2010年《中级财务管理》辅导:证券评价(6)
第三节 债券及其评价
本节大纲要求
掌握债券收益率的计算,债券的估价模型
本节主要内容:
一、债券的基本要素
债券,是债务人依照法定程序发行,承诺按约定的利率和日期支付利息,并在特定日期偿还本金的书面债务凭证。
一般而言,债券包括面值、期限、利率和价格等基本要素。 转自环球网校edu24ol.com
二、债券的评价
(一)债券的估价模型
债券的估价是对债券在某一时点的价值量的估算,是债券评价的一项重要内容。
对于新发行的债券而言,估价模型的计算结果反映了债券的发行价格。
1.债券估价的基本模型
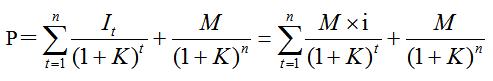
债券估价的基本模型,是指对典型债券所使用的估价模型,典型债券是票面利率固定,每年年末计算并支付当年利息、到期偿还本金的债券。这种情况下,新发行债券的价值可采用如下模型进行评定:

=债券利息×(P/A,K,n)+债券面值×(P/F,K,n)
式中,
P是债券价值;
It是第t年利息;
K是折现率 (可以用当时的市场利率或者投资者要求的必要报酬率替代);M是债券面值; i是票面利率;
n是债券期限 (偿还年数)。
债券发行时,
若i>K则P>M,债券溢价发行;
若i
若i=K则P=M债券按面值发行。
影响债券定价的因素有必要报酬率、利息率、计息期和到期时间
【例3-33】宏发公司拟于2000年2月1日发行面额为1000元的债券,其票面利率为8%,每年2月1日计算并支付一次利息,并于5年后的1月31日到期。同等风险投资的必要报酬率为10%。要求计算债券的价值。
解答:
每年按债券面值计算的利息
=1000×8%=80元,于每年年末支付,共支付5次,符合普通年金的概念;
债券价值=80×(P/A,10%,5)+1000×(P/F,10%,5)
=80*3.791+1000*0.621=924.28元
【例3-34】某种债券面值1000元,票面利率为10%,期限5年,每年末付息一次,甲公司准备对这种债券进行投资,已知市场利率为12%。要求计算债券的价格。
解答:
债券价格=1000×10%×(P/A,12%,5)+1000×(P/F,12%,5)
=927.5元
环球网校会计职称辅导新增多种套餐五折优惠
2010年会计职称考试网络辅导招生简章 转自环球网校edu24ol.com
最新资讯
- 救命!2026中级会计经济法速记口诀50条,背会直接拿捏法条2026-03-24
- 2026中级会计经济法速记口诀50条|可下载打印,法条速记不费脑2026-03-23
- 2026中级会计财务管理速记口诀50条(可下载),公式/考点秒记,告别死背2026-03-23
- 2026中级会计财务管理100母题汇总(可下载打印),公式+真题同源,高效提分2026-03-23
- 2026中级会计经济法100母题汇总(可下载+含解析),背会稳冲60+2026-03-23
- 2026中级会计实务100母题汇总(可下载+含解析),吃透稳提20分2026-03-23
- 2026中级会计财务管理三色笔记:覆盖全书重点,精准分层2026-03-22
- 2026中级会计经济法全书知识点名称+对应分值汇总,背题抓分不盲目2026-03-21
- 26年中级会计实务各章节重点+思维导图,可直接下载!备考省80%时间2026-03-20
- 2026中级会计经济法:知识点+分值速览(免费下载,高效抓分)2026-03-20


