中级财务管理风险与收益分析复习资料七
环球网校为广大学员整理会计职称《中级财务管理》考试复习资料,以便更好的为2009年会计职称考试做准备:本节内容 风险与收益分析――资产组合的风险与收益分析,希望为广大考生的考试复习带来帮助,祝考试顺利!
第二节 资产组合的风险与收益分析
三、系统风险及其衡量
系统风险,又被称为市场风险或不可分散风险,是影响所有资产的、不能通过资产组合来消除的风险。这部分风险是由那些影响整个市场的风险因素所引起的。这些因素包括宏观经济形势的变动、国家经济政策的变化、税制改革、企业会计准则改革、世界能源状况、政治因素等。
单项资产或资产组合受系统风险影响的程度,可以通过ß系数来衡量。
(一)单项资产的ß系数
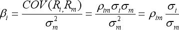
单项资产的ß系数,是指可以反映单项资产收益率与市场平均收益率之间变动关系的一个量化指标。它表示单项资产收益率的变动受市场平均收益率变动的影响程度。换句话说,就是相对于市场组合的平均风险而言,单项资产系统风险的大小。
ß系数的定义式如下:
式中,
,表示第i种资产的收益率与市场组合收益率的相关系数;
是第i种资产收益率的标准差,表示该资产的风险大小;
是市场组合收益率的标准差,表示市场组合的风险;
三个指标的乘积表示第i种资产收益率与市场组合收益率的协方差。
由于无风险资产的
为零,所以,无风险资产的β值为零;
市场组合相对于它自己的
,相关系数为1,所以,市场组合相对于它自己的β值为1。
(二)市场组合及其风险的概念
市场组合,是指由市场上所有资产组成的组合。它的收益率就是市场平均收益率,实务中通常用股票价格指数的收益率来代替。而市场组合的方差则代表了市场整体的风险。由于包含了所有的资产,因此市场组合中的非系统风险已经被消除,所以市场组合的风险就是市场风险。
①当
=1时,表示该单项资产的收益率与市场平均收益率呈相同比例的变化,其风险情况与市场投资组合的风险情况一致;
②如果
>1,说明该单项资产的风险大于整个市场投资组合的风险;
③如果
<1,说明该单项资产的风险程度小于整个市场投资组合的风险。
点击进入:会计专业技术资格(会计职称)考试在线模考
点击进入:环球网校会计职称考试免费在线试听
2008年中级会计职称真题:经济法
2008年初级会计职称真题:经济法基础
最新资讯
- 2026中级会计财务管理三色笔记:覆盖全书重点,精准分层2026-03-22
- 2026中级会计经济法全书知识点名称+对应分值汇总,背题抓分不盲目2026-03-21
- 26年中级会计实务各章节重点+思维导图,可直接下载!备考省80%时间2026-03-20
- 2026中级会计经济法:知识点+分值速览(免费下载,高效抓分)2026-03-20
- 2026中级会计财务管理必背公式汇总|可下载打印,记牢直接提分2026-03-19
- 2026中级会计三色笔记:实务+经济法+财管三科汇总,覆盖全书核心考点2026-03-19
- 2026中级财务管理公式汇总免费下载!告别死记硬背,计算不丢分2026-03-18
- 2026中级会计实务重点分录汇总免费领!告别死记硬背,应试必用2026-03-18
- 2026中级会计实务教材目录+重点章节提醒!2026-03-18
- 救命!2026中级会计财务管理三色笔记,公式+考点一站式搞定2026-03-14


