2010年会计职称《中级财务管理》杠杆原理(4)
更新时间:2010-02-09 13:12:29
来源:|0
浏览
收藏
中级会计职称报名、考试、查分时间 免费短信提醒
(三)经营杠杆与经营风险的关系
1.引起企业经营风险的主要原因是市场需求和成本等因素的不确定性,经营杠杆本身并不是利润不稳定的根源,但是经营杠杆扩大了市场和生产等不确定因素对利润变动的影响。
2、经营杠杆系数越高,利润变动越激烈,企业的经营风险越大.
3、影响经营杠杆系数的因素包括产品销售数量,产品销售单价,单位变动成本和固定成本等因素。

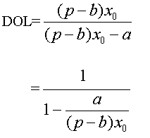
从上式可看出,P, X与经营杠杆系数DOL反向变化。
a,b与经营杠杠系数DOL同向变化。
4、经营杠杆系数、固定成本和经营风险三者呈同方向变化,即在其他因素一定的情况下,固定成本越高,经营杠杆系数越大,企业经营风险也就越大。固定成本为0,经营杠杆系数为1.
5、控制经营风险的方法有:增加销售额、降低产品单位变动成本、降低固定成本比重
【07年单选】经营杠杆能够扩大市场和生产等不确定性因素对利润变动的影响。( )
答案:√
2010年会计职称考试网络辅导招生简章 转自环球网校edu24ol.com
编辑推荐
最新资讯
- 2026中级会计经济法速记口诀50条|可下载打印,法条速记不费脑2026-03-23
- 2026中级会计财务管理速记口诀50条(可下载),公式/考点秒记,告别死背2026-03-23
- 2026中级会计财务管理100母题汇总(可下载打印),公式+真题同源,高效提分2026-03-23
- 2026中级会计经济法100母题汇总(可下载+含解析),背会稳冲60+2026-03-23
- 2026中级会计实务100母题汇总(可下载+含解析),吃透稳提20分2026-03-23
- 2026中级会计财务管理三色笔记:覆盖全书重点,精准分层2026-03-22
- 2026中级会计经济法全书知识点名称+对应分值汇总,背题抓分不盲目2026-03-21
- 26年中级会计实务各章节重点+思维导图,可直接下载!备考省80%时间2026-03-20
- 2026中级会计经济法:知识点+分值速览(免费下载,高效抓分)2026-03-20
- 2026中级会计财务管理必背公式汇总|可下载打印,记牢直接提分2026-03-19


