2010年《中级财务管理》预习:证券评价(2)
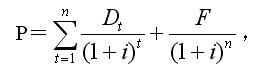
②如股票持有时间超过1年,则需要按每年复利一次考虑资金时间价值,其持有期年均收益率可按如下公式计算:

式中,i为股票的持有期年均收益率;
P为股票的购买价格;
F为股票的售出价格;
Dt为各年分得的股利;转自环 球 网 校edu24ol.com
n为投资期限。
【例3-26】
万通公司在2001年4月1日投资510万元购买某种股票100万股,在2002年、2003年和2004年的3月31日每股各分得现金股利0.5元,0.6元和0.8元,并于2004年3月31日以每股6元的价格将股票全部出售,试计算该项投资的投资收益率。
解答:可采用逐次测试法、插值法进行计算,计算过程见表3-1。
表3-1 单位:万元
|
时间 |
股利及出售股票的现金流量 |
测试20% |
测试18% |
测试16% |
|||
|
系数 |
现值 |
系数 |
现值 |
系数 |
现值 |
||
|
2002年 |
50 |
0.8333 |
41.67 |
0.8475 |
42.38 |
0.8621 |
43.11 |
|
2003年 |
60 |
0.6944 |
41.66 |
0.7182 |
43.09 |
0.7432 |
44.59 |
|
2004年 |
680 |
0.5787 |
393.52 |
0.6086 |
413.85 |
0.6407 |
435.68 |
|
合计 |
- |
- |
476.85 |
- |
499.32 |
- |
523.38 |
在表3-1中,先按20%的收益率进行测算,得到现值为476.85万元,比原来的投资额510万元小,说明实际收益率要低于20%;于是把收益率调到18%,进行第二次测算,得到的现值为499.32万元,还比510万元小,说明实际收益率比18%还要低;于是再把收益率调到16%进行第三次测算,得到的现值为523.38万元,比510万元要大,说明实际收益率比16%高。
利率 未来现金流入现值
16% 523.38
i 510
18% 499.32
(i-16%)/(18%-16%)=(510-523.38)/(499.32-523.38)
即我们要求的收益率在16%和18%之间,采用插值法计算如下:
(16%-x)/(16%-18%)=(523.38-510.00)/(523.38-499.32)
X=16%+1.11%=17.11%
说明该项投资的收益率为17.11%。
若预期收益率高于投资人要求的必要收益率,则可行。
最新资讯
- 救命!2026中级会计经济法速记口诀50条,背会直接拿捏法条2026-03-24
- 2026中级会计经济法速记口诀50条|可下载打印,法条速记不费脑2026-03-23
- 2026中级会计财务管理速记口诀50条(可下载),公式/考点秒记,告别死背2026-03-23
- 2026中级会计财务管理100母题汇总(可下载打印),公式+真题同源,高效提分2026-03-23
- 2026中级会计经济法100母题汇总(可下载+含解析),背会稳冲60+2026-03-23
- 2026中级会计实务100母题汇总(可下载+含解析),吃透稳提20分2026-03-23
- 2026中级会计财务管理三色笔记:覆盖全书重点,精准分层2026-03-22
- 2026中级会计经济法全书知识点名称+对应分值汇总,背题抓分不盲目2026-03-21
- 26年中级会计实务各章节重点+思维导图,可直接下载!备考省80%时间2026-03-20
- 2026中级会计经济法:知识点+分值速览(免费下载,高效抓分)2026-03-20


