2026-03-05
- 中级经济师近5年真题合集+高频考点习题精选【免费领取】2026-03-03
- 【免费领取】中级经济师真题100道:出题套路一眼看懂(适用2026备考)2026-02-10
- 【免费领取】2020–2025年中级经济师真题全集+ 高频考点演进图与2026备考优先级清单2026-02-09
- 【免费领取】中级经济师真题怎么用才有效?近年真题价值与刷题方法解析2026-01-19
- 2026年中级经济师备考必备:免费领取历年全科真题及答案解析2025-12-29
- 2025年中级经济师考后真题及答案在哪里下载?指南来了2025-11-07
- 2025年中级经济师考情深度解析:各科目难度对比与备考策略2025-11-06
- 【完整版真题】2025年中级经济师工商11月2日下午场真题及答案发布2025-11-05
- 2025年中级经济师考试整体考情分析(附各科真题下载)2025-11-05


