2011年《中级财务管理》:风险与收益分析(3)
更新时间:2010-10-09 14:02:45
来源:|0
浏览
收藏
中级会计职称报名、考试、查分时间 免费短信提醒
二、资产的风险
从财务管理的角度看,风险就是企业在各项财务活动中, 由于各种难以预料或无法控制的因素作用,使企业的实际收益与预期收益发生背离,从而蒙受经济损失的可能性。
资产的风险,是指资产收益率的不确定性,其大小可用资产收益率的离散程度来衡量。资产收益
率的离散程度,是指资产收益率的各种可能结果与预期收益率的偏差。
(一)风险的衡量
衡量风险的指标主要有收益率的方差、标准差和标准离差率等。
【08年多选】下列各项中,能够衡量风险的指标有( )。
A.方差 B.标准差 C.期望值 D.标准离差率
答案:ABD
1.收益率的方差( ):收益率的方差用来表示资产收益率的各种可能值与其期望值之间的偏离程度。
(1)利用未来收益率发生的概率以及未来收益率的可能值来计算的(有概率的情况下)

Pi是第i种可能情况发生的概率;
R i是第i种可能情况下资产的收益率。
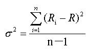
(2)利用收益率的历史数据去近似地估算预期收益率及其标准差(有历史数据的情况下)
①预期收益率可利用历史数据的算术平均值法等方法计算,
②标准差则可以利用下列统计学中的公式进行估算:

式中,Ri表示样本数据中各期的收益率的历史数据;
R是各历史数据的算术平均;
n表示样本中历史数据的个数
2.收益率的标准差( )-----------方差的开方
环球网校会计职称辅导新增多种套餐五折优惠
2010年会计职称考试网络辅导招生简章 转自环球网校edu24ol.com
编辑推荐
最新资讯
- 2026中级会计备考资料包+考试日程+报考时间,三合一汇总,备考必看2026-04-30
- 2026中级会计三科高频考点+三色笔记,全书重点汇总,备考直接用2026-04-30
- 2026中级会计高频考点三色笔记已打包,搭配科目技巧,现在背还来得及2026-04-24
- 救命!2026中级会计经济法速记口诀50条,背会直接拿捏法条2026-03-24
- 2026中级会计经济法速记口诀50条|可下载打印,法条速记不费脑2026-03-23
- 2026中级会计财务管理速记口诀50条(可下载),公式/考点秒记,告别死背2026-03-23
- 2026中级会计财务管理100母题汇总(可下载打印),公式+真题同源,高效提分2026-03-23
- 2026中级会计经济法100母题汇总(可下载+含解析),背会稳冲60+2026-03-23
- 2026中级会计实务100母题汇总(可下载+含解析),吃透稳提20分2026-03-23
- 2026中级会计财务管理三色笔记:覆盖全书重点,精准分层2026-03-22


