2010年会计职称《中级财务管理》证券评价(10)
更新时间:2010-02-26 09:10:29
来源:|0
浏览
收藏
中级会计职称报名、考试、查分时间 免费短信提醒
(2)持有时间较长 (超过1年)的,应按每年复利一次计算持有期年均收益率(即计算使债券产生的现金流量净现值为零的折现率,或者是未来现金流入量的现值等于购买价格的折现率。未来现金流入量是债券利息和债券到期兑付的金额或者是提前出售时的卖出价)
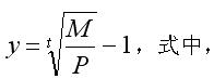
①到期一次还本付息债券:

P为债券买入价;转自环 球 网 校edu24ol.com
M为债券到期兑付的金额或者提前出售时的卖出价;
t为债券实际持有期限 (年),等于债券买入交割日至到期兑付日或卖出交割日之间的实际天数除以360
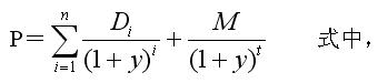
②每年年末支付利息的债券

P为债券买入价;
y为债券持有期年均收益率;
I为持有期间每期收到的利息额;
M为债券兑付的金额或者提前出售的卖出价;
t为债券实际持有期限(年)
决策:
债券收益率大于当时市场利率,债券值得购买,否则不值得购买。
【例3-40】
某种企业债券面值是10000元,券面利息率12%,每年付息一次,期限8年,投资者以10600的价格购入并持有该种债券到期。计算债券持有期年均收益率。
编辑推荐
最新资讯
- 2026中级会计经济法速记口诀50条|可下载打印,法条速记不费脑2026-03-23
- 2026中级会计财务管理速记口诀50条(可下载),公式/考点秒记,告别死背2026-03-23
- 2026中级会计财务管理100母题汇总(可下载打印),公式+真题同源,高效提分2026-03-23
- 2026中级会计经济法100母题汇总(可下载+含解析),背会稳冲60+2026-03-23
- 2026中级会计实务100母题汇总(可下载+含解析),吃透稳提20分2026-03-23
- 2026中级会计财务管理三色笔记:覆盖全书重点,精准分层2026-03-22
- 2026中级会计经济法全书知识点名称+对应分值汇总,背题抓分不盲目2026-03-21
- 26年中级会计实务各章节重点+思维导图,可直接下载!备考省80%时间2026-03-20
- 2026中级会计经济法:知识点+分值速览(免费下载,高效抓分)2026-03-20
- 2026中级会计财务管理必背公式汇总|可下载打印,记牢直接提分2026-03-19